Facial Temperature Responses to Ostracism in Women: Exploring Nasal Thermal Signatures of Different Coping Behaviors.

IF 2.8 2区 心理学 Q2 NEUROSCIENCES
Anneloes Kip, Thorsten M Erle, Ilja van Beest
{"title":"Facial Temperature Responses to Ostracism in Women: Exploring Nasal Thermal Signatures of Different Coping Behaviors.","authors":"Anneloes Kip, Thorsten M Erle, Ilja van Beest","doi":"10.1111/psyp.70081","DOIUrl":null,"url":null,"abstract":"<p><p>Ostracism (feeling ignored and excluded) triggers psychophysiological responses associated with distress. We investigated different coping responses after ostracism and explored whether these were preceded by unique facial thermal signatures, reflecting autonomic nervous system (ANS) activity. Using thermal infrared imaging, we recorded facial cutaneous temperature variations in female participants (N = 95) experiencing inclusion and ostracism using hypothetical Cyberball games. Coping after ostracism was assessed during a hypothetical Allocation Game, where participants could do nothing (withdrawal), reduce (antisocial), or increase (prosocial) the hypothetical earnings of their ostracizer. Contrary to expectations, most participants chose to withdraw (52%), with fewer opting for antisocial responses (30%) or prosocial responses (18%) after ostracism. Results from linear mixed-effects modeling revealed that substantial temperature variability occurred only in the nose region of the face. Both ostracism and inclusion showed a decrease in nasal temperature relative to baseline, but the average drop was greater during inclusion, suggesting stronger ANS activation during inclusion rather than ostracism. Crucially, exploratory findings showed that only participants who responded antisocially after ostracism exhibited steeper decreases in nasal temperature during ostracism compared to inclusion. This pattern suggests greater physiological reactivity among antisocial responders, particularly in contrast to those who chose to withdraw. Future research should integrate thermal imaging with other physiological measures and strengthen ostracism manipulations to understand the relationship between thermal responses and different coping behaviors.</p>","PeriodicalId":20913,"journal":{"name":"Psychophysiology","volume":"62 6","pages":"e70081"},"PeriodicalIF":2.8000,"publicationDate":"2025-06-01","publicationTypes":"Journal Article","fieldsOfStudy":null,"isOpenAccess":false,"openAccessPdf":"https://www.ncbi.nlm.nih.gov/pmc/articles/PMC12146686/pdf/","citationCount":"0","resultStr":null,"platform":"Semanticscholar","paperid":null,"PeriodicalName":"Psychophysiology","FirstCategoryId":"102","ListUrlMain":"https://doi.org/10.1111/psyp.70081","RegionNum":2,"RegionCategory":"心理学","ArticlePicture":[],"TitleCN":null,"AbstractTextCN":null,"PMCID":null,"EPubDate":"","PubModel":"","JCR":"Q2","JCRName":"NEUROSCIENCES","Score":null,"Total":0}
引用次数: 0

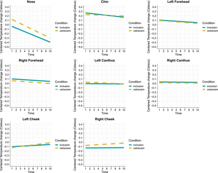
Abstract

Ostracism (feeling ignored and excluded) triggers psychophysiological responses associated with distress. We investigated different coping responses after ostracism and explored whether these were preceded by unique facial thermal signatures, reflecting autonomic nervous system (ANS) activity. Using thermal infrared imaging, we recorded facial cutaneous temperature variations in female participants (N = 95) experiencing inclusion and ostracism using hypothetical Cyberball games. Coping after ostracism was assessed during a hypothetical Allocation Game, where participants could do nothing (withdrawal), reduce (antisocial), or increase (prosocial) the hypothetical earnings of their ostracizer. Contrary to expectations, most participants chose to withdraw (52%), with fewer opting for antisocial responses (30%) or prosocial responses (18%) after ostracism. Results from linear mixed-effects modeling revealed that substantial temperature variability occurred only in the nose region of the face. Both ostracism and inclusion showed a decrease in nasal temperature relative to baseline, but the average drop was greater during inclusion, suggesting stronger ANS activation during inclusion rather than ostracism. Crucially, exploratory findings showed that only participants who responded antisocially after ostracism exhibited steeper decreases in nasal temperature during ostracism compared to inclusion. This pattern suggests greater physiological reactivity among antisocial responders, particularly in contrast to those who chose to withdraw. Future research should integrate thermal imaging with other physiological measures and strengthen ostracism manipulations to understand the relationship between thermal responses and different coping behaviors.

Abstract Image

Abstract Image

Abstract Image

女性对排斥的面部温度反应:探索不同应对行为的鼻热特征。
被排斥(感觉被忽视和排斥)会引发与痛苦相关的心理生理反应。我们研究了被排斥后的不同应对反应,并探讨了这些反应之前是否有独特的面部热特征,反映了自主神经系统(ANS)的活动。利用热红外成像技术,我们记录了95名女性参与者(N = 95)的面部皮肤温度变化,这些女性参与者在玩假想的电子球游戏时经历了包容和排斥。在一个假设的分配游戏中,参与者可以什么都不做(退缩),减少(反社会)或增加(亲社会)他们的放逐者的假设收入。与预期相反,大多数参与者在被排斥后选择退出(52%),选择反社会反应(30%)或亲社会反应(18%)的人较少。线性混合效应模型的结果显示,实质性的温度变化只发生在面部的鼻子区域。排斥反应和包合反应均显示鼻温较基线下降,但包合过程中平均下降幅度更大,说明包合过程中ANS的激活比排斥反应更强。至关重要的是,探索性发现表明,与包容相比,只有在被排斥后做出反社会反应的参与者在被排斥期间表现出更急剧的鼻温下降。这种模式表明反社会反应者的生理反应更强,尤其是与那些选择退缩的人相比。未来的研究应将热成像与其他生理测量相结合,加强排斥操作,以了解热反应与不同应对行为之间的关系。
本文章由计算机程序翻译,如有差异,请以英文原文为准。
求助全文
约1分钟内获得全文 求助全文
来源期刊
Psychophysiology
Psychophysiology 医学-神经科学
CiteScore
6.80
自引率
8.10%
发文量
225
审稿时长
2 months
期刊介绍: Founded in 1964, Psychophysiology is the most established journal in the world specifically dedicated to the dissemination of psychophysiological science. The journal continues to play a key role in advancing human neuroscience in its many forms and methodologies (including central and peripheral measures), covering research on the interrelationships between the physiological and psychological aspects of brain and behavior. Typically, studies published in Psychophysiology include psychological independent variables and noninvasive physiological dependent variables (hemodynamic, optical, and electromagnetic brain imaging and/or peripheral measures such as respiratory sinus arrhythmia, electromyography, pupillography, and many others). The majority of studies published in the journal involve human participants, but work using animal models of such phenomena is occasionally published. Psychophysiology welcomes submissions on new theoretical, empirical, and methodological advances in: cognitive, affective, clinical and social neuroscience, psychopathology and psychiatry, health science and behavioral medicine, and biomedical engineering. The journal publishes theoretical papers, evaluative reviews of literature, empirical papers, and methodological papers, with submissions welcome from scientists in any fields mentioned above.
×
引用
GB/T 7714-2015
复制
MLA
复制
APA
复制
导出至
BibTeX EndNote RefMan NoteFirst NoteExpress
×
提示
您的信息不完整,为了账户安全,请先补充。
现在去补充
×
提示
您因"违规操作"
具体请查看互助需知
我知道了
×
提示
确定
请完成安全验证×
copy
已复制链接
快去分享给好友吧!
我知道了
右上角分享
点击右上角分享
0
联系我们:info@booksci.cn Book学术提供免费学术资源搜索服务,方便国内外学者检索中英文文献。致力于提供最便捷和优质的服务体验。 Copyright © 2023 布克学术 All rights reserved.
京ICP备2023020795号-1
ghs 京公网安备 11010802042870号
Book学术文献互助
Book学术文献互助群
群 号:604180095
Book学术官方微信