Indigenous knowledge for disaster mitigation and climate threats in Mentawai, Indonesia.

IF 1.7 Q2 SOCIAL SCIENCES, INTERDISCIPLINARY
Jamba-Journal of Disaster Risk Studies Pub Date : 2025-05-22 eCollection Date: 2025-01-01 DOI:10.4102/jamba.v17i1.1877
Yessy Markolinda, Sawirman Sawirman, Mery Ramadani, Fitri Yusya, Nadiyatul Husna, Fadilla Azmi, Rezi F Surya, Rd Aldifa Taufiqurrahman, Mira Lilia D Boru Panjaitan
{"title":"Indigenous knowledge for disaster mitigation and climate threats in Mentawai, Indonesia.","authors":"Yessy Markolinda, Sawirman Sawirman, Mery Ramadani, Fitri Yusya, Nadiyatul Husna, Fadilla Azmi, Rezi F Surya, Rd Aldifa Taufiqurrahman, Mira Lilia D Boru Panjaitan","doi":"10.4102/jamba.v17i1.1877","DOIUrl":null,"url":null,"abstract":"<p><p>Climate change and natural hazards such as floods, earthquakes and tsunamis pose a serious threat to coastal communities, including the Mentawai, West Sumatra, Indonesia. This research aims to explore and integrate the indigenous knowledge of Mentawai people in disaster mitigation and climate change adaptation. Using mixed methods research with a sequential explanatory model, quantitative data were collected from 106 respondents through a cross-sectional survey, while qualitative data were obtained through interviews with nine participants, including village officials, religious leaders and local residents. Results show that the majority of the community understands and practices indigenous knowledge such as reading natural signs, the traditional ritual <i>Tinapat</i> and the use of traditional <i>kentongan</i>. These practices help them prepare for and adapt to the impacts of earthquakes, tsunamis and coastal abrasion. However, the application of indigenous knowledge is still limited and is only done occasionally by most respondents. Climate change has a significant impact, such as increased coastal abrasion, decreased agricultural yields and changes in seasonal patterns, which affects people's livelihoods. In addition, religion plays an important role in raising environmental awareness through rituals, prayers and sermons. Government support to integrate indigenous knowledge into mitigation policies is still considered to need improvement. Community expectations include improving education, environmental awareness and the provision of supporting facilities and technology. This research concludes that the synergies between indigenous knowledge, cross-sector collaboration and culture-based policy support can increase community resilience to disasters and climate change in a sustainable manner.</p><p><strong>Contribution: </strong>This research contributes by enriching the literature on the integration of indigenous knowledge in disaster mitigation and climate change adaptation, especially in coastal indigenous communities. The results are expected to be a reference in the development of sustainable culture-based policies, as well as supporting the improvement of community resilience to environmental threats through synergies among local traditions, education and technological support.</p>","PeriodicalId":51823,"journal":{"name":"Jamba-Journal of Disaster Risk Studies","volume":"17 1","pages":"1877"},"PeriodicalIF":1.7000,"publicationDate":"2025-05-22","publicationTypes":"Journal Article","fieldsOfStudy":null,"isOpenAccess":false,"openAccessPdf":"https://www.ncbi.nlm.nih.gov/pmc/articles/PMC12135123/pdf/","citationCount":"0","resultStr":null,"platform":"Semanticscholar","paperid":null,"PeriodicalName":"Jamba-Journal of Disaster Risk Studies","FirstCategoryId":"1085","ListUrlMain":"https://doi.org/10.4102/jamba.v17i1.1877","RegionNum":0,"RegionCategory":null,"ArticlePicture":[],"TitleCN":null,"AbstractTextCN":null,"PMCID":null,"EPubDate":"2025/1/1 0:00:00","PubModel":"eCollection","JCR":"Q2","JCRName":"SOCIAL SCIENCES, INTERDISCIPLINARY","Score":null,"Total":0}
引用次数: 0

Abstract

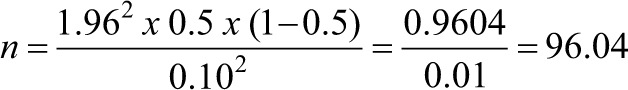
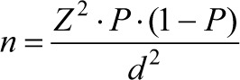
Climate change and natural hazards such as floods, earthquakes and tsunamis pose a serious threat to coastal communities, including the Mentawai, West Sumatra, Indonesia. This research aims to explore and integrate the indigenous knowledge of Mentawai people in disaster mitigation and climate change adaptation. Using mixed methods research with a sequential explanatory model, quantitative data were collected from 106 respondents through a cross-sectional survey, while qualitative data were obtained through interviews with nine participants, including village officials, religious leaders and local residents. Results show that the majority of the community understands and practices indigenous knowledge such as reading natural signs, the traditional ritual Tinapat and the use of traditional kentongan. These practices help them prepare for and adapt to the impacts of earthquakes, tsunamis and coastal abrasion. However, the application of indigenous knowledge is still limited and is only done occasionally by most respondents. Climate change has a significant impact, such as increased coastal abrasion, decreased agricultural yields and changes in seasonal patterns, which affects people's livelihoods. In addition, religion plays an important role in raising environmental awareness through rituals, prayers and sermons. Government support to integrate indigenous knowledge into mitigation policies is still considered to need improvement. Community expectations include improving education, environmental awareness and the provision of supporting facilities and technology. This research concludes that the synergies between indigenous knowledge, cross-sector collaboration and culture-based policy support can increase community resilience to disasters and climate change in a sustainable manner.

Contribution: This research contributes by enriching the literature on the integration of indigenous knowledge in disaster mitigation and climate change adaptation, especially in coastal indigenous communities. The results are expected to be a reference in the development of sustainable culture-based policies, as well as supporting the improvement of community resilience to environmental threats through synergies among local traditions, education and technological support.

Abstract Image

Abstract Image

印度尼西亚明打威的土著减灾知识和气候威胁。
气候变化和洪水、地震和海啸等自然灾害对包括印度尼西亚西苏门答腊岛明打威在内的沿海社区构成严重威胁。本研究旨在探索和整合明打威人民在减灾和适应气候变化方面的土著知识。采用顺序解释模型的混合方法研究,通过横断面调查收集106名调查对象的定量数据,通过对村官、宗教领袖和当地居民等9名参与者的访谈获得定性数据。结果表明,大多数社区理解并实践了土著知识,如阅读自然符号,传统仪式Tinapat和使用传统的kentongan。这些做法帮助他们准备和适应地震、海啸和海岸磨损的影响。然而,本地知识的应用仍然有限,大多数受访者只是偶尔这样做。气候变化具有重大影响,如海岸磨损加剧、农业产量下降和季节模式变化,从而影响人们的生计。此外,宗教通过仪式、祈祷和布道在提高环保意识方面发挥着重要作用。政府对将土著知识纳入缓解政策的支持仍被认为需要改进。社区的期望包括改善教育、提高环保意识和提供配套设施和技术。本研究的结论是,本土知识、跨部门合作和基于文化的政策支持之间的协同作用可以以可持续的方式提高社区对灾害和气候变化的抵御能力。贡献:本研究的贡献在于丰富了关于将土著知识纳入减灾和适应气候变化的文献,特别是在沿海土著社区。研究结果有望为制定可持续文化政策提供参考,并通过地方传统、教育和技术支持之间的协同作用,支持提高社区对环境威胁的抵御能力。
本文章由计算机程序翻译,如有差异,请以英文原文为准。
求助全文
约1分钟内获得全文 求助全文
来源期刊
Jamba-Journal of Disaster Risk Studies
Jamba-Journal of Disaster Risk Studies SOCIAL SCIENCES, INTERDISCIPLINARY-
CiteScore
2.60
自引率
7.10%
发文量
37
审稿时长
37 weeks
×
引用
GB/T 7714-2015
复制
MLA
复制
APA
复制
导出至
BibTeX EndNote RefMan NoteFirst NoteExpress
×
提示
您的信息不完整,为了账户安全,请先补充。
现在去补充
×
提示
您因"违规操作"
具体请查看互助需知
我知道了
×
提示
确定
请完成安全验证×
copy
已复制链接
快去分享给好友吧!
我知道了
右上角分享
点击右上角分享
0
联系我们:info@booksci.cn Book学术提供免费学术资源搜索服务,方便国内外学者检索中英文文献。致力于提供最便捷和优质的服务体验。 Copyright © 2023 布克学术 All rights reserved.
京ICP备2023020795号-1
ghs 京公网安备 11010802042870号
Book学术文献互助
Book学术文献互助群
群 号:604180095
Book学术官方微信