Thyroid Carcinoma in a Japanese Black Cow Living in the Fukushima Daiichi Nuclear Power Plant Accident Contamination Area.

IF 2.2 4区 环境科学与生态学 Q3 ENVIRONMENTAL SCIENCES
Jun Sasaki, Itaru Sato, Keiji Okada, Yoshitaka Deguchi, Masahiro Natsuhori, Takahisa Murata, Hiroshi Satoh, Hiroyuki Chida, Nobuhiko Ito
{"title":"Thyroid Carcinoma in a Japanese Black Cow Living in the Fukushima Daiichi Nuclear Power Plant Accident Contamination Area.","authors":"Jun Sasaki, Itaru Sato, Keiji Okada, Yoshitaka Deguchi, Masahiro Natsuhori, Takahisa Murata, Hiroshi Satoh, Hiroyuki Chida, Nobuhiko Ito","doi":"10.1007/s00128-025-04065-2","DOIUrl":null,"url":null,"abstract":"<p><p>The thyroid glands of an 11-year-old castrated cow housed in a region contaminated by the Fukushima Daiichi Nuclear Power Plant accident were collected for histopathological examination. The estimated cumulative external exposure dose was 459 mSv. Macroscopically, the left lobe of the thyroid gland was firm and enlarged, and multilobular cystic structures could be observed on the cut surface. Histologically, the tumor cells were tall, cuboidal to columnar, and formed follicles of variable sizes and shapes. The fibrous capsule was unclear, and the neoplastic invasion of follicular tumor cells was obvious in the adjacent thyroid parenchyma. Immunohistochemically, the tumor cells were positive for thyroglobulin and thyroid transcription factor-1, and the MIB-1 index was 6.2%. Based on these findings, the neoplastic lesion was diagnosed as thyroid carcinoma. This is the first report of thyroid carcinoma in a cow exposed to radiation caused by the Fukushima Daiichi Nuclear Power Plant accident.</p>","PeriodicalId":501,"journal":{"name":"Bulletin of Environmental Contamination and Toxicology","volume":"114 6","pages":"89"},"PeriodicalIF":2.2000,"publicationDate":"2025-06-05","publicationTypes":"Journal Article","fieldsOfStudy":null,"isOpenAccess":false,"openAccessPdf":"https://www.ncbi.nlm.nih.gov/pmc/articles/PMC12141136/pdf/","citationCount":"0","resultStr":null,"platform":"Semanticscholar","paperid":null,"PeriodicalName":"Bulletin of Environmental Contamination and Toxicology","FirstCategoryId":"93","ListUrlMain":"https://doi.org/10.1007/s00128-025-04065-2","RegionNum":4,"RegionCategory":"环境科学与生态学","ArticlePicture":[],"TitleCN":null,"AbstractTextCN":null,"PMCID":null,"EPubDate":"","PubModel":"","JCR":"Q3","JCRName":"ENVIRONMENTAL SCIENCES","Score":null,"Total":0}
引用次数: 0

Abstract

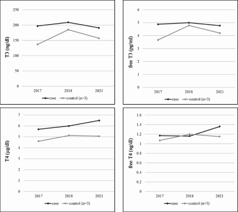
The thyroid glands of an 11-year-old castrated cow housed in a region contaminated by the Fukushima Daiichi Nuclear Power Plant accident were collected for histopathological examination. The estimated cumulative external exposure dose was 459 mSv. Macroscopically, the left lobe of the thyroid gland was firm and enlarged, and multilobular cystic structures could be observed on the cut surface. Histologically, the tumor cells were tall, cuboidal to columnar, and formed follicles of variable sizes and shapes. The fibrous capsule was unclear, and the neoplastic invasion of follicular tumor cells was obvious in the adjacent thyroid parenchyma. Immunohistochemically, the tumor cells were positive for thyroglobulin and thyroid transcription factor-1, and the MIB-1 index was 6.2%. Based on these findings, the neoplastic lesion was diagnosed as thyroid carcinoma. This is the first report of thyroid carcinoma in a cow exposed to radiation caused by the Fukushima Daiichi Nuclear Power Plant accident.

Abstract Image

Abstract Image

Abstract Image

生活在福岛第一核电站事故污染区的日本黑牛甲状腺癌。
收集了福岛第一核电站事故污染地区的一头11岁阉割奶牛的甲状腺进行组织病理学检查。估计的累积外部照射剂量为459毫西弗。镜下可见甲状腺左叶坚硬肿大,切面可见多小叶囊性结构。组织学上,肿瘤细胞高,呈立方体至柱状,形成大小和形状各异的卵泡。纤维包膜不清晰,邻近甲状腺实质可见滤泡性肿瘤细胞浸润。免疫组化结果显示,肿瘤细胞甲状腺球蛋白、甲状腺转录因子-1阳性,MIB-1指数为6.2%。基于这些发现,诊断为甲状腺癌。这是首次报道受福岛第一核电站事故辐射的奶牛患甲状腺癌。
本文章由计算机程序翻译,如有差异,请以英文原文为准。
求助全文
约1分钟内获得全文 求助全文
来源期刊
CiteScore
5.60
自引率
3.70%
发文量
230
审稿时长
1.7 months
期刊介绍: The Bulletin of Environmental Contamination and Toxicology(BECT) is a peer-reviewed journal that offers rapid review and publication. Accepted submissions will be presented as clear, concise reports of current research for a readership concerned with environmental contamination and toxicology. Scientific quality and clarity are paramount.
×
引用
GB/T 7714-2015
复制
MLA
复制
APA
复制
导出至
BibTeX EndNote RefMan NoteFirst NoteExpress
×
提示
您的信息不完整,为了账户安全,请先补充。
现在去补充
×
提示
您因"违规操作"
具体请查看互助需知
我知道了
×
提示
确定
请完成安全验证×
copy
已复制链接
快去分享给好友吧!
我知道了
右上角分享
点击右上角分享
0
联系我们:info@booksci.cn Book学术提供免费学术资源搜索服务,方便国内外学者检索中英文文献。致力于提供最便捷和优质的服务体验。 Copyright © 2023 布克学术 All rights reserved.
京ICP备2023020795号-1
ghs 京公网安备 11010802042870号
Book学术文献互助
Book学术文献互助群
群 号:604180095
Book学术官方微信