A prediction model of low birthweight risk in singleton pregnancies reduced from dichorionic twin pregnancies.

IF 4.7 2区 医学 Q1 ENDOCRINOLOGY & METABOLISM
Minyue Tang, Qingfang Li, Guiquan Wang, Jiayu Xu, Saijun Sun, Yimin Zhu
{"title":"A prediction model of low birthweight risk in singleton pregnancies reduced from dichorionic twin pregnancies.","authors":"Minyue Tang, Qingfang Li, Guiquan Wang, Jiayu Xu, Saijun Sun, Yimin Zhu","doi":"10.1186/s12958-025-01419-7","DOIUrl":null,"url":null,"abstract":"<p><strong>Background: </strong>The incidence of twin pregnancies has risen in recent decades, which is mainly attributable to assisted reproduction technology. Fetal reduction (FR) can significantly reduce the risk of low birthweight (LBW) in twins; however, the LBW risk is higher in singletons reduced from twins than that in primary singletons. Factors including maternal factors and FR timing may affect the LBW risk after FR, but there are no relevant prediction models reported to date. Our main study objective was to develop a nomogram to predict LBW risk in singleton pregnancies reduced from dichorionic (DC) twins.</p><p><strong>Methods: </strong>We retrospectively reviewed and analysed data from women with DC twin pregnancies who underwent FR at Women's Hospital School of Medicine, Zhejiang University between July 2005 and August 2021. Least absolute shrinkage and selection operator (LASSO) regression was used to identify relevant variables associated with LBW. A nomogram was constructed and receiver operating characteristic curve, calibration curves, and decision clinical analysis were used for model performance assessment and visualization. The model was evaluated using cohorts produced by 500 resampling bootstrap analysis to test its stability.</p><p><strong>Results: </strong>A total of 471 patients were enrolled in the analysis. Finally, seven independent predictive factors for LBW were identified and integrated to construct the nomogram, including maternal height, nulliparous, conception method, reasons for FR, gestational age at FR, gestational diabetes, and pregnancy hypertensive disease. The area under the receiver operating characteristic curve of our prediction model was 0.793, which was validated in internal confirmation (0.762) using bootstrap analysis. The nomogram had well-fitted calibration curves. Decision curve analysis demonstrated that the nomogram was clinically useful.</p><p><strong>Conclusion: </strong>We first developed a reliable predictive nomogram for the risk of LBW in DC twin pregnancies reduced to singleton pregnancies, providing a useful guide for clinicians and patients in making appropriate decisions regarding FR.</p>","PeriodicalId":21011,"journal":{"name":"Reproductive Biology and Endocrinology","volume":"23 1","pages":"86"},"PeriodicalIF":4.7000,"publicationDate":"2025-06-05","publicationTypes":"Journal Article","fieldsOfStudy":null,"isOpenAccess":false,"openAccessPdf":"https://www.ncbi.nlm.nih.gov/pmc/articles/PMC12139383/pdf/","citationCount":"0","resultStr":null,"platform":"Semanticscholar","paperid":null,"PeriodicalName":"Reproductive Biology and Endocrinology","FirstCategoryId":"3","ListUrlMain":"https://doi.org/10.1186/s12958-025-01419-7","RegionNum":2,"RegionCategory":"医学","ArticlePicture":[],"TitleCN":null,"AbstractTextCN":null,"PMCID":null,"EPubDate":"","PubModel":"","JCR":"Q1","JCRName":"ENDOCRINOLOGY & METABOLISM","Score":null,"Total":0}
引用次数: 0

Abstract

Background: The incidence of twin pregnancies has risen in recent decades, which is mainly attributable to assisted reproduction technology. Fetal reduction (FR) can significantly reduce the risk of low birthweight (LBW) in twins; however, the LBW risk is higher in singletons reduced from twins than that in primary singletons. Factors including maternal factors and FR timing may affect the LBW risk after FR, but there are no relevant prediction models reported to date. Our main study objective was to develop a nomogram to predict LBW risk in singleton pregnancies reduced from dichorionic (DC) twins.

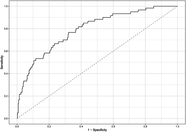
Methods: We retrospectively reviewed and analysed data from women with DC twin pregnancies who underwent FR at Women's Hospital School of Medicine, Zhejiang University between July 2005 and August 2021. Least absolute shrinkage and selection operator (LASSO) regression was used to identify relevant variables associated with LBW. A nomogram was constructed and receiver operating characteristic curve, calibration curves, and decision clinical analysis were used for model performance assessment and visualization. The model was evaluated using cohorts produced by 500 resampling bootstrap analysis to test its stability.

Results: A total of 471 patients were enrolled in the analysis. Finally, seven independent predictive factors for LBW were identified and integrated to construct the nomogram, including maternal height, nulliparous, conception method, reasons for FR, gestational age at FR, gestational diabetes, and pregnancy hypertensive disease. The area under the receiver operating characteristic curve of our prediction model was 0.793, which was validated in internal confirmation (0.762) using bootstrap analysis. The nomogram had well-fitted calibration curves. Decision curve analysis demonstrated that the nomogram was clinically useful.

Conclusion: We first developed a reliable predictive nomogram for the risk of LBW in DC twin pregnancies reduced to singleton pregnancies, providing a useful guide for clinicians and patients in making appropriate decisions regarding FR.

Abstract Image

Abstract Image

Abstract Image

双绒毛膜双胎妊娠降低单胎妊娠低出生体重风险的预测模型。
背景:近几十年来,双胎妊娠的发生率有所上升,这主要归因于辅助生殖技术。胎儿减量(FR)可显著降低双胞胎低出生体重(LBW)的风险;然而,双胞胎生的单胎患LBW的风险高于原生单胎。产妇因素和FR时间等因素可能影响FR后LBW风险,但目前尚无相关预测模型报道。我们的主要研究目的是建立一种线图来预测双绒毛膜(DC)双胞胎减少单胎妊娠的LBW风险。方法:我们回顾性回顾和分析2005年7月至2021年8月在浙江大学医学院妇女医院接受FR的DC双胎妊娠妇女的数据。最小绝对收缩和选择算子(LASSO)回归用于识别与LBW相关的相关变量。构建模态图,利用受试者工作特征曲线、校准曲线和决策临床分析对模型性能进行评价和可视化。采用500次重采样自举分析产生的队列对模型进行评估,以检验其稳定性。结果:共纳入471例患者。最后,对产妇身高、未产、受孕方式、FR原因、FR胎龄、妊娠期糖尿病、妊娠期高血压疾病等7个独立预测因素进行整合,构建LBW的nomogram。预测模型的受试者工作特征曲线下面积为0.793,采用bootstrap分析进行内部验证(0.762)。图的标定曲线拟合良好。决策曲线分析表明,该图在临床上是有用的。结论:我们首次建立了一种可靠的预测DC双胎妊娠减为单胎妊娠LBW风险的nomogram,为临床医生和患者对FR做出适当的决策提供了有用的指导。
本文章由计算机程序翻译,如有差异,请以英文原文为准。
求助全文
约1分钟内获得全文 求助全文
来源期刊
Reproductive Biology and Endocrinology
Reproductive Biology and Endocrinology 医学-内分泌学与代谢
CiteScore
7.90
自引率
2.30%
发文量
161
审稿时长
4-8 weeks
期刊介绍: Reproductive Biology and Endocrinology publishes and disseminates high-quality results from excellent research in the reproductive sciences. The journal publishes on topics covering gametogenesis, fertilization, early embryonic development, embryo-uterus interaction, reproductive development, pregnancy, uterine biology, endocrinology of reproduction, control of reproduction, reproductive immunology, neuroendocrinology, and veterinary and human reproductive medicine, including all vertebrate species.
×
引用
GB/T 7714-2015
复制
MLA
复制
APA
复制
导出至
BibTeX EndNote RefMan NoteFirst NoteExpress
×
提示
您的信息不完整,为了账户安全,请先补充。
现在去补充
×
提示
您因"违规操作"
具体请查看互助需知
我知道了
×
提示
确定
请完成安全验证×
copy
已复制链接
快去分享给好友吧!
我知道了
右上角分享
点击右上角分享
0
联系我们:info@booksci.cn Book学术提供免费学术资源搜索服务,方便国内外学者检索中英文文献。致力于提供最便捷和优质的服务体验。 Copyright © 2023 布克学术 All rights reserved.
京ICP备2023020795号-1
ghs 京公网安备 11010802042870号
Book学术文献互助
Book学术文献互助群
群 号:604180095
Book学术官方微信