Double fluorescence-guided surgery with 5-ALA and fluorescein sodium in grade 2 and grade 3 adult-type diffuse gliomas: retrospective analysis of 112 cases.

IF 2.5 Q3 CLINICAL NEUROLOGY
Brain & spine Pub Date : 2025-05-09 eCollection Date: 2025-01-01 DOI:10.1016/j.bas.2025.104277
Andrea Bianconi, Marta Bonada, Pietro Zeppa, Francesco Bruno, Pietro La Cava, Flavio Panico, Roberta Rudà, Antonio Melcarne, Diego Garbossa, Fabio Cofano
{"title":"Double fluorescence-guided surgery with 5-ALA and fluorescein sodium in grade 2 and grade 3 adult-type diffuse gliomas: retrospective analysis of 112 cases.","authors":"Andrea Bianconi, Marta Bonada, Pietro Zeppa, Francesco Bruno, Pietro La Cava, Flavio Panico, Roberta Rudà, Antonio Melcarne, Diego Garbossa, Fabio Cofano","doi":"10.1016/j.bas.2025.104277","DOIUrl":null,"url":null,"abstract":"<p><strong>Objective: </strong>Fluorescence-guided surgery (FGS) has been increasingly used to support glioma surgery to obtain a maximal extent of resection (EOR). Current evidence in lower-grade gliomas does not support the routine use of FGS obtained with the most common fluorescence agents (e.g. 5-ALA and fluorescein sodium). However, the combination of these two dyes has not been extensively explored yet. Main objective of this study is to evaluate the role of 5-ALA and FS in LGGs surgery for tumor detection, margin definition, and prognostic relevance.</p><p><strong>Methods: </strong>112 patients affected by a histologically confirmed adult-type diffuse glioma grade 2-3 molecularly defined underwent craniotomy in \"Città della Salute e della Scienza\" hospital (Turin, Italy). Surgery has been performed under general anesthesia with the previous administration of both 5-ALA (20 mg/kg) and fluorescein sodium (3 mg/kg). We retrospectively investigated clinical, radiological, histological and molecular data. Fluorescence positive rate and pattern have been reported both for 5-ALA and for fluoresceine.</p><p><strong>Results: </strong>We included 69 patients with astrocytoma <i>IDH-</i>mutant and 43 with oligodendroglioma <i>IDH-</i>mutant 1p19q-codeleted. Seventeen cases were positive for both 5-ALA and FS (15.1 %), 24 for 5-ALA (21.4 %) only, 1 for FS (1.0 %) only, 70 were negative (62.5 %). The relationship between intraoperative fluorescence and the presence of foci with contrast enhancement uptake on the preoperative MRI was statistically significant (p < 0.001) for both the dyes. 5-ALA intraoperative detection had a statistically significant impact on the overall survival (OS) (HR: 2.51, 95 % CI: 1.25-5.01, p = 0.009) and progression-free survival (PFS) (HR: 2.46, 95 % CI: 1.34-4.52, p = 0.004). Additionally, both FS and 5-ALA fluorescence slightly prevailed in grade 3 gliomas, especially 5-ALA.</p><p><strong>Conclusion: </strong>The results achieved in this study do not support the role of 5-ALA and FS to intraoperatively define the extent of resection, because of low fluorescence rates. Nevertheless, 5-ALA expression could be used to intraoperatively identify more aggressive foci and add useful prognostic information before the histological analysis. Indeed, FS is mostly related to blood-brain barrier damage and, thus, with contrast enhancement in MRI.</p>","PeriodicalId":72443,"journal":{"name":"Brain & spine","volume":"5 ","pages":"104277"},"PeriodicalIF":2.5000,"publicationDate":"2025-05-09","publicationTypes":"Journal Article","fieldsOfStudy":null,"isOpenAccess":false,"openAccessPdf":"https://www.ncbi.nlm.nih.gov/pmc/articles/PMC12145845/pdf/","citationCount":"0","resultStr":null,"platform":"Semanticscholar","paperid":null,"PeriodicalName":"Brain & spine","FirstCategoryId":"1085","ListUrlMain":"https://doi.org/10.1016/j.bas.2025.104277","RegionNum":0,"RegionCategory":null,"ArticlePicture":[],"TitleCN":null,"AbstractTextCN":null,"PMCID":null,"EPubDate":"2025/1/1 0:00:00","PubModel":"eCollection","JCR":"Q3","JCRName":"CLINICAL NEUROLOGY","Score":null,"Total":0}
引用次数: 0

Abstract

Objective: Fluorescence-guided surgery (FGS) has been increasingly used to support glioma surgery to obtain a maximal extent of resection (EOR). Current evidence in lower-grade gliomas does not support the routine use of FGS obtained with the most common fluorescence agents (e.g. 5-ALA and fluorescein sodium). However, the combination of these two dyes has not been extensively explored yet. Main objective of this study is to evaluate the role of 5-ALA and FS in LGGs surgery for tumor detection, margin definition, and prognostic relevance.

Methods: 112 patients affected by a histologically confirmed adult-type diffuse glioma grade 2-3 molecularly defined underwent craniotomy in "Città della Salute e della Scienza" hospital (Turin, Italy). Surgery has been performed under general anesthesia with the previous administration of both 5-ALA (20 mg/kg) and fluorescein sodium (3 mg/kg). We retrospectively investigated clinical, radiological, histological and molecular data. Fluorescence positive rate and pattern have been reported both for 5-ALA and for fluoresceine.

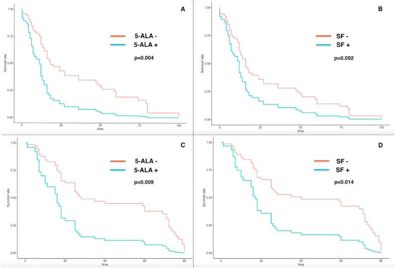
Results: We included 69 patients with astrocytoma IDH-mutant and 43 with oligodendroglioma IDH-mutant 1p19q-codeleted. Seventeen cases were positive for both 5-ALA and FS (15.1 %), 24 for 5-ALA (21.4 %) only, 1 for FS (1.0 %) only, 70 were negative (62.5 %). The relationship between intraoperative fluorescence and the presence of foci with contrast enhancement uptake on the preoperative MRI was statistically significant (p < 0.001) for both the dyes. 5-ALA intraoperative detection had a statistically significant impact on the overall survival (OS) (HR: 2.51, 95 % CI: 1.25-5.01, p = 0.009) and progression-free survival (PFS) (HR: 2.46, 95 % CI: 1.34-4.52, p = 0.004). Additionally, both FS and 5-ALA fluorescence slightly prevailed in grade 3 gliomas, especially 5-ALA.

Conclusion: The results achieved in this study do not support the role of 5-ALA and FS to intraoperatively define the extent of resection, because of low fluorescence rates. Nevertheless, 5-ALA expression could be used to intraoperatively identify more aggressive foci and add useful prognostic information before the histological analysis. Indeed, FS is mostly related to blood-brain barrier damage and, thus, with contrast enhancement in MRI.

Abstract Image

Abstract Image

Abstract Image

5-ALA联合荧光素钠双荧光引导手术治疗2级和3级成人型弥漫性胶质瘤112例回顾性分析
目的:荧光引导手术(FGS)越来越多地用于支持胶质瘤手术,以获得最大程度的切除(EOR)。目前在低级别胶质瘤中的证据不支持常规使用最常见的荧光剂(如5-ALA和荧光素钠)获得的FGS。然而,这两种染料的结合还没有得到广泛的探索。本研究的主要目的是评估5-ALA和FS在LGGs手术中肿瘤检测、边缘定义和预后相关性的作用。方法:112例组织学证实的2-3级分子定义成人型弥漫性胶质瘤患者在“citt della Salute e della Scienza”医院(意大利都灵)接受了开颅手术。手术在全麻下进行,既往给予5-ALA (20mg /kg)和荧光素钠(3mg /kg)。我们回顾性地调查了临床、放射学、组织学和分子资料。5-ALA和荧光素的荧光阳性率和模式均有报道。结果:我们纳入了69例星形细胞瘤idh突变患者和43例少突胶质细胞瘤idh突变1p19q编码缺失患者。5-ALA和FS均阳性17例(15.1%),5-ALA仅阳性24例(21.4%),FS仅阳性1例(1.0%),阴性70例(62.5%)。术中荧光与术前MRI造影剂增强摄取灶的存在之间的关系具有统计学意义(p)。结论:由于5-ALA和FS的荧光率低,本研究的结果不支持5-ALA和FS在术中确定切除范围的作用。然而,5-ALA的表达可用于术中识别更具侵袭性的病灶,并在组织学分析之前增加有用的预后信息。事实上,FS主要与血脑屏障损伤有关,因此在MRI上具有增强效果。
本文章由计算机程序翻译,如有差异,请以英文原文为准。
求助全文
约1分钟内获得全文 求助全文
来源期刊
Brain & spine
Brain & spine Surgery
CiteScore
1.10
自引率
0.00%
发文量
0
审稿时长
71 days
×
引用
GB/T 7714-2015
复制
MLA
复制
APA
复制
导出至
BibTeX EndNote RefMan NoteFirst NoteExpress
×
提示
您的信息不完整,为了账户安全,请先补充。
现在去补充
×
提示
您因"违规操作"
具体请查看互助需知
我知道了
×
提示
确定
请完成安全验证×
copy
已复制链接
快去分享给好友吧!
我知道了
右上角分享
点击右上角分享
0
联系我们:info@booksci.cn Book学术提供免费学术资源搜索服务,方便国内外学者检索中英文文献。致力于提供最便捷和优质的服务体验。 Copyright © 2023 布克学术 All rights reserved.
京ICP备2023020795号-1
ghs 京公网安备 11010802042870号
Book学术文献互助
Book学术文献互助群
群 号:604180095
Book学术官方微信