Perioperative changes of blood routine in daytime transurethral ureteroscopic laser lithotripsy and construction of a risk prediction model for delayed discharge.

IF 2.2 2区 医学 Q2 UROLOGY & NEPHROLOGY
Huadi Yuan, Liyan Gao, Lina Chou, Zhazha Lin, Jiarong Sun, Hao Zhang, Wenjun Gao, Bohan Wang
{"title":"Perioperative changes of blood routine in daytime transurethral ureteroscopic laser lithotripsy and construction of a risk prediction model for delayed discharge.","authors":"Huadi Yuan, Liyan Gao, Lina Chou, Zhazha Lin, Jiarong Sun, Hao Zhang, Wenjun Gao, Bohan Wang","doi":"10.1007/s00240-025-01770-9","DOIUrl":null,"url":null,"abstract":"<p><p>Day surgery is critical for efficient healthcare delivery, but delayed discharge remains a key quality metric. This study investigates perioperative blood index changes during transurethral ureteroscopic laser lithotripsy (TULL) and constructs a risk prediction model for delayed discharge. A retrospective analysis of 526 TULL day surgery patients (2017-2021) compared normal (n = 412) and delayed discharge groups (n = 114). Blood indicators (WBC, Hb, Lymph#, Mono#, Neut#, Eos#) and clinical variables were analyzed. Logistic regression and ROC curves evaluated predictive factors. Delayed discharge was linked to longer operation time (OR = 1.024) and higher urine WBC (OR = 1.001), while Mono# showed protective effects (OR = 0.127). The model achieved an AUC of 0.710 (95% CI: 0.637-0.787), with strong calibration. The model enables early identification of high-risk patients, guiding interventions to reduce delayed discharge and improve day surgery management.</p>","PeriodicalId":23411,"journal":{"name":"Urolithiasis","volume":"53 1","pages":"108"},"PeriodicalIF":2.2000,"publicationDate":"2025-06-09","publicationTypes":"Journal Article","fieldsOfStudy":null,"isOpenAccess":false,"openAccessPdf":"https://www.ncbi.nlm.nih.gov/pmc/articles/PMC12148984/pdf/","citationCount":"0","resultStr":null,"platform":"Semanticscholar","paperid":null,"PeriodicalName":"Urolithiasis","FirstCategoryId":"3","ListUrlMain":"https://doi.org/10.1007/s00240-025-01770-9","RegionNum":2,"RegionCategory":"医学","ArticlePicture":[],"TitleCN":null,"AbstractTextCN":null,"PMCID":null,"EPubDate":"","PubModel":"","JCR":"Q2","JCRName":"UROLOGY & NEPHROLOGY","Score":null,"Total":0}
引用次数: 0

Abstract

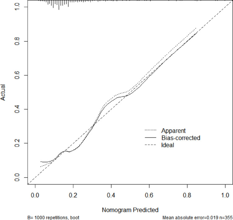
Day surgery is critical for efficient healthcare delivery, but delayed discharge remains a key quality metric. This study investigates perioperative blood index changes during transurethral ureteroscopic laser lithotripsy (TULL) and constructs a risk prediction model for delayed discharge. A retrospective analysis of 526 TULL day surgery patients (2017-2021) compared normal (n = 412) and delayed discharge groups (n = 114). Blood indicators (WBC, Hb, Lymph#, Mono#, Neut#, Eos#) and clinical variables were analyzed. Logistic regression and ROC curves evaluated predictive factors. Delayed discharge was linked to longer operation time (OR = 1.024) and higher urine WBC (OR = 1.001), while Mono# showed protective effects (OR = 0.127). The model achieved an AUC of 0.710 (95% CI: 0.637-0.787), with strong calibration. The model enables early identification of high-risk patients, guiding interventions to reduce delayed discharge and improve day surgery management.

Abstract Image

Abstract Image

日间经尿道输尿管镜激光碎石术围术期血常规变化及延迟出院风险预测模型的建立。
日间手术对于有效的医疗服务至关重要,但延迟出院仍然是一个关键的质量指标。本研究探讨经尿道输尿管镜激光碎石术(TULL)围术期血液指标的变化,并建立延迟出院的风险预测模型。回顾性分析526例TULL日间手术患者(2017-2021),比较正常组(n = 412)和延迟出院组(n = 114)。分析血液指标(WBC、Hb、Lymph#、Mono#、Neut#、Eos#)及临床变量。Logistic回归及ROC曲线评价预测因素。延迟出院与较长的手术时间(OR = 1.024)和较高的尿WBC (OR = 1.001)有关,而Mono#具有保护作用(OR = 0.127)。该模型的AUC为0.710 (95% CI: 0.637-0.787),具有强校准。该模型可以早期识别高危患者,指导干预措施,减少延迟出院,改善日间手术管理。
本文章由计算机程序翻译,如有差异,请以英文原文为准。
求助全文
约1分钟内获得全文 求助全文
来源期刊
Urolithiasis
Urolithiasis UROLOGY & NEPHROLOGY-
CiteScore
4.50
自引率
6.50%
发文量
74
期刊介绍: Official Journal of the International Urolithiasis Society The journal aims to publish original articles in the fields of clinical and experimental investigation only within the sphere of urolithiasis and its related areas of research. The journal covers all aspects of urolithiasis research including the diagnosis, epidemiology, pathogenesis, genetics, clinical biochemistry, open and non-invasive surgical intervention, nephrological investigation, chemistry and prophylaxis of the disorder. The Editor welcomes contributions on topics of interest to urologists, nephrologists, radiologists, clinical biochemists, epidemiologists, nutritionists, basic scientists and nurses working in that field. Contributions may be submitted as full-length articles or as rapid communications in the form of Letters to the Editor. Articles should be original and should contain important new findings from carefully conducted studies designed to produce statistically significant data. Please note that we no longer publish articles classified as Case Reports. Editorials and review articles may be published by invitation from the Editorial Board. All submissions are peer-reviewed. Through an electronic system for the submission and review of manuscripts, the Editor and Associate Editors aim to make publication accessible as quickly as possible to a large number of readers throughout the world.
×
引用
GB/T 7714-2015
复制
MLA
复制
APA
复制
导出至
BibTeX EndNote RefMan NoteFirst NoteExpress
×
提示
您的信息不完整,为了账户安全,请先补充。
现在去补充
×
提示
您因"违规操作"
具体请查看互助需知
我知道了
×
提示
确定
请完成安全验证×
copy
已复制链接
快去分享给好友吧!
我知道了
右上角分享
点击右上角分享
0
联系我们:info@booksci.cn Book学术提供免费学术资源搜索服务,方便国内外学者检索中英文文献。致力于提供最便捷和优质的服务体验。 Copyright © 2023 布克学术 All rights reserved.
京ICP备2023020795号-1
ghs 京公网安备 11010802042870号
Book学术文献互助
Book学术文献互助群
群 号:604180095
Book学术官方微信