How Does an Unplanned Pregnancy Affect Maternal Stress and Depression From Pregnancy to 12 Months Postpartum? A Longitudinal Study.

Q2 Medicine
Medical Journal of the Islamic Republic of Iran Pub Date : 2024-12-23 eCollection Date: 2024-01-01 DOI:10.47176/mjiri.38.150
Mahdi Khodadoust, Reyhane Mohamadi, Gholamreza Asadi-Karam, Zahra Mahmoodian, Zahra Ensafi, Maedeh Sarreshteh, Nouzar Nakhaee
{"title":"How Does an Unplanned Pregnancy Affect Maternal Stress and Depression From Pregnancy to 12 Months Postpartum? A Longitudinal Study.","authors":"Mahdi Khodadoust, Reyhane Mohamadi, Gholamreza Asadi-Karam, Zahra Mahmoodian, Zahra Ensafi, Maedeh Sarreshteh, Nouzar Nakhaee","doi":"10.47176/mjiri.38.150","DOIUrl":null,"url":null,"abstract":"<p><strong>Background: </strong>Research studies have shown an increased prevalence of mental health issues in women with unplanned pregnancies. However, many of these studies use cross-sectional methods. This particular study aimed to examine perceptions of stress and depression in women with unplanned pregnancies compared with those with planned pregnancies. The study tracked these perceptions, from the early stages of pregnancy to 12 months postpartum.</p><p><strong>Methods: </strong>In this quasi-experimental study, pregnant women attending health centers completed a baseline questionnaire around the fifth month of pregnancy. This survey gathered demographic information and inquired about pregnancy planning. Perceived stress and depression were assessed using the Perceived Stress Scale (PSS4) and the Patient Health Questionnaire (PHQ) 4 times up to 12 months postpartum. The relationship between pregnancy planning and PSS4 and PHQ2 scores was analyzed using generalized estimating equations (GEE).</p><p><strong>Results: </strong>A total of 302 women, with a mean age of 29.31 years and a standard deviation of 6, participated in the study. The findings revealed that women with unplanned pregnancies exhibited significantly higher levels of stress and depression throughout both the prenatal and postpartum periods, even after controlling for confounding variables. Additionally, the unplanned pregnancy group reported lower educational attainment, higher parity, older age, and less support from their marital and family networks.</p><p><strong>Conclusion: </strong>An unplanned pregnancy can significantly impact a mother's mental health, potentially lasting for months after giving birth. Women going through an unplanned pregnancy can greatly benefit from emotional support from their partners and family.</p>","PeriodicalId":18361,"journal":{"name":"Medical Journal of the Islamic Republic of Iran","volume":"38 ","pages":"150"},"PeriodicalIF":0.0000,"publicationDate":"2024-12-23","publicationTypes":"Journal Article","fieldsOfStudy":null,"isOpenAccess":false,"openAccessPdf":"https://www.ncbi.nlm.nih.gov/pmc/articles/PMC12138777/pdf/","citationCount":"0","resultStr":null,"platform":"Semanticscholar","paperid":null,"PeriodicalName":"Medical Journal of the Islamic Republic of Iran","FirstCategoryId":"1085","ListUrlMain":"https://doi.org/10.47176/mjiri.38.150","RegionNum":0,"RegionCategory":null,"ArticlePicture":[],"TitleCN":null,"AbstractTextCN":null,"PMCID":null,"EPubDate":"2024/1/1 0:00:00","PubModel":"eCollection","JCR":"Q2","JCRName":"Medicine","Score":null,"Total":0}
引用次数: 0

Abstract

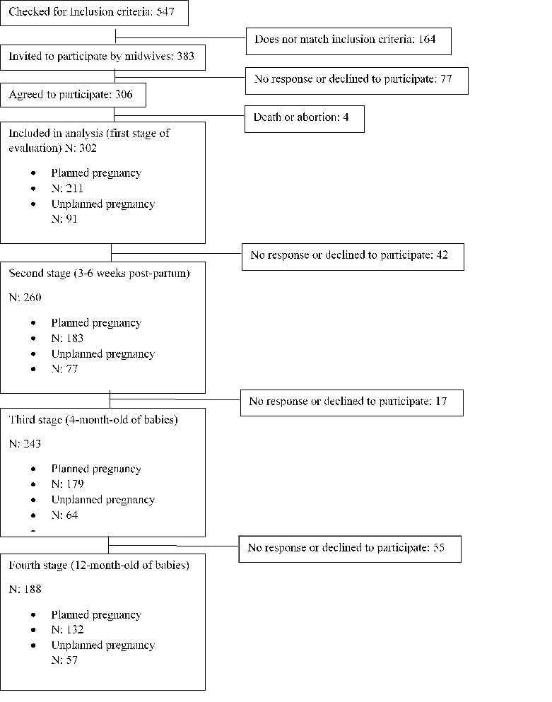
Background: Research studies have shown an increased prevalence of mental health issues in women with unplanned pregnancies. However, many of these studies use cross-sectional methods. This particular study aimed to examine perceptions of stress and depression in women with unplanned pregnancies compared with those with planned pregnancies. The study tracked these perceptions, from the early stages of pregnancy to 12 months postpartum.

Methods: In this quasi-experimental study, pregnant women attending health centers completed a baseline questionnaire around the fifth month of pregnancy. This survey gathered demographic information and inquired about pregnancy planning. Perceived stress and depression were assessed using the Perceived Stress Scale (PSS4) and the Patient Health Questionnaire (PHQ) 4 times up to 12 months postpartum. The relationship between pregnancy planning and PSS4 and PHQ2 scores was analyzed using generalized estimating equations (GEE).

Results: A total of 302 women, with a mean age of 29.31 years and a standard deviation of 6, participated in the study. The findings revealed that women with unplanned pregnancies exhibited significantly higher levels of stress and depression throughout both the prenatal and postpartum periods, even after controlling for confounding variables. Additionally, the unplanned pregnancy group reported lower educational attainment, higher parity, older age, and less support from their marital and family networks.

Conclusion: An unplanned pregnancy can significantly impact a mother's mental health, potentially lasting for months after giving birth. Women going through an unplanned pregnancy can greatly benefit from emotional support from their partners and family.

Abstract Image

Abstract Image

Abstract Image

意外怀孕如何影响怀孕至产后12个月的母亲压力和抑郁?一项纵向研究。
背景:研究表明,意外怀孕妇女的心理健康问题日益普遍。然而,许多这些研究使用的是横断面方法。这项特别的研究旨在比较意外怀孕妇女和计划怀孕妇女对压力和抑郁的感知。这项研究从怀孕初期一直追踪到产后12个月。方法:在这个准实验研究中,孕妇在怀孕第五个月左右到保健中心完成一份基线问卷。该调查收集了人口统计信息,并询问了怀孕计划。产后12个月,采用感知压力量表(PSS4)和患者健康问卷(PHQ)评估4次感知压力和抑郁。采用广义估计方程(GEE)分析妊娠计划与PSS4和PHQ2评分的关系。结果:共有302名女性参与研究,平均年龄29.31岁,标准差6。研究结果显示,即使在控制了混杂变量之后,计划外怀孕的女性在产前和产后都表现出明显更高的压力和抑郁水平。此外,意外怀孕组的受教育程度较低,胎次较高,年龄较大,婚姻和家庭网络的支持较少。结论:意外怀孕会严重影响母亲的心理健康,可能会在分娩后持续数月。经历意外怀孕的女性可以从伴侣和家人的情感支持中受益匪浅。
本文章由计算机程序翻译,如有差异,请以英文原文为准。
求助全文
约1分钟内获得全文 求助全文
来源期刊
CiteScore
2.40
自引率
0.00%
发文量
90
审稿时长
8 weeks
×
引用
GB/T 7714-2015
复制
MLA
复制
APA
复制
导出至
BibTeX EndNote RefMan NoteFirst NoteExpress
×
提示
您的信息不完整,为了账户安全,请先补充。
现在去补充
×
提示
您因"违规操作"
具体请查看互助需知
我知道了
×
提示
确定
请完成安全验证×
copy
已复制链接
快去分享给好友吧!
我知道了
右上角分享
点击右上角分享
0
联系我们:info@booksci.cn Book学术提供免费学术资源搜索服务,方便国内外学者检索中英文文献。致力于提供最便捷和优质的服务体验。 Copyright © 2023 布克学术 All rights reserved.
京ICP备2023020795号-1
ghs 京公网安备 11010802042870号
Book学术文献互助
Book学术文献互助群
群 号:604180095
Book学术官方微信