Low Thyrotropin Levels Are Associated With an Increased Risk of Atherosclerotic Cardiovascular Disease in Euthyroid Individuals: The Korea National Health and Nutrition Examination Survey 2013-2015.

Q2 Medicine
Journal of Lipid and Atherosclerosis Pub Date : 2025-05-01 Epub Date: 2025-04-21 DOI:10.12997/jla.2025.14.2.236
Jin-Woo Kim, Han-Joon Bae, Jun Sung Moon, Sung-Woo Kim
{"title":"Low Thyrotropin Levels Are Associated With an Increased Risk of Atherosclerotic Cardiovascular Disease in Euthyroid Individuals: The Korea National Health and Nutrition Examination Survey 2013-2015.","authors":"Jin-Woo Kim, Han-Joon Bae, Jun Sung Moon, Sung-Woo Kim","doi":"10.12997/jla.2025.14.2.236","DOIUrl":null,"url":null,"abstract":"<p><strong>Objective: </strong>This study aimed to determine whether thyrotropin (thyroid-stimulating hormone [TSH]) levels within the physiologic range influence the risk of atherosclerotic cardiovascular disease (ASCVD) in euthyroid individuals.</p><p><strong>Methods: </strong>A cross-sectional survey was conducted using data from the Korea National Health and Nutrition Examination Survey (2013-2015). After excluding participants with abnormal thyroid function or a history of thyroid disease or ASCVD, 2,995 euthyroid individuals aged 40-79 years were included. ASCVD risk was estimated using the 2013 and 2018 American College of Cardiology/American Heart Association cardiovascular risk assessments (10-year risk, %).</p><p><strong>Results: </strong>Participants were divided into tertiles based on TSH concentration. After adjusting for confounding factors, the lowest tertile (T1) exhibited the highest ASCVD risk. This association remained significant in both male and female participants after multiple adjustments. Multiple regression analysis, controlling for confounders, indicated that the odds ratio (OR) for high ASCVD risk in T1 was significantly higher than in T2 among men, while the OR for intermediate ASCVD risk was significantly elevated in T1 compared to T2 among women.</p><p><strong>Conclusion: </strong>Lower TSH levels within the physiologic range were associated with an increased risk of ASCVD in euthyroid individuals. These findings suggest that even individuals with normal thyroid function but low-normal TSH levels might benefit from interventions to reduce ASCVD risk.</p>","PeriodicalId":16284,"journal":{"name":"Journal of Lipid and Atherosclerosis","volume":"14 2","pages":"236-245"},"PeriodicalIF":0.0000,"publicationDate":"2025-05-01","publicationTypes":"Journal Article","fieldsOfStudy":null,"isOpenAccess":false,"openAccessPdf":"https://www.ncbi.nlm.nih.gov/pmc/articles/PMC12145962/pdf/","citationCount":"0","resultStr":null,"platform":"Semanticscholar","paperid":null,"PeriodicalName":"Journal of Lipid and Atherosclerosis","FirstCategoryId":"1085","ListUrlMain":"https://doi.org/10.12997/jla.2025.14.2.236","RegionNum":0,"RegionCategory":null,"ArticlePicture":[],"TitleCN":null,"AbstractTextCN":null,"PMCID":null,"EPubDate":"2025/4/21 0:00:00","PubModel":"Epub","JCR":"Q2","JCRName":"Medicine","Score":null,"Total":0}
引用次数: 0

Abstract

Objective: This study aimed to determine whether thyrotropin (thyroid-stimulating hormone [TSH]) levels within the physiologic range influence the risk of atherosclerotic cardiovascular disease (ASCVD) in euthyroid individuals.

Methods: A cross-sectional survey was conducted using data from the Korea National Health and Nutrition Examination Survey (2013-2015). After excluding participants with abnormal thyroid function or a history of thyroid disease or ASCVD, 2,995 euthyroid individuals aged 40-79 years were included. ASCVD risk was estimated using the 2013 and 2018 American College of Cardiology/American Heart Association cardiovascular risk assessments (10-year risk, %).

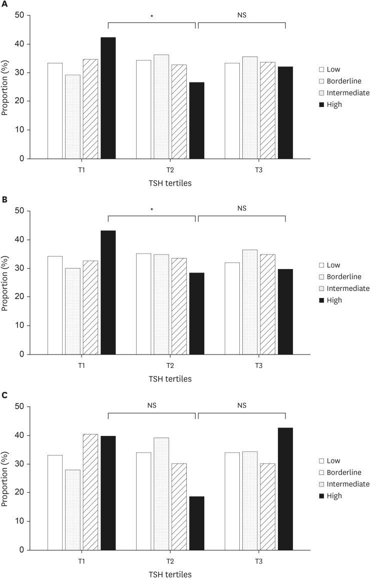
Results: Participants were divided into tertiles based on TSH concentration. After adjusting for confounding factors, the lowest tertile (T1) exhibited the highest ASCVD risk. This association remained significant in both male and female participants after multiple adjustments. Multiple regression analysis, controlling for confounders, indicated that the odds ratio (OR) for high ASCVD risk in T1 was significantly higher than in T2 among men, while the OR for intermediate ASCVD risk was significantly elevated in T1 compared to T2 among women.

Conclusion: Lower TSH levels within the physiologic range were associated with an increased risk of ASCVD in euthyroid individuals. These findings suggest that even individuals with normal thyroid function but low-normal TSH levels might benefit from interventions to reduce ASCVD risk.

Abstract Image

Abstract Image

Abstract Image

低促甲状腺激素水平与甲状腺功能正常个体动脉粥样硬化性心血管疾病风险增加相关:2013-2015年韩国国家健康与营养调查
目的:本研究旨在确定生理范围内促甲状腺激素(TSH)水平是否影响正常甲状腺个体动脉粥样硬化性心血管疾病(ASCVD)的风险。方法:采用韩国国家健康与营养检查调查(2013-2015)的数据进行横断面调查。在排除了甲状腺功能异常、甲状腺疾病或ASCVD病史的参与者后,纳入了2,995名年龄在40-79岁之间的甲状腺功能正常的个体。使用2013年和2018年美国心脏病学会/美国心脏协会心血管风险评估(10年风险,%)估计ASCVD风险。结果:根据TSH浓度将参与者分为三组。在调整混杂因素后,最低分位数(T1)的ASCVD风险最高。在多次调整后,这种关联在男性和女性参与者中仍然显著。在控制混杂因素的情况下,多元回归分析显示,男性T1期ASCVD高风险的比值比(OR)显著高于T2期,而女性T1期ASCVD中度风险的比值比(OR)显著高于T2期。结论:在生理范围内较低的TSH水平与甲状腺功能正常个体ASCVD的风险增加有关。这些发现表明,即使是甲状腺功能正常但TSH水平较低的个体也可能从干预措施中受益,以降低ASCVD的风险。
本文章由计算机程序翻译,如有差异,请以英文原文为准。
求助全文
约1分钟内获得全文 求助全文
来源期刊
Journal of Lipid and Atherosclerosis
Journal of Lipid and Atherosclerosis Medicine-Internal Medicine
CiteScore
6.90
自引率
0.00%
发文量
26
审稿时长
12 weeks
×
引用
GB/T 7714-2015
复制
MLA
复制
APA
复制
导出至
BibTeX EndNote RefMan NoteFirst NoteExpress
×
提示
您的信息不完整,为了账户安全,请先补充。
现在去补充
×
提示
您因"违规操作"
具体请查看互助需知
我知道了
×
提示
确定
请完成安全验证×
copy
已复制链接
快去分享给好友吧!
我知道了
右上角分享
点击右上角分享
0
联系我们:info@booksci.cn Book学术提供免费学术资源搜索服务,方便国内外学者检索中英文文献。致力于提供最便捷和优质的服务体验。 Copyright © 2023 布克学术 All rights reserved.
京ICP备2023020795号-1
ghs 京公网安备 11010802042870号
Book学术文献互助
Book学术文献互助群
群 号:604180095
Book学术官方微信