Fire Inside the Cavity of a Non-flammable Facade: Step-by-Step Development of Multiphysics Computer Simulations

IF 2.4 3区 工程技术 Q2 ENGINEERING, MULTIDISCIPLINARY
Benjamin Khoo, Wolfram Jahn, Matthew Bonner, Panagiotis Kotsovinos, Guillermo Rein
{"title":"Fire Inside the Cavity of a Non-flammable Facade: Step-by-Step Development of Multiphysics Computer Simulations","authors":"Benjamin Khoo,&nbsp;Wolfram Jahn,&nbsp;Matthew Bonner,&nbsp;Panagiotis Kotsovinos,&nbsp;Guillermo Rein","doi":"10.1007/s10694-024-01680-z","DOIUrl":null,"url":null,"abstract":"<div><p>The cavities in a building facade can significantly increase the fire hazard, acting as pathways and accelerators for the vertical spread of flames and smoke, even in non-combustible facades. Ensuring fire safety during facade design requires a thorough understanding of how cavity geometry influences fire dynamics. However, established theories for this phenomenon are lacking. Therefore, in this study, we use the computational fluid dynamics code FireFOAM to develop step-by-step multiphysics simulations incorporating fluid mechanics, heat transfer, buoyancy, and combustion phenomena to investigate the non-linear behaviour in narrow vertical cavities. Four scenarios of increasing complexity are modelled and validated against experimental data from the literature. The simulations predict flow velocities and convective heat fluxes within 20% error and buoyancy-driven flow, radiative heat flux, and flame height predictions within 30% error across a range of cavity widths. The study also highlights the limitations of the models, offering insights for future refinement. The results demonstrate that computer simulations can reliably be used to study critical phenomena of cavity fires and, with future improvements, predict fire behaviour across various facade designs and conditions.</p></div>","PeriodicalId":558,"journal":{"name":"Fire Technology","volume":"61 4","pages":"2235 - 2263"},"PeriodicalIF":2.4000,"publicationDate":"2024-12-24","publicationTypes":"Journal Article","fieldsOfStudy":null,"isOpenAccess":false,"openAccessPdf":"https://www.ncbi.nlm.nih.gov/pmc/articles/PMC12134032/pdf/","citationCount":"0","resultStr":null,"platform":"Semanticscholar","paperid":null,"PeriodicalName":"Fire Technology","FirstCategoryId":"5","ListUrlMain":"https://link.springer.com/article/10.1007/s10694-024-01680-z","RegionNum":3,"RegionCategory":"工程技术","ArticlePicture":[],"TitleCN":null,"AbstractTextCN":null,"PMCID":null,"EPubDate":"","PubModel":"","JCR":"Q2","JCRName":"ENGINEERING, MULTIDISCIPLINARY","Score":null,"Total":0}
引用次数: 0

Abstract

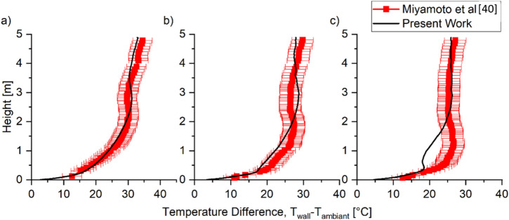
The cavities in a building facade can significantly increase the fire hazard, acting as pathways and accelerators for the vertical spread of flames and smoke, even in non-combustible facades. Ensuring fire safety during facade design requires a thorough understanding of how cavity geometry influences fire dynamics. However, established theories for this phenomenon are lacking. Therefore, in this study, we use the computational fluid dynamics code FireFOAM to develop step-by-step multiphysics simulations incorporating fluid mechanics, heat transfer, buoyancy, and combustion phenomena to investigate the non-linear behaviour in narrow vertical cavities. Four scenarios of increasing complexity are modelled and validated against experimental data from the literature. The simulations predict flow velocities and convective heat fluxes within 20% error and buoyancy-driven flow, radiative heat flux, and flame height predictions within 30% error across a range of cavity widths. The study also highlights the limitations of the models, offering insights for future refinement. The results demonstrate that computer simulations can reliably be used to study critical phenomena of cavity fires and, with future improvements, predict fire behaviour across various facade designs and conditions.

Abstract Image

Abstract Image

Abstract Image

不可燃立面空腔内的火灾:多物理场计算机模拟的逐步发展。
建筑立面上的空腔可以显著增加火灾危险,即使在不可燃的立面上,它们也可以作为火焰和烟雾垂直传播的通道和加速器。在立面设计中确保防火安全需要彻底了解腔体几何形状如何影响火灾动力学。然而,对于这一现象,缺乏成熟的理论。因此,在本研究中,我们使用计算流体力学代码FireFOAM来逐步开发多物理场模拟,包括流体力学、传热、浮力和燃烧现象,以研究狭窄垂直腔中的非线性行为。根据文献中的实验数据,对四个日益复杂的场景进行了建模和验证。在一定的空腔宽度范围内,模拟预测的流速和对流热通量误差在20%以内,浮力驱动的流动、辐射热通量和火焰高度预测误差在30%以内。该研究还强调了模型的局限性,为未来的改进提供了见解。结果表明,计算机模拟可以可靠地用于研究空腔火灾的关键现象,并且随着未来的改进,可以预测不同立面设计和条件下的火灾行为。补充信息:在线版本包含补充资料,可在10.1007/s10694-024-01680-z获得。
本文章由计算机程序翻译,如有差异,请以英文原文为准。
求助全文
约1分钟内获得全文 求助全文
来源期刊
Fire Technology
Fire Technology 工程技术-材料科学:综合
CiteScore
6.60
自引率
14.70%
发文量
137
审稿时长
7.5 months
期刊介绍: Fire Technology publishes original contributions, both theoretical and empirical, that contribute to the solution of problems in fire safety science and engineering. It is the leading journal in the field, publishing applied research dealing with the full range of actual and potential fire hazards facing humans and the environment. It covers the entire domain of fire safety science and engineering problems relevant in industrial, operational, cultural, and environmental applications, including modeling, testing, detection, suppression, human behavior, wildfires, structures, and risk analysis. The aim of Fire Technology is to push forward the frontiers of knowledge and technology by encouraging interdisciplinary communication of significant technical developments in fire protection and subjects of scientific interest to the fire protection community at large. It is published in conjunction with the National Fire Protection Association (NFPA) and the Society of Fire Protection Engineers (SFPE). The mission of NFPA is to help save lives and reduce loss with information, knowledge, and passion. The mission of SFPE is advancing the science and practice of fire protection engineering internationally.
×
引用
GB/T 7714-2015
复制
MLA
复制
APA
复制
导出至
BibTeX EndNote RefMan NoteFirst NoteExpress
×
提示
您的信息不完整,为了账户安全,请先补充。
现在去补充
×
提示
您因"违规操作"
具体请查看互助需知
我知道了
×
提示
确定
请完成安全验证×
copy
已复制链接
快去分享给好友吧!
我知道了
右上角分享
点击右上角分享
0
联系我们:info@booksci.cn Book学术提供免费学术资源搜索服务,方便国内外学者检索中英文文献。致力于提供最便捷和优质的服务体验。 Copyright © 2023 布克学术 All rights reserved.
京ICP备2023020795号-1
ghs 京公网安备 11010802042870号
Book学术文献互助
Book学术文献互助群
群 号:604180095
Book学术官方微信