Bioinformatics-Based Comparative Analysis of the Human Retina Proteome.

IF 2.5 4区 生物学 Q3 BIOCHEMICAL RESEARCH METHODS
PROTEOMICS – Clinical Applications Pub Date : 2025-07-01 Epub Date: 2025-06-07 DOI:10.1002/prca.70012
Colin K Kim, Mak B Djulbegovic, David Broytman, Nedym Hadzijahic, Michael Antonietti, David J Taylor Gonzalez, Vladimir N Uversky, Nicolas A Yannuzzi, Carol L Karp
{"title":"Bioinformatics-Based Comparative Analysis of the Human Retina Proteome.","authors":"Colin K Kim, Mak B Djulbegovic, David Broytman, Nedym Hadzijahic, Michael Antonietti, David J Taylor Gonzalez, Vladimir N Uversky, Nicolas A Yannuzzi, Carol L Karp","doi":"10.1002/prca.70012","DOIUrl":null,"url":null,"abstract":"<p><strong>Introduction: </strong>The human retina relies on a complex network of proteins, many of which exhibit intrinsic disorder and liquid-liquid phase separation (LLPS), enabling dynamic interactions for retinal function. Disruptions in these properties, along with missense mutations, have been linked to retinal diseases. This study aims to characterize and compare retinal proteins categorized by their expression specificity and tissue distribution using bioinformatics tools to explore relationships between intrinsic protein disorder, phase separation potential, and mutation pathogenicity.</p><p><strong>Methods: </strong>We analyzed retinal proteins classified by the Human Protein Atlas (HPA) into two major groups based on gene expression specificity (degree of unique retinal expression) and gene expression distribution (extent of expression across tissues). We analyzed nine retinal proteomes categorized by gene expression specificity and distribution. Intrinsic protein disorder was assessed using per-residue and global disorder predictors from the Rapid Intrinsic Disorder Analysis Online (RIDAO) platform, LLPS potential was evaluated with ParSe v2, and missense mutation pathogenicity was predicted using AlphaMissense.</p><p><strong>Results: </strong>Significant differences in per-residue intrinsic protein disorder were found within the specificity and distribution subgroups (p < 0.0001). In addition, global disorder predictions from the RIDAO platform demonstrated non-random distributions of protein species across the proteomes analyzed in both subgroups (p < 0.0001). Furthermore, proteins specifically elevated in the retina exhibited higher intrinsic disorder and greater phase separation propensity (ParSe v2, AUC up to 0.650), compared to those more broadly expressed. Lastly, AlphaMissense analysis showed significant variations in the average pathogenicity scores of missense mutations within subgroups (p < 0.0001).</p><p><strong>Conclusion: </strong>Our results show that intrinsic disorder, LLPS, and mutational tendencies are not evenly distributed among retinal proteomes. Our study demonstrates a link between intrinsic disorder, LLPS potential, and pathogenic vulnerability among retinal proteins, underscoring the unique structural and functional landscape of retinal proteomes. Proteins with higher specificity to the retina exhibit greater disorder and phase separation potential, highlighting their potential role in dynamic cellular processes that support retinal function. Conversely, proteins widely distributed across multiple tissues tend to be more ordered, suggesting a need for structural stability in their broader functional roles.</p>","PeriodicalId":20571,"journal":{"name":"PROTEOMICS – Clinical Applications","volume":" ","pages":"e70012"},"PeriodicalIF":2.5000,"publicationDate":"2025-07-01","publicationTypes":"Journal Article","fieldsOfStudy":null,"isOpenAccess":false,"openAccessPdf":"https://www.ncbi.nlm.nih.gov/pmc/articles/PMC12278036/pdf/","citationCount":"0","resultStr":null,"platform":"Semanticscholar","paperid":null,"PeriodicalName":"PROTEOMICS – Clinical Applications","FirstCategoryId":"99","ListUrlMain":"https://doi.org/10.1002/prca.70012","RegionNum":4,"RegionCategory":"生物学","ArticlePicture":[],"TitleCN":null,"AbstractTextCN":null,"PMCID":null,"EPubDate":"2025/6/7 0:00:00","PubModel":"Epub","JCR":"Q3","JCRName":"BIOCHEMICAL RESEARCH METHODS","Score":null,"Total":0}
引用次数: 0

Abstract

Introduction: The human retina relies on a complex network of proteins, many of which exhibit intrinsic disorder and liquid-liquid phase separation (LLPS), enabling dynamic interactions for retinal function. Disruptions in these properties, along with missense mutations, have been linked to retinal diseases. This study aims to characterize and compare retinal proteins categorized by their expression specificity and tissue distribution using bioinformatics tools to explore relationships between intrinsic protein disorder, phase separation potential, and mutation pathogenicity.

Methods: We analyzed retinal proteins classified by the Human Protein Atlas (HPA) into two major groups based on gene expression specificity (degree of unique retinal expression) and gene expression distribution (extent of expression across tissues). We analyzed nine retinal proteomes categorized by gene expression specificity and distribution. Intrinsic protein disorder was assessed using per-residue and global disorder predictors from the Rapid Intrinsic Disorder Analysis Online (RIDAO) platform, LLPS potential was evaluated with ParSe v2, and missense mutation pathogenicity was predicted using AlphaMissense.

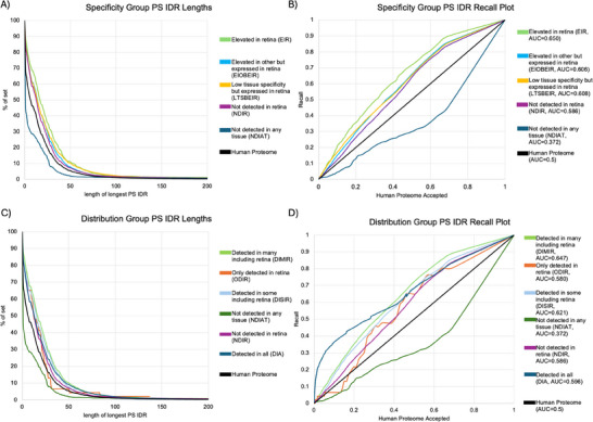
Results: Significant differences in per-residue intrinsic protein disorder were found within the specificity and distribution subgroups (p < 0.0001). In addition, global disorder predictions from the RIDAO platform demonstrated non-random distributions of protein species across the proteomes analyzed in both subgroups (p < 0.0001). Furthermore, proteins specifically elevated in the retina exhibited higher intrinsic disorder and greater phase separation propensity (ParSe v2, AUC up to 0.650), compared to those more broadly expressed. Lastly, AlphaMissense analysis showed significant variations in the average pathogenicity scores of missense mutations within subgroups (p < 0.0001).

Conclusion: Our results show that intrinsic disorder, LLPS, and mutational tendencies are not evenly distributed among retinal proteomes. Our study demonstrates a link between intrinsic disorder, LLPS potential, and pathogenic vulnerability among retinal proteins, underscoring the unique structural and functional landscape of retinal proteomes. Proteins with higher specificity to the retina exhibit greater disorder and phase separation potential, highlighting their potential role in dynamic cellular processes that support retinal function. Conversely, proteins widely distributed across multiple tissues tend to be more ordered, suggesting a need for structural stability in their broader functional roles.

Abstract Image

Abstract Image

Abstract Image

基于生物信息学的人视网膜蛋白质组比较分析。
人类视网膜依赖于一个复杂的蛋白质网络,其中许多蛋白质表现出内在的紊乱和液-液相分离(LLPS),从而实现视网膜功能的动态相互作用。这些特性的破坏以及错义突变与视网膜疾病有关。本研究旨在利用生物信息学工具对按表达特异性和组织分布分类的视网膜蛋白进行表征和比较,以探索内在蛋白紊乱、相分离潜能和突变致病性之间的关系。方法:根据基因表达特异性(视网膜独特表达程度)和基因表达分布(跨组织表达程度),对人类蛋白图谱(Human Protein Atlas, HPA)将视网膜蛋白分类为两大类。我们分析了按基因表达特异性和分布分类的9个视网膜蛋白质组。使用快速内在障碍分析在线(RIDAO)平台的每残基和全局疾病预测因子评估内在蛋白质紊乱,使用ParSe v2评估LLPS潜力,使用AlphaMissense预测错义突变致病性。结果:在特异性和分布亚组中,每残基内在蛋白紊乱有显著差异(p < 0.0001)。此外,来自RIDAO平台的全球疾病预测显示,在两个亚组中分析的蛋白质组中,蛋白质物种的非随机分布(p < 0.0001)。此外,与更广泛表达的蛋白相比,在视网膜中特异性升高的蛋白表现出更高的内在紊乱和更大的相分离倾向(ParSe v2, AUC高达0.650)。最后,AlphaMissense分析显示,亚组内错义突变的平均致病性评分存在显著差异(p < 0.0001)。结论:我们的研究结果表明,视网膜蛋白质组内在紊乱、LLPS和突变倾向的分布并不均匀。我们的研究证明了视网膜蛋白内在紊乱、LLPS潜能和致病性易感性之间的联系,强调了视网膜蛋白质组独特的结构和功能景观。对视网膜具有更高特异性的蛋白质表现出更大的紊乱和相分离潜力,突出了它们在支持视网膜功能的动态细胞过程中的潜在作用。相反,广泛分布在多个组织中的蛋白质往往更有序,这表明它们在更广泛的功能角色中需要结构稳定性。
本文章由计算机程序翻译,如有差异,请以英文原文为准。
求助全文
约1分钟内获得全文 求助全文
来源期刊
PROTEOMICS – Clinical Applications
PROTEOMICS – Clinical Applications 医学-生化研究方法
CiteScore
5.20
自引率
5.00%
发文量
50
审稿时长
1 months
期刊介绍: PROTEOMICS - Clinical Applications has developed into a key source of information in the field of applying proteomics to the study of human disease and translation to the clinic. With 12 issues per year, the journal will publish papers in all relevant areas including: -basic proteomic research designed to further understand the molecular mechanisms underlying dysfunction in human disease -the results of proteomic studies dedicated to the discovery and validation of diagnostic and prognostic disease biomarkers -the use of proteomics for the discovery of novel drug targets -the application of proteomics in the drug development pipeline -the use of proteomics as a component of clinical trials.
×
引用
GB/T 7714-2015
复制
MLA
复制
APA
复制
导出至
BibTeX EndNote RefMan NoteFirst NoteExpress
×
提示
您的信息不完整,为了账户安全,请先补充。
现在去补充
×
提示
您因"违规操作"
具体请查看互助需知
我知道了
×
提示
确定
请完成安全验证×
copy
已复制链接
快去分享给好友吧!
我知道了
右上角分享
点击右上角分享
0
联系我们:info@booksci.cn Book学术提供免费学术资源搜索服务,方便国内外学者检索中英文文献。致力于提供最便捷和优质的服务体验。 Copyright © 2023 布克学术 All rights reserved.
京ICP备2023020795号-1
ghs 京公网安备 11010802042870号
Book学术文献互助
Book学术文献互助群
群 号:604180095
Book学术官方微信