Stability of individual differences in executive functions in kindergarten children - a microgenetic study.

IF 1.4 4区 心理学 Q3 PSYCHOLOGY, EXPERIMENTAL
Cognitive Processing Pub Date : 2025-11-01 Epub Date: 2025-06-07 DOI:10.1007/s10339-025-01283-8
Eva Michel, Julia Gießübel, Anja Grimm, Leonie Wild
{"title":"Stability of individual differences in executive functions in kindergarten children - a microgenetic study.","authors":"Eva Michel, Julia Gießübel, Anja Grimm, Leonie Wild","doi":"10.1007/s10339-025-01283-8","DOIUrl":null,"url":null,"abstract":"<p><p>Executive functions (EF) are higher cognitive processes which are involved in new, complex tasks. EF are often subdivided into three components: updating of working memory representations, shifting between tasks or task rules, and inhibiting predominant reactions or interfering stimuli. Individual differences in EF are often used to predict academic performance. Although the temporal stability of a construct is a necessary condition for its use as a predictor, the stability of EF in children remains unclear. The present study aims to investigate the short-term stability of individual EF performance in N = 57 kindergarten children. They were tested eight times every 2-3 days with an n-back task to measure updating, a colour/shape sorting task to measure shifting, and a go/no-go task to measure inhibition. Four-week stabilities were high for inhibition and low to moderate for updating and shifting. In latent state-trait analyses, half of the variance in inhibition but very small amounts of variance in updating and shifting variance were explained by trait. Moderate to high amounts of variance in all three tasks were explained by state. The results are discussed in terms of the usefulness of the tasks for measuring stable EF in kindergarten age and for predicting later performance.</p>","PeriodicalId":47638,"journal":{"name":"Cognitive Processing","volume":" ","pages":"935-946"},"PeriodicalIF":1.4000,"publicationDate":"2025-11-01","publicationTypes":"Journal Article","fieldsOfStudy":null,"isOpenAccess":false,"openAccessPdf":"https://www.ncbi.nlm.nih.gov/pmc/articles/PMC12528244/pdf/","citationCount":"0","resultStr":null,"platform":"Semanticscholar","paperid":null,"PeriodicalName":"Cognitive Processing","FirstCategoryId":"102","ListUrlMain":"https://doi.org/10.1007/s10339-025-01283-8","RegionNum":4,"RegionCategory":"心理学","ArticlePicture":[],"TitleCN":null,"AbstractTextCN":null,"PMCID":null,"EPubDate":"2025/6/7 0:00:00","PubModel":"Epub","JCR":"Q3","JCRName":"PSYCHOLOGY, EXPERIMENTAL","Score":null,"Total":0}
引用次数: 0

Abstract

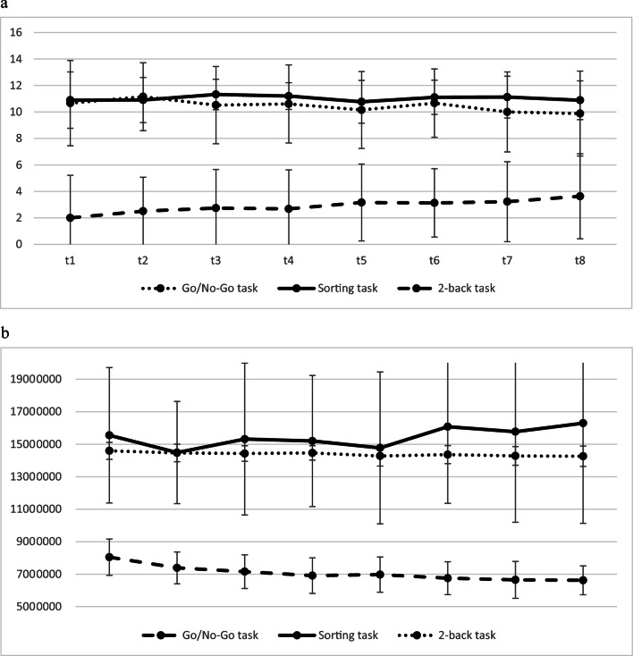
Executive functions (EF) are higher cognitive processes which are involved in new, complex tasks. EF are often subdivided into three components: updating of working memory representations, shifting between tasks or task rules, and inhibiting predominant reactions or interfering stimuli. Individual differences in EF are often used to predict academic performance. Although the temporal stability of a construct is a necessary condition for its use as a predictor, the stability of EF in children remains unclear. The present study aims to investigate the short-term stability of individual EF performance in N = 57 kindergarten children. They were tested eight times every 2-3 days with an n-back task to measure updating, a colour/shape sorting task to measure shifting, and a go/no-go task to measure inhibition. Four-week stabilities were high for inhibition and low to moderate for updating and shifting. In latent state-trait analyses, half of the variance in inhibition but very small amounts of variance in updating and shifting variance were explained by trait. Moderate to high amounts of variance in all three tasks were explained by state. The results are discussed in terms of the usefulness of the tasks for measuring stable EF in kindergarten age and for predicting later performance.

Abstract Image

Abstract Image

幼儿园儿童执行功能个体差异的稳定性——一项微遗传学研究。
执行功能(EF)是涉及新的、复杂任务的高级认知过程。EF通常被细分为三个组成部分:工作记忆表征的更新,任务或任务规则之间的转换,抑制主导反应或干扰刺激。英语学习的个体差异常被用来预测学习成绩。虽然一个构念的时间稳定性是其用作预测因子的必要条件,但EF在儿童中的稳定性尚不清楚。本研究旨在探讨N = 57名幼儿园儿童个人英语学习成绩的短期稳定性。他们每2-3天接受8次测试,其中n-back任务衡量更新,颜色/形状分类任务衡量移动,go/no-go任务衡量抑制。四周的稳定性对抑制是高的,对更新和转移是低到中等的。在潜在状态-特质分析中,有一半的抑制变异可以由特质解释,而只有很少的更新变异和转移变异可以由特质解释。这三个任务的中高差异都是由州来解释的。结果讨论了任务的有用性,以衡量稳定的英语在幼儿园年龄和预测以后的表现。
本文章由计算机程序翻译,如有差异,请以英文原文为准。
求助全文
约1分钟内获得全文 求助全文
来源期刊
Cognitive Processing
Cognitive Processing PSYCHOLOGY, EXPERIMENTAL-
CiteScore
3.10
自引率
5.90%
发文量
44
期刊介绍: Cognitive Processing - International Quarterly of Cognitive Science is a peer-reviewed international journal that publishes innovative contributions in the multidisciplinary field of cognitive science.  Its main purpose is to stimulate research and scientific interaction through communication between specialists in different fields on topics of common interest and to promote an interdisciplinary understanding of the diverse topics in contemporary cognitive science. Cognitive Processing is articulated in the following sections:Cognitive DevelopmentCognitive Models of Risk and Decision MakingCognitive NeuroscienceCognitive PsychologyComputational Cognitive SciencesPhilosophy of MindNeuroimaging and Electrophysiological MethodsPsycholinguistics and Computational linguisticsQuantitative Psychology and Formal Theories in Cognitive ScienceSocial Cognition and Cognitive Science of Culture
×
引用
GB/T 7714-2015
复制
MLA
复制
APA
复制
导出至
BibTeX EndNote RefMan NoteFirst NoteExpress
×
提示
您的信息不完整,为了账户安全,请先补充。
现在去补充
×
提示
您因"违规操作"
具体请查看互助需知
我知道了
×
提示
确定
请完成安全验证×
copy
已复制链接
快去分享给好友吧!
我知道了
右上角分享
点击右上角分享
0
联系我们:info@booksci.cn Book学术提供免费学术资源搜索服务,方便国内外学者检索中英文文献。致力于提供最便捷和优质的服务体验。 Copyright © 2023 布克学术 All rights reserved.
京ICP备2023020795号-1
ghs 京公网安备 11010802042870号
Book学术文献互助
Book学术文献互助群
群 号:604180095
Book学术官方微信