Live-cell GLUT4 translocation assay reveals Per3 as a novel regulator of circadian insulin sensitivity in skeletal muscle cells.

IF 1.7 4区 生物学 Q3 BIOLOGY
Biology Open Pub Date : 2025-07-15 Epub Date: 2025-07-18 DOI:10.1242/bio.061941
Rashmi Sivasengh, Andrew Scott, Brendan M Gabriel
{"title":"Live-cell GLUT4 translocation assay reveals Per3 as a novel regulator of circadian insulin sensitivity in skeletal muscle cells.","authors":"Rashmi Sivasengh, Andrew Scott, Brendan M Gabriel","doi":"10.1242/bio.061941","DOIUrl":null,"url":null,"abstract":"<p><p>Type 2 diabetes (T2D) is a growing global health concern, with skeletal muscle playing a central role due to its contribution to postprandial glucose disposal. Insulin resistance in skeletal muscle often precedes the clinical onset of T2D and is characterised by impaired GLUT4 trafficking. Circadian disruption is increasingly recognised as a contributor to metabolic dysfunction, yet its impact on skeletal muscle insulin sensitivity remains poorly defined. We hypothesised that circadian regulators influence GLUT4 translocation and glucose uptake, contributing to the metabolic impairments observed in T2D. To investigate this, we developed a high-throughput, live-cell GLUT4 translocation assay capable of capturing circadian dynamics in skeletal muscle cells. Using publicly available transcriptomic data from primary human myotubes derived from individuals with and without T2D, our re-analysis identified altered rhythmic expression of several genes, including PER3, ARNTL, HOXB5, and TSSK6. Publicly available phenome-wide association study (PheWAS) data further supported associations between these genes and T2D-related traits. Functional validation using siRNA knockdown revealed that PER3 silencing significantly impaired GLUT4 translocation and glucose uptake in human skeletal muscle cells, while also abolishing rhythmic insulin responsiveness. ARNTL knockdown caused a moderate reduction in GLUT4 translocation, suggesting complementary roles in metabolic regulation. Our findings identify PER3 as a novel circadian regulator of GLUT4 translocation and insulin sensitivity in skeletal muscle. This work also introduces a sensitive, live-cell assay suitable for real-time assessment of GLUT4 dynamics and circadian regulation, offering a powerful platform for discovering new therapeutic targets in T2D.</p>","PeriodicalId":9216,"journal":{"name":"Biology Open","volume":" ","pages":""},"PeriodicalIF":1.7000,"publicationDate":"2025-07-15","publicationTypes":"Journal Article","fieldsOfStudy":null,"isOpenAccess":false,"openAccessPdf":"https://www.ncbi.nlm.nih.gov/pmc/articles/PMC12309902/pdf/","citationCount":"0","resultStr":null,"platform":"Semanticscholar","paperid":null,"PeriodicalName":"Biology Open","FirstCategoryId":"99","ListUrlMain":"https://doi.org/10.1242/bio.061941","RegionNum":4,"RegionCategory":"生物学","ArticlePicture":[],"TitleCN":null,"AbstractTextCN":null,"PMCID":null,"EPubDate":"2025/7/18 0:00:00","PubModel":"Epub","JCR":"Q3","JCRName":"BIOLOGY","Score":null,"Total":0}
引用次数: 0

Abstract

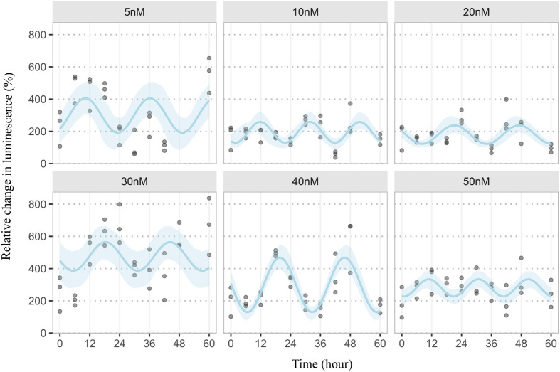
Type 2 diabetes (T2D) is a growing global health concern, with skeletal muscle playing a central role due to its contribution to postprandial glucose disposal. Insulin resistance in skeletal muscle often precedes the clinical onset of T2D and is characterised by impaired GLUT4 trafficking. Circadian disruption is increasingly recognised as a contributor to metabolic dysfunction, yet its impact on skeletal muscle insulin sensitivity remains poorly defined. We hypothesised that circadian regulators influence GLUT4 translocation and glucose uptake, contributing to the metabolic impairments observed in T2D. To investigate this, we developed a high-throughput, live-cell GLUT4 translocation assay capable of capturing circadian dynamics in skeletal muscle cells. Using publicly available transcriptomic data from primary human myotubes derived from individuals with and without T2D, our re-analysis identified altered rhythmic expression of several genes, including PER3, ARNTL, HOXB5, and TSSK6. Publicly available phenome-wide association study (PheWAS) data further supported associations between these genes and T2D-related traits. Functional validation using siRNA knockdown revealed that PER3 silencing significantly impaired GLUT4 translocation and glucose uptake in human skeletal muscle cells, while also abolishing rhythmic insulin responsiveness. ARNTL knockdown caused a moderate reduction in GLUT4 translocation, suggesting complementary roles in metabolic regulation. Our findings identify PER3 as a novel circadian regulator of GLUT4 translocation and insulin sensitivity in skeletal muscle. This work also introduces a sensitive, live-cell assay suitable for real-time assessment of GLUT4 dynamics and circadian regulation, offering a powerful platform for discovering new therapeutic targets in T2D.

Abstract Image

Abstract Image

Abstract Image

活细胞GLUT4易位分析显示Per3是骨骼肌细胞昼夜胰岛素敏感性的一种新的调节因子。
2型糖尿病(T2D)是一个日益严重的全球健康问题,骨骼肌因其对餐后葡萄糖处理的贡献而发挥着核心作用。骨骼肌中的胰岛素抵抗通常先于T2D的临床发病,其特征是GLUT4运输受损。昼夜节律紊乱越来越被认为是代谢功能障碍的一个因素,但其对骨骼肌胰岛素敏感性的影响仍不明确。我们假设昼夜节律调节因子影响GLUT4易位和葡萄糖摄取,从而导致t2dm中观察到的代谢损伤。为了研究这一点,我们开发了一种高通量的活细胞GLUT4易位测定方法,能够捕获骨骼肌细胞的昼夜动力学。利用来自患有和不患有T2D的个体的原代人肌管的转录组学数据,我们的重新分析发现了几个基因的节律性表达改变,包括PER3、ARNTL、HOXB5和TSSK6。公开的全现象关联研究(PheWAS)数据进一步支持了这些基因与t2d相关性状之间的关联。使用siRNA敲低的功能验证显示,PER3沉默显著损害了人类骨骼肌细胞中GLUT4的易位和葡萄糖摄取,同时也消除了节律性胰岛素反应性。ARNTL敲低导致GLUT4易位适度减少,提示其在代谢调节中具有互补作用。我们的研究结果确定PER3是骨骼肌中GLUT4易位和胰岛素敏感性的一种新的昼夜调节因子。这项工作还介绍了一种灵敏的活细胞检测方法,适用于实时评估GLUT4动态和昼夜节律调节,为发现T2D的新治疗靶点提供了一个强大的平台。
本文章由计算机程序翻译,如有差异,请以英文原文为准。
求助全文
约1分钟内获得全文 求助全文
来源期刊
Biology Open
Biology Open BIOLOGY-
CiteScore
3.90
自引率
0.00%
发文量
162
审稿时长
8 weeks
期刊介绍: Biology Open (BiO) is an online Open Access journal that publishes peer-reviewed original research across all aspects of the biological sciences. BiO aims to provide rapid publication for scientifically sound observations and valid conclusions, without a requirement for perceived impact.
×
引用
GB/T 7714-2015
复制
MLA
复制
APA
复制
导出至
BibTeX EndNote RefMan NoteFirst NoteExpress
×
提示
您的信息不完整,为了账户安全,请先补充。
现在去补充
×
提示
您因"违规操作"
具体请查看互助需知
我知道了
×
提示
确定
请完成安全验证×
copy
已复制链接
快去分享给好友吧!
我知道了
右上角分享
点击右上角分享
0
联系我们:info@booksci.cn Book学术提供免费学术资源搜索服务,方便国内外学者检索中英文文献。致力于提供最便捷和优质的服务体验。 Copyright © 2023 布克学术 All rights reserved.
京ICP备2023020795号-1
ghs 京公网安备 11010802042870号
Book学术文献互助
Book学术文献互助群
群 号:604180095
Book学术官方微信