The Effect of Muscle Strength and Visual Contrast Sensitivity on Fall Risk Sway Velocity Index.

Kyle J Hackney, Miranda L Bradley, Sean Mahoney, Nathaniel R Johnson, Christopher J Kotarsky, Adam P Bradley, Sherri N Stastny, Ryan McGrath, Mark E McCourt
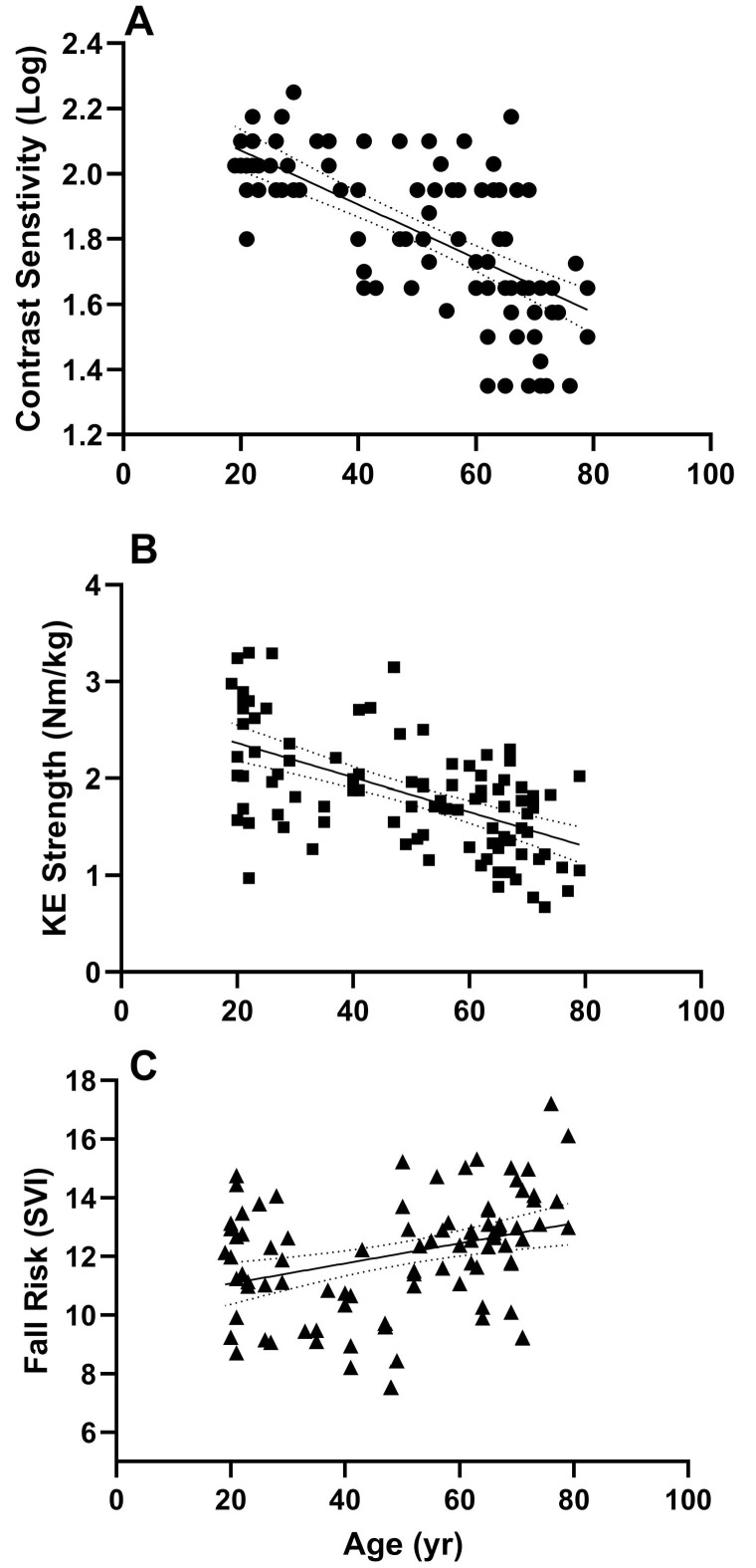
{"title":"The Effect of Muscle Strength and Visual Contrast Sensitivity on Fall Risk Sway Velocity Index.","authors":"Kyle J Hackney, Miranda L Bradley, Sean Mahoney, Nathaniel R Johnson, Christopher J Kotarsky, Adam P Bradley, Sherri N Stastny, Ryan McGrath, Mark E McCourt","doi":"10.22540/JFSF-10-054","DOIUrl":null,"url":null,"abstract":"<p><strong>Objectives: </strong>The purpose of this study was to examine if fall risk scores were affected by the interaction between muscle strength and visual contrast sensitivity.</p><p><strong>Methods: </strong>Ninety-one individuals aged 19-79 years completed assessments of knee extension strength, visual contrast sensitivity, and fall risk. Correlations and moderation analysis were completed in combination with analysis of variance. Data were categorized into groups: 1) higher strength-higher visual contrast sensitivity, 2) higher strength-lower visual contrast sensitivity; 3) lower strength- higher visual contrast sensitivity, and 4) lower strength-lower visual contrast sensitivity.</p><p><strong>Results: </strong>Knee extension strength via peak torque relative to body mass (R= -0.57, <i>P</i><0.001) and visual contrast sensitivity (R=-0.63, <i>P</i><0.001) were both negatively correlated with age, while fall risk scores were positively correlated with age (R=0.34, <i>P</i>=0.001). The interaction between muscle strength and visual contrast sensitivity was a significant predictor of fall risk scores (t=2.420, <i>P</i>=0.018) when controlling for age. Participants exhibiting lower strength-lower contrast sensitivity (12.96 ± 1.93) had significantly worse fall risk scores compared to higher strength-higher visual contrast sensitivity (11.53 ± 1.75, <i>P</i>=0.045).</p><p><strong>Conclusion: </strong>Lower levels of lower body muscle strength combined with lower visual contrast sensitivity interact to negatively influence fall risk.</p>","PeriodicalId":73754,"journal":{"name":"Journal of frailty, sarcopenia and falls","volume":"10 2","pages":"54-61"},"PeriodicalIF":0.0000,"publicationDate":"2025-06-01","publicationTypes":"Journal Article","fieldsOfStudy":null,"isOpenAccess":false,"openAccessPdf":"https://www.ncbi.nlm.nih.gov/pmc/articles/PMC12138983/pdf/","citationCount":"0","resultStr":null,"platform":"Semanticscholar","paperid":null,"PeriodicalName":"Journal of frailty, sarcopenia and falls","FirstCategoryId":"1085","ListUrlMain":"https://doi.org/10.22540/JFSF-10-054","RegionNum":0,"RegionCategory":null,"ArticlePicture":[],"TitleCN":null,"AbstractTextCN":null,"PMCID":null,"EPubDate":"","PubModel":"","JCR":"","JCRName":"","Score":null,"Total":0}
引用次数: 0

Abstract

Objectives: The purpose of this study was to examine if fall risk scores were affected by the interaction between muscle strength and visual contrast sensitivity.

Methods: Ninety-one individuals aged 19-79 years completed assessments of knee extension strength, visual contrast sensitivity, and fall risk. Correlations and moderation analysis were completed in combination with analysis of variance. Data were categorized into groups: 1) higher strength-higher visual contrast sensitivity, 2) higher strength-lower visual contrast sensitivity; 3) lower strength- higher visual contrast sensitivity, and 4) lower strength-lower visual contrast sensitivity.

Results: Knee extension strength via peak torque relative to body mass (R= -0.57, P<0.001) and visual contrast sensitivity (R=-0.63, P<0.001) were both negatively correlated with age, while fall risk scores were positively correlated with age (R=0.34, P=0.001). The interaction between muscle strength and visual contrast sensitivity was a significant predictor of fall risk scores (t=2.420, P=0.018) when controlling for age. Participants exhibiting lower strength-lower contrast sensitivity (12.96 ± 1.93) had significantly worse fall risk scores compared to higher strength-higher visual contrast sensitivity (11.53 ± 1.75, P=0.045).

Conclusion: Lower levels of lower body muscle strength combined with lower visual contrast sensitivity interact to negatively influence fall risk.

Abstract Image

Abstract Image

肌力和视觉对比敏感度对跌倒危险摇摆速度指数的影响。
目的:本研究的目的是检查跌倒风险评分是否受到肌肉力量和视觉对比敏感度之间的相互作用的影响。方法:91名年龄19-79岁的患者完成了膝关节伸展强度、视觉对比敏感度和跌倒风险的评估。结合方差分析进行相关性分析和调节性分析。数据分为:1)高强度-高视觉对比敏感度组,2)高强度-低视觉对比敏感度组;3)低强度-高视觉对比敏感度;4)低强度-低视觉对比敏感度。结果:膝关节伸展强度通过相对于身体质量的峰值扭矩(R= -0.57, PPP=0.001)。在控制年龄的情况下,肌肉力量和视觉对比敏感度之间的相互作用是跌倒风险评分的显著预测因子(t=2.420, P=0.018)。较低强度-较低对比敏感度的受试者(12.96±1.93)与较高强度-较高视觉对比敏感度的受试者(11.53±1.75,P=0.045)相比,跌倒风险评分明显较差。结论:较低的下体肌肉力量与较低的视觉对比敏感度相互作用,对跌倒风险产生负面影响。
本文章由计算机程序翻译,如有差异,请以英文原文为准。
求助全文
约1分钟内获得全文 求助全文
来源期刊
自引率
0.00%
发文量
0
审稿时长
6 weeks
×
引用
GB/T 7714-2015
复制
MLA
复制
APA
复制
导出至
BibTeX EndNote RefMan NoteFirst NoteExpress
×
提示
您的信息不完整,为了账户安全,请先补充。
现在去补充
×
提示
您因"违规操作"
具体请查看互助需知
我知道了
×
提示
确定
请完成安全验证×
copy
已复制链接
快去分享给好友吧!
我知道了
右上角分享
点击右上角分享
0
联系我们:info@booksci.cn Book学术提供免费学术资源搜索服务,方便国内外学者检索中英文文献。致力于提供最便捷和优质的服务体验。 Copyright © 2023 布克学术 All rights reserved.
京ICP备2023020795号-1
ghs 京公网安备 11010802042870号
Book学术文献互助
Book学术文献互助群
群 号:604180095
Book学术官方微信