Prevalence of thyroid dysfunction in highly active antiretroviral therapy -Exposed people living with human immunodeficiency virus.

IF 1.8 Q3 ENDOCRINOLOGY & METABOLISM
Asma A Adan, Redemtor A Ojuang, Steven G Nyanjom, Edward K Maina
{"title":"Prevalence of thyroid dysfunction in highly active antiretroviral therapy -Exposed people living with human immunodeficiency virus.","authors":"Asma A Adan, Redemtor A Ojuang, Steven G Nyanjom, Edward K Maina","doi":"10.1186/s13044-025-00240-z","DOIUrl":null,"url":null,"abstract":"<p><strong>Background: </strong>The incidence of thyroid dysfunction is high in HIV patients, contributing to the high mortality and morbidity associated with HIV.</p><p><strong>Objectives: </strong>This study focused on evaluating the prevalence of thyroid dysfunction and associated factors among people living with HIV (PLWH) attending Comprehensive care centre at Maua Methodist Hospital, Kenya.</p><p><strong>Methods: </strong>Clinical and sociodemographic data of participants were collected including HIV viral loads, CD4 counts, HAART regimen and type, age, gender, marital and education status, and co-infection. Serum levels of thyroid-stimulating hormone (TSH), free thyroxine (FT4), and free triiodothyronine (FT3) were assessed in all groups. Regression analysis and Pearson correlation were performed to assess thyroid dysfunction and associated factors.</p><p><strong>Results: </strong>The prevalence of thyroid dysfunction was 51.9% (95% CI: 50.8 ~ 53.2) in this population. 77% (77%) of the HAART group had thyroid dysfunction compared to 47% of the HAART naïve group. Additionally, the prevalence of thyroid dysfunction was high in the HIV-non-suppressed individuals (97%, 95% CI: 97.1 ~ 97.9) compared to suppressed group (83%, 95% CI: 82.7 ~ 84.3). HIV (p < 0.001), HAART exposure (p < 0.001), TB (p < 0.001) and duration of infection (p = 0.002) were significantly associated with thyroid dysfunction. There was a positive correlation between TSH (r = 0.28; p < 0.01) and HIV + individuals under HAART, TSH (r = 0.37; p < 0.001) and TB, and FT3 (r = 0.35; p < 0.001) and duration of infection. Additionally, there was positive corelation between thyroid dysfunction and age (r = 0.13, p = 0.13), and a negative correlation between thyroid dysfunction and CD4 counts (r = -0.39, p < 0.055) though statistically not significant.</p><p><strong>Conclusions: </strong>Thyroid dysfunction is more common in HIV patients on HAART, mainly manifested as subclinical hypothyroidism. Routine screening for thyroid dysfunction should be considered for PLWH, especially those on HAART and with viral blips.</p>","PeriodicalId":39048,"journal":{"name":"Thyroid Research","volume":"18 1","pages":"24"},"PeriodicalIF":1.8000,"publicationDate":"2025-06-10","publicationTypes":"Journal Article","fieldsOfStudy":null,"isOpenAccess":false,"openAccessPdf":"https://www.ncbi.nlm.nih.gov/pmc/articles/PMC12150516/pdf/","citationCount":"0","resultStr":null,"platform":"Semanticscholar","paperid":null,"PeriodicalName":"Thyroid Research","FirstCategoryId":"1085","ListUrlMain":"https://doi.org/10.1186/s13044-025-00240-z","RegionNum":0,"RegionCategory":null,"ArticlePicture":[],"TitleCN":null,"AbstractTextCN":null,"PMCID":null,"EPubDate":"","PubModel":"","JCR":"Q3","JCRName":"ENDOCRINOLOGY & METABOLISM","Score":null,"Total":0}
引用次数: 0

Abstract

Background: The incidence of thyroid dysfunction is high in HIV patients, contributing to the high mortality and morbidity associated with HIV.

Objectives: This study focused on evaluating the prevalence of thyroid dysfunction and associated factors among people living with HIV (PLWH) attending Comprehensive care centre at Maua Methodist Hospital, Kenya.

Methods: Clinical and sociodemographic data of participants were collected including HIV viral loads, CD4 counts, HAART regimen and type, age, gender, marital and education status, and co-infection. Serum levels of thyroid-stimulating hormone (TSH), free thyroxine (FT4), and free triiodothyronine (FT3) were assessed in all groups. Regression analysis and Pearson correlation were performed to assess thyroid dysfunction and associated factors.

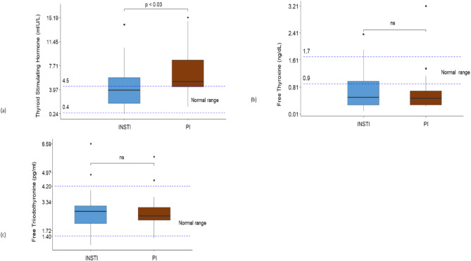
Results: The prevalence of thyroid dysfunction was 51.9% (95% CI: 50.8 ~ 53.2) in this population. 77% (77%) of the HAART group had thyroid dysfunction compared to 47% of the HAART naïve group. Additionally, the prevalence of thyroid dysfunction was high in the HIV-non-suppressed individuals (97%, 95% CI: 97.1 ~ 97.9) compared to suppressed group (83%, 95% CI: 82.7 ~ 84.3). HIV (p < 0.001), HAART exposure (p < 0.001), TB (p < 0.001) and duration of infection (p = 0.002) were significantly associated with thyroid dysfunction. There was a positive correlation between TSH (r = 0.28; p < 0.01) and HIV + individuals under HAART, TSH (r = 0.37; p < 0.001) and TB, and FT3 (r = 0.35; p < 0.001) and duration of infection. Additionally, there was positive corelation between thyroid dysfunction and age (r = 0.13, p = 0.13), and a negative correlation between thyroid dysfunction and CD4 counts (r = -0.39, p < 0.055) though statistically not significant.

Conclusions: Thyroid dysfunction is more common in HIV patients on HAART, mainly manifested as subclinical hypothyroidism. Routine screening for thyroid dysfunction should be considered for PLWH, especially those on HAART and with viral blips.

Abstract Image

Abstract Image

高活性抗逆转录病毒治疗暴露于人类免疫缺陷病毒感染者中甲状腺功能障碍的患病率
背景:HIV患者甲状腺功能障碍发生率高,导致HIV相关死亡率和发病率高。目的:本研究的重点是评估在肯尼亚毛阿卫理公会医院综合护理中心接受治疗的艾滋病毒感染者(PLWH)中甲状腺功能障碍的患病率及其相关因素。方法:收集参与者的临床和社会人口学资料,包括HIV病毒载量、CD4计数、HAART治疗方案和类型、年龄、性别、婚姻和教育状况、合并感染等。检测各组血清促甲状腺激素(TSH)、游离甲状腺素(FT4)和游离三碘甲状腺原氨酸(FT3)水平。采用回归分析和Pearson相关分析评估甲状腺功能障碍及其相关因素。结果:该人群甲状腺功能障碍患病率为51.9% (95% CI: 50.8 ~ 53.2)。HAART组77%(77%)有甲状腺功能障碍,而HAART naïve组为47%。此外,与抑制组(83%,95% CI: 82.7 ~ 84.3)相比,非抑制组(97%,95% CI: 97.1 ~ 97.9)甲状腺功能障碍的患病率较高。结论:在HAART治疗的HIV患者中,甲状腺功能障碍更为常见,主要表现为亚临床甲状腺功能减退。对于PLWH应考虑常规筛查甲状腺功能障碍,特别是那些HAART治疗和病毒突变的患者。
本文章由计算机程序翻译,如有差异,请以英文原文为准。
求助全文
约1分钟内获得全文 求助全文
来源期刊
Thyroid Research
Thyroid Research Medicine-Endocrinology, Diabetes and Metabolism
CiteScore
3.10
自引率
4.50%
发文量
21
审稿时长
8 weeks
×
引用
GB/T 7714-2015
复制
MLA
复制
APA
复制
导出至
BibTeX EndNote RefMan NoteFirst NoteExpress
×
提示
您的信息不完整,为了账户安全,请先补充。
现在去补充
×
提示
您因"违规操作"
具体请查看互助需知
我知道了
×
提示
确定
请完成安全验证×
copy
已复制链接
快去分享给好友吧!
我知道了
右上角分享
点击右上角分享
0
联系我们:info@booksci.cn Book学术提供免费学术资源搜索服务,方便国内外学者检索中英文文献。致力于提供最便捷和优质的服务体验。 Copyright © 2023 布克学术 All rights reserved.
京ICP备2023020795号-1
ghs 京公网安备 11010802042870号
Book学术文献互助
Book学术文献互助群
群 号:604180095
Book学术官方微信