Risk Heterogeneity of Liver-Related Events and Extrahepatic Outcomes Across MASLD Phenotypes and Risk Stratification by Liver Fibrosis.

IF 2.3 4区 医学 Q3 ENDOCRINOLOGY & METABOLISM
International Journal of Endocrinology Pub Date : 2025-06-01 eCollection Date: 2025-01-01 DOI:10.1155/ije/1262001
Xue Bao, Xiaowen Zhang, Dahui Xu, Yu Wang, Songjiang Yin, Xinlin Zhang
{"title":"Risk Heterogeneity of Liver-Related Events and Extrahepatic Outcomes Across MASLD Phenotypes and Risk Stratification by Liver Fibrosis.","authors":"Xue Bao, Xiaowen Zhang, Dahui Xu, Yu Wang, Songjiang Yin, Xinlin Zhang","doi":"10.1155/ije/1262001","DOIUrl":null,"url":null,"abstract":"<p><p><b>Background:</b> Metabolic dysfunction-associated steatotic liver disease (MASLD) has been newly proposed to characterize fatty liver disease. We aim to investigate the associations of different phenotypes of MASLD and related steatotic liver disease (SLD) with the risk of liver-related and extrahepatic outcomes. <b>Methods:</b> Among 368,886 United Kingdom's Biobank participants, those with MASLD and related SLD were categorized into pure MASLD, MASLD with increased alcohol intake (MetALD), MASLD with alcohol-related liver disease (ALD), and MASLD with other etiology. The primary outcome was liver-related events (LREs). <b>Results:</b> During a median follow-up of 13.7 years, 2095 participants developed LREs. The adjusted HRs (95% CIs) of LREs for pure MASLD, MetALD, MASLD with ALD, and MASLD with other etiology were 2.46 (2.21, 2.73), 2.77 (2.39, 3.21), 8.73 (7.59, 10.1), and 26.5 (17.1, 41.0), respectively. Participants with MetALD, MASLD with ALD, and MASLD with other etiology showed a considerably higher risk of liver-related outcomes but a modestly higher risk of extrahepatic cancer compared to those with pure MASLD. A remarkably higher risk of LREs was observed in participants with a fibrosis-4 > 2.67. <b>Conclusion:</b> MASLD and related SLD are associated with increased risks of LREs and extrahepatic outcomes, with heterogeneous risks across different phenotypes and significant risk stratification by liver fibrosis severity.</p>","PeriodicalId":13966,"journal":{"name":"International Journal of Endocrinology","volume":"2025 ","pages":"1262001"},"PeriodicalIF":2.3000,"publicationDate":"2025-06-01","publicationTypes":"Journal Article","fieldsOfStudy":null,"isOpenAccess":false,"openAccessPdf":"https://www.ncbi.nlm.nih.gov/pmc/articles/PMC12145934/pdf/","citationCount":"0","resultStr":null,"platform":"Semanticscholar","paperid":null,"PeriodicalName":"International Journal of Endocrinology","FirstCategoryId":"3","ListUrlMain":"https://doi.org/10.1155/ije/1262001","RegionNum":4,"RegionCategory":"医学","ArticlePicture":[],"TitleCN":null,"AbstractTextCN":null,"PMCID":null,"EPubDate":"2025/1/1 0:00:00","PubModel":"eCollection","JCR":"Q3","JCRName":"ENDOCRINOLOGY & METABOLISM","Score":null,"Total":0}
引用次数: 0

Abstract

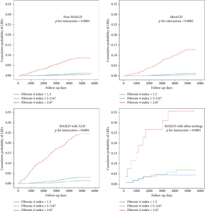
Background: Metabolic dysfunction-associated steatotic liver disease (MASLD) has been newly proposed to characterize fatty liver disease. We aim to investigate the associations of different phenotypes of MASLD and related steatotic liver disease (SLD) with the risk of liver-related and extrahepatic outcomes. Methods: Among 368,886 United Kingdom's Biobank participants, those with MASLD and related SLD were categorized into pure MASLD, MASLD with increased alcohol intake (MetALD), MASLD with alcohol-related liver disease (ALD), and MASLD with other etiology. The primary outcome was liver-related events (LREs). Results: During a median follow-up of 13.7 years, 2095 participants developed LREs. The adjusted HRs (95% CIs) of LREs for pure MASLD, MetALD, MASLD with ALD, and MASLD with other etiology were 2.46 (2.21, 2.73), 2.77 (2.39, 3.21), 8.73 (7.59, 10.1), and 26.5 (17.1, 41.0), respectively. Participants with MetALD, MASLD with ALD, and MASLD with other etiology showed a considerably higher risk of liver-related outcomes but a modestly higher risk of extrahepatic cancer compared to those with pure MASLD. A remarkably higher risk of LREs was observed in participants with a fibrosis-4 > 2.67. Conclusion: MASLD and related SLD are associated with increased risks of LREs and extrahepatic outcomes, with heterogeneous risks across different phenotypes and significant risk stratification by liver fibrosis severity.

Abstract Image

Abstract Image

肝脏相关事件和肝外结局在MASLD表型和肝纤维化风险分层中的风险异质性。
背景:代谢功能障碍相关的脂肪变性肝病(MASLD)已被新提出用于表征脂肪肝疾病。我们的目的是研究不同表型的MASLD和相关脂肪变性肝病(SLD)与肝脏相关和肝外预后风险的关系。方法:在英国生物银行的368,886名参与者中,MASLD和相关SLD患者被分为纯MASLD、酒精摄入增加的MASLD (MetALD)、酒精相关性肝病(ALD) MASLD和其他病因的MASLD。主要终点是肝脏相关事件(LREs)。结果:在中位13.7年的随访期间,2095名参与者发生了LREs。纯MASLD、MetALD、MASLD合并ALD、MASLD合并其他病因的LREs校正hr (95% ci)分别为2.46(2.21,2.73)、2.77(2.39,3.21)、8.73(7.59,10.1)、26.5(17.1,41.0)。与单纯的MASLD相比,患有MetALD、MASLD合并ALD和其他病因的MASLD的参与者显示出肝脏相关结果的风险相当高,但患肝外癌的风险略高。在纤维化患者中观察到明显更高的LREs风险。结论:MASLD和相关SLD与LREs和肝外预后的风险增加相关,不同表型的风险存在异质性,肝纤维化严重程度的风险分层显著。
本文章由计算机程序翻译,如有差异,请以英文原文为准。
求助全文
约1分钟内获得全文 求助全文
来源期刊
International Journal of Endocrinology
International Journal of Endocrinology ENDOCRINOLOGY & METABOLISM-
CiteScore
5.20
自引率
0.00%
发文量
147
审稿时长
1 months
期刊介绍: International Journal of Endocrinology is a peer-reviewed, Open Access journal that provides a forum for scientists and clinicians working in basic and translational research. The journal publishes original research articles, review articles, and clinical studies that provide insights into the endocrine system and its associated diseases at a genomic, molecular, biochemical and cellular level.
×
引用
GB/T 7714-2015
复制
MLA
复制
APA
复制
导出至
BibTeX EndNote RefMan NoteFirst NoteExpress
×
提示
您的信息不完整,为了账户安全,请先补充。
现在去补充
×
提示
您因"违规操作"
具体请查看互助需知
我知道了
×
提示
确定
请完成安全验证×
copy
已复制链接
快去分享给好友吧!
我知道了
右上角分享
点击右上角分享
0
联系我们:info@booksci.cn Book学术提供免费学术资源搜索服务,方便国内外学者检索中英文文献。致力于提供最便捷和优质的服务体验。 Copyright © 2023 布克学术 All rights reserved.
京ICP备2023020795号-1
ghs 京公网安备 11010802042870号
Book学术文献互助
Book学术文献互助群
群 号:604180095
Book学术官方微信