The EVENDOL Pain Scale Validation for Acute Non-Procedural Neonatal Pain in Term Neonates: Reliability and Validity in Maternity Wards.

Paediatric & neonatal pain Pub Date : 2025-06-06 eCollection Date: 2025-06-01 DOI:10.1002/pne2.70008
Lucie Calamy, Elisabeth Fournier-Charrière, Patricia Martret, Patricia Cimerman, Claire Boithias, Thierry Debillon, Ricardo Carbajal, Bruno Falissard, Elizabeth Walter-Nicolet
{"title":"The EVENDOL Pain Scale Validation for Acute Non-Procedural Neonatal Pain in Term Neonates: Reliability and Validity in Maternity Wards.","authors":"Lucie Calamy, Elisabeth Fournier-Charrière, Patricia Martret, Patricia Cimerman, Claire Boithias, Thierry Debillon, Ricardo Carbajal, Bruno Falissard, Elizabeth Walter-Nicolet","doi":"10.1002/pne2.70008","DOIUrl":null,"url":null,"abstract":"<p><p>The assessment of acute non-procedural pain in term neonates in maternity wards is challenging due to the difficulty in selecting an appropriate scale and the time-consuming nature of the process. This can lead to inadequate neonatal pain management. To validate the EValuation ENfant DOuLeur (EVENDOL) pain scale for acute non-procedural pain in term neonates in maternity units by comparing it with the Echelle Douleur et Inconfort du Nouveau-né (EDIN) used as a reference. We hypothesized that EVENDOL would be equivalent to EDIN in assessing acute non-procedural neonatal pain, with better appearance. Prospective multicentric non-interventional open study. Term neonates over 37 weeks' gestation in the delivery room and postnatal care units, with or without acute non-procedural pain, before and after analgesia. Cronbach's α coefficient, intraclass correlation (ICC), and correlation between EVENDOL and EDIN scores, documented by the researchers and the caregivers at rest and mobilization, before and after oral paracetamol, were measured. Ninety-one neonates were included: 48 (51%) had pain and 43 (47%) had no pain. Before analgesia, the Cronbach coefficient was above 0.80, the ICC (25th-75th interquartile ranges [IQ]) were 0.84 (0.77-0.89) and 0.90 (0.85-0.93) at rest and mobilization, respectively. Seventeen patients received oral acetaminophen and were re-assessed. Psychometric values remained good after analgesia (Cronbach coefficient above 0.80, ICC [IQ]: 0.65 [0.26-0.85] and 0.76 [0.45-0.91]) at rest and mobilization, respectively. The feasibility and ease of use were better for EVENDOL for researchers and caregivers. EVENDOL is suitable for the assessment of acute non-procedural neonatal pain for term neonates in the maternity wards. <b>Trial Registration:</b> ClinicalTrials.gov identifier: NCT02819076, registered in June 2016 as EVENDOL scale validation for at term newborn.</p>","PeriodicalId":94166,"journal":{"name":"Paediatric & neonatal pain","volume":"7 2","pages":"e70008"},"PeriodicalIF":0.0000,"publicationDate":"2025-06-06","publicationTypes":"Journal Article","fieldsOfStudy":null,"isOpenAccess":false,"openAccessPdf":"https://www.ncbi.nlm.nih.gov/pmc/articles/PMC12143344/pdf/","citationCount":"0","resultStr":null,"platform":"Semanticscholar","paperid":null,"PeriodicalName":"Paediatric & neonatal pain","FirstCategoryId":"1085","ListUrlMain":"https://doi.org/10.1002/pne2.70008","RegionNum":0,"RegionCategory":null,"ArticlePicture":[],"TitleCN":null,"AbstractTextCN":null,"PMCID":null,"EPubDate":"2025/6/1 0:00:00","PubModel":"eCollection","JCR":"","JCRName":"","Score":null,"Total":0}
引用次数: 0

Abstract

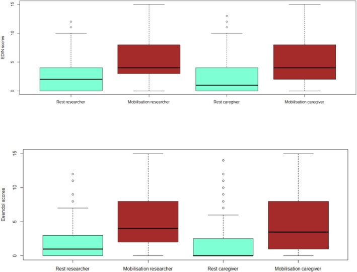
The assessment of acute non-procedural pain in term neonates in maternity wards is challenging due to the difficulty in selecting an appropriate scale and the time-consuming nature of the process. This can lead to inadequate neonatal pain management. To validate the EValuation ENfant DOuLeur (EVENDOL) pain scale for acute non-procedural pain in term neonates in maternity units by comparing it with the Echelle Douleur et Inconfort du Nouveau-né (EDIN) used as a reference. We hypothesized that EVENDOL would be equivalent to EDIN in assessing acute non-procedural neonatal pain, with better appearance. Prospective multicentric non-interventional open study. Term neonates over 37 weeks' gestation in the delivery room and postnatal care units, with or without acute non-procedural pain, before and after analgesia. Cronbach's α coefficient, intraclass correlation (ICC), and correlation between EVENDOL and EDIN scores, documented by the researchers and the caregivers at rest and mobilization, before and after oral paracetamol, were measured. Ninety-one neonates were included: 48 (51%) had pain and 43 (47%) had no pain. Before analgesia, the Cronbach coefficient was above 0.80, the ICC (25th-75th interquartile ranges [IQ]) were 0.84 (0.77-0.89) and 0.90 (0.85-0.93) at rest and mobilization, respectively. Seventeen patients received oral acetaminophen and were re-assessed. Psychometric values remained good after analgesia (Cronbach coefficient above 0.80, ICC [IQ]: 0.65 [0.26-0.85] and 0.76 [0.45-0.91]) at rest and mobilization, respectively. The feasibility and ease of use were better for EVENDOL for researchers and caregivers. EVENDOL is suitable for the assessment of acute non-procedural neonatal pain for term neonates in the maternity wards. Trial Registration: ClinicalTrials.gov identifier: NCT02819076, registered in June 2016 as EVENDOL scale validation for at term newborn.

Abstract Image

Abstract Image

Abstract Image

EVENDOL疼痛量表对足月新生儿急性非程序性新生儿疼痛的验证:在产科病房的信度和效度。
评估急性非程序性疼痛足月新生儿在产科病房是具有挑战性的,因为难以选择一个适当的规模和耗时的性质的过程。这可能导致新生儿疼痛管理不足。通过将EVENDOL (EValuation ENfant DOuLeur)疼痛量表与参考的EDIN (Echelle DOuLeur et inconte du nouveau - n)量表进行比较,验证EVENDOL疼痛量表对产房足月新生儿急性非程序性疼痛的评估效果。我们假设EVENDOL在评估急性非程序性新生儿疼痛方面与EDIN相当,具有更好的外观。前瞻性多中心非介入性开放研究。在产房和产后护理病房的37周以上足月新生儿,在镇痛前后有或没有急性非程序性疼痛。测量研究人员和护理人员在口服扑热息痛前后休息和活动时记录的Cronbach's α系数、组内相关(ICC)以及EVENDOL和EDIN评分之间的相关性。纳入91例新生儿:48例(51%)有疼痛,43例(47%)无疼痛。镇痛前,Cronbach系数均在0.80以上,静息和活动时的ICC(25 ~ 75分位区间[IQ])分别为0.84(0.77 ~ 0.89)和0.90(0.85 ~ 0.93)。17例患者口服对乙酰氨基酚并重新评估。镇痛后静息和活动时的心理测量值保持良好(Cronbach系数> 0.80,ICC [IQ]: 0.65[0.26-0.85]和0.76[0.45-0.91])。EVENDOL对研究人员和护理人员的可行性和易用性较好。EVENDOL适用于评估产房足月新生儿急性非程序性新生儿疼痛。试验注册:ClinicalTrials.gov标识符:NCT02819076,于2016年6月注册,以EVENDOL量表验证,用于早产新生儿。
本文章由计算机程序翻译,如有差异,请以英文原文为准。
求助全文
约1分钟内获得全文 求助全文
来源期刊
自引率
0.00%
发文量
0
审稿时长
24 weeks
×
引用
GB/T 7714-2015
复制
MLA
复制
APA
复制
导出至
BibTeX EndNote RefMan NoteFirst NoteExpress
×
提示
您的信息不完整,为了账户安全,请先补充。
现在去补充
×
提示
您因"违规操作"
具体请查看互助需知
我知道了
×
提示
确定
请完成安全验证×
copy
已复制链接
快去分享给好友吧!
我知道了
右上角分享
点击右上角分享
0
联系我们:info@booksci.cn Book学术提供免费学术资源搜索服务,方便国内外学者检索中英文文献。致力于提供最便捷和优质的服务体验。 Copyright © 2023 布克学术 All rights reserved.
京ICP备2023020795号-1
ghs 京公网安备 11010802042870号
Book学术文献互助
Book学术文献互助群
群 号:604180095
Book学术官方微信