Performances of Malaria PfHRP2 and the Combined PfHRP2/pLDH Based Rapid Diagnostic Tests among Children Under Five Years of Age in a High Seasonal Malaria Transmission Area in Burkina Faso

IF 1.5 3区 农林科学 Q4 PARASITOLOGY
Delwendé Florence Ouédraogo, Hamtandi Magloire Natama, Hermann Sorgho, Sarah Bénédicte Kaboré, Mwinessobaonfou Athanase Somé, Aida Millogo, Abdoul-Rahim Ouédraogo, Pieter Guetens, Johanna Helena Kattenberg, Aly Savadogo, Halidou Tinto, Anna Rosanas-Urgell
{"title":"Performances of Malaria PfHRP2 and the Combined PfHRP2/pLDH Based Rapid Diagnostic Tests among Children Under Five Years of Age in a High Seasonal Malaria Transmission Area in Burkina Faso","authors":"Delwendé Florence Ouédraogo,&nbsp;Hamtandi Magloire Natama,&nbsp;Hermann Sorgho,&nbsp;Sarah Bénédicte Kaboré,&nbsp;Mwinessobaonfou Athanase Somé,&nbsp;Aida Millogo,&nbsp;Abdoul-Rahim Ouédraogo,&nbsp;Pieter Guetens,&nbsp;Johanna Helena Kattenberg,&nbsp;Aly Savadogo,&nbsp;Halidou Tinto,&nbsp;Anna Rosanas-Urgell","doi":"10.1007/s11686-025-01070-7","DOIUrl":null,"url":null,"abstract":"<div><h3>Purpose</h3><p>Despite countrywide seasonal malaria chemoprevention (SMC) in Burkina Faso, malaria remains high among under-five year children during peak transmission season, questioning about SMC effectiveness and diagnostic tools accuracy.</p><h3>Methods</h3><p>This study assessed the performance of SD-Bioline malaria rapid diagnostic test (RDT) P.f<sup>®</sup> (<i>Pf</i>HRP2) alongside combined SD-Bioline malaria RDT P.f<sup>®</sup> (HRP2/pLDH) and light microscopy (LM) against <i>varATS</i> quantitative polymerase chain reaction (qPCR) as reference, among SMC-aged children in high seasonal malaria transmission setting in Burkina Faso. A two-year longitudinal study (March 2019-March 2021) conducted in Nanoro health district screened 995 suspected malaria cases. Diagnostic performances of <i>Pf</i>HRP2-based RDT and LM were assessed in all cases, while both RDTs were evaluated in a subgroup of 401.</p><h3>Results</h3><p>Malaria proportion was 79.9% (795/995), 88.7% (883/995) and 73.6% (732/995) by <i>varATS</i> qPCR, <i>Pf</i>HRP2-based RDT and LM respectively. <i>Pf</i>HRP2-based RDT and the LM showed similar accuracy [85.3% (95%CI: 83.0-87.5) and 84.6% (95%CI: 82.2–86.8), respectively], but differed in specificity [41.5% (95%CI: 34.6–48.7) <i>versus</i> 77.5% (95%CI: 71.1–83.1), <i>p</i> &lt; 0.001]. Specificity of <i>Pf</i>HRP2-based RDT further declined during the high transmission season compared to the low [27.1% (95%CI: 19.0-36.6) <i>versus</i> 58.1% (95%CI: 47.4–68.2), <i>p</i> &lt; 0.001]. In the subgroup, <i>Pf</i>HRP2/pLDH-based RDT showed higher specificity than <i>Pf</i>HRP2-based RDT during both high [42.3% (95%CI: 28.7–56.8) <i>versus</i> 17.3% (95%CI: 8.2–30.3), <i>p</i> &lt; 0.001] and low transmission seasons [84.0% (95%CI: 63.9–95.5) <i>versus</i> 60.0% (95%CI: 38.7–78.9), <i>p</i> &lt; 0.001]. Moreover, LM substantially agreed with <i>Pf</i>HRP2/pLDH-based RDT (Kappa = 0.71), but moderately with <i>Pf</i>HRP2-based RDT (Kappa = 0.46).</p><h3>Conclusion</h3><p>Findings suggest revising of malaria RDT recommendations, promoting <i>Pf</i>HRP2/pLDH-based RDTs to improve malarial and non-malarial fevers management in SMC-aged children.</p></div>","PeriodicalId":6932,"journal":{"name":"Acta Parasitologica","volume":"70 3","pages":""},"PeriodicalIF":1.5000,"publicationDate":"2025-06-11","publicationTypes":"Journal Article","fieldsOfStudy":null,"isOpenAccess":false,"openAccessPdf":"https://www.ncbi.nlm.nih.gov/pmc/articles/PMC12159090/pdf/","citationCount":"0","resultStr":null,"platform":"Semanticscholar","paperid":null,"PeriodicalName":"Acta Parasitologica","FirstCategoryId":"3","ListUrlMain":"https://link.springer.com/article/10.1007/s11686-025-01070-7","RegionNum":3,"RegionCategory":"农林科学","ArticlePicture":[],"TitleCN":null,"AbstractTextCN":null,"PMCID":null,"EPubDate":"","PubModel":"","JCR":"Q4","JCRName":"PARASITOLOGY","Score":null,"Total":0}
引用次数: 0

Abstract

Purpose

Despite countrywide seasonal malaria chemoprevention (SMC) in Burkina Faso, malaria remains high among under-five year children during peak transmission season, questioning about SMC effectiveness and diagnostic tools accuracy.

Methods

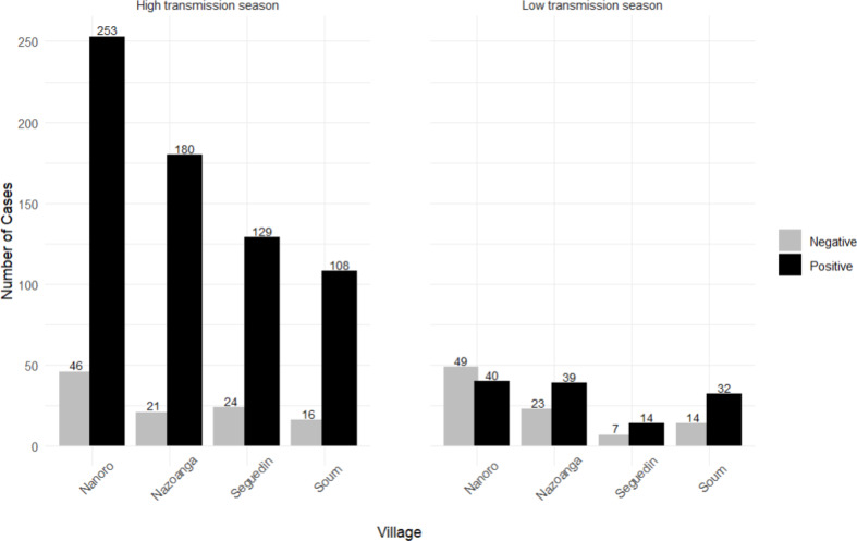
This study assessed the performance of SD-Bioline malaria rapid diagnostic test (RDT) P.f® (PfHRP2) alongside combined SD-Bioline malaria RDT P.f® (HRP2/pLDH) and light microscopy (LM) against varATS quantitative polymerase chain reaction (qPCR) as reference, among SMC-aged children in high seasonal malaria transmission setting in Burkina Faso. A two-year longitudinal study (March 2019-March 2021) conducted in Nanoro health district screened 995 suspected malaria cases. Diagnostic performances of PfHRP2-based RDT and LM were assessed in all cases, while both RDTs were evaluated in a subgroup of 401.

Results

Malaria proportion was 79.9% (795/995), 88.7% (883/995) and 73.6% (732/995) by varATS qPCR, PfHRP2-based RDT and LM respectively. PfHRP2-based RDT and the LM showed similar accuracy [85.3% (95%CI: 83.0-87.5) and 84.6% (95%CI: 82.2–86.8), respectively], but differed in specificity [41.5% (95%CI: 34.6–48.7) versus 77.5% (95%CI: 71.1–83.1), p < 0.001]. Specificity of PfHRP2-based RDT further declined during the high transmission season compared to the low [27.1% (95%CI: 19.0-36.6) versus 58.1% (95%CI: 47.4–68.2), p < 0.001]. In the subgroup, PfHRP2/pLDH-based RDT showed higher specificity than PfHRP2-based RDT during both high [42.3% (95%CI: 28.7–56.8) versus 17.3% (95%CI: 8.2–30.3), p < 0.001] and low transmission seasons [84.0% (95%CI: 63.9–95.5) versus 60.0% (95%CI: 38.7–78.9), p < 0.001]. Moreover, LM substantially agreed with PfHRP2/pLDH-based RDT (Kappa = 0.71), but moderately with PfHRP2-based RDT (Kappa = 0.46).

Conclusion

Findings suggest revising of malaria RDT recommendations, promoting PfHRP2/pLDH-based RDTs to improve malarial and non-malarial fevers management in SMC-aged children.

Abstract Image

Abstract Image

Abstract Image

疟疾PfHRP2和基于PfHRP2/pLDH联合快速诊断检测在布基纳法索疟疾季节性高发地区5岁以下儿童中的表现
目的:尽管布基纳法索在全国范围内实施了季节性疟疾化学预防(SMC),但在传播高峰季节,5岁以下儿童的疟疾发病率仍然很高,这使人们对SMC的有效性和诊断工具的准确性提出了质疑。方法:本研究评估了SD-Bioline疟疾快速诊断试验(RDT) P.f®(PfHRP2)与SD-Bioline疟疾RDT P.f®(HRP2/pLDH)联合光学显微镜(LM)在布基纳法索季节性疟疾高发地区的smc年龄儿童中对varATS定量聚合酶链反应(qPCR)的表现。在纳诺罗卫生区进行的一项为期两年的纵向研究(2019年3月至2021年3月)筛查了995例疑似疟疾病例。在所有病例中评估基于pfhrp2的RDT和LM的诊断性能,同时在401个亚组中评估两种RDT。结果:varATS qPCR检测、pfhrp2 RDT检测和LM检测的疟疾比例分别为79.9%(795/995)、88.7%(883/995)和73.6%(732/995)。基于PfHRP2的RDT和LM的准确性相似[分别为85.3% (95%CI: 83.0-87.5)和84.6% (95%CI: 82.2-86.8)],但特异性差异[41.5% (95%CI: 34.6-48.7)和77.5% (95%CI: 71.1-83.1)]。结论:研究结果建议修改疟疾RDT建议,促进基于PfHRP2/ pldh的RDT改善smc年龄儿童的疟疾和非疟疾发烧管理。
本文章由计算机程序翻译,如有差异,请以英文原文为准。
求助全文
约1分钟内获得全文 求助全文
来源期刊
Acta Parasitologica
Acta Parasitologica 医学-寄生虫学
CiteScore
3.10
自引率
6.70%
发文量
149
审稿时长
6-12 weeks
期刊介绍: Acta Parasitologica is an international journal covering the latest advances in the subject. Acta Parasitologica publishes original papers on all aspects of parasitology and host-parasite relationships, including the latest discoveries in biochemical and molecular biology of parasites, their physiology, morphology, taxonomy and ecology, as well as original research papers on immunology, pathology, and epidemiology of parasitic diseases in the context of medical, veterinary and biological sciences. The journal also publishes short research notes, invited review articles, book reviews. The journal was founded in 1953 as "Acta Parasitologica Polonica" by the Polish Parasitological Society and since 1954 has been published by W. Stefanski Institute of Parasitology of the Polish Academy of Sciences in Warsaw. Since 1992 in has appeared as Acta Parasitologica in four issues per year.
×
引用
GB/T 7714-2015
复制
MLA
复制
APA
复制
导出至
BibTeX EndNote RefMan NoteFirst NoteExpress
×
提示
您的信息不完整,为了账户安全,请先补充。
现在去补充
×
提示
您因"违规操作"
具体请查看互助需知
我知道了
×
提示
确定
请完成安全验证×
copy
已复制链接
快去分享给好友吧!
我知道了
右上角分享
点击右上角分享
0
联系我们:info@booksci.cn Book学术提供免费学术资源搜索服务,方便国内外学者检索中英文文献。致力于提供最便捷和优质的服务体验。 Copyright © 2023 布克学术 All rights reserved.
京ICP备2023020795号-1
ghs 京公网安备 11010802042870号
Book学术文献互助
Book学术文献互助群
群 号:604180095
Book学术官方微信