Longitudinal study on SARS-CoV-2 antibody responses in companion animals, Chile.

IF 5.2 2区 农林科学 Q1 VETERINARY SCIENCES
Veterinary Quarterly Pub Date : 2025-12-01 Epub Date: 2025-06-04 DOI:10.1080/01652176.2025.2509504
Belén Agüero, Nicole D Tischler, Raúl Alegria, Simone Cárdenas-Cáceres, Felipe Berríos, Patricio Espinoza, Nicolás A Muena, Nicolás Galarce, Galia Ramírez, Patricio Retamal, Víctor Neira
{"title":"Longitudinal study on SARS-CoV-2 antibody responses in companion animals, Chile.","authors":"Belén Agüero, Nicole D Tischler, Raúl Alegria, Simone Cárdenas-Cáceres, Felipe Berríos, Patricio Espinoza, Nicolás A Muena, Nicolás Galarce, Galia Ramírez, Patricio Retamal, Víctor Neira","doi":"10.1080/01652176.2025.2509504","DOIUrl":null,"url":null,"abstract":"<p><p>SARS-CoV-2 infection susceptibility in dogs and cats has been documented, with identified risk factors contributing to transmission dynamics. Understanding viral prevalence and the evolution of emerging variants across pandemic waves can clarify the potential role of pets as reservoirs. This study evaluated 3298 serum samples (1921 dogs, 1377 cats) collected from 2020 to 2024. Samples were analyzed using ELISA and viral neutralization assays, revealing a positivity rate of 2.7%. We assessed neutralizing antibody titers (nAbs) against the Wuhan-Hu-1 and Omicron BA.1 strains, finding higher titers in felines compared to canines. A marked reduction in samples exceeding the detection limit was observed after November 2022. Longitudinal data from up to 30 months in a dog and 15 months in two cats demonstrated sustained antibody responses, with increased nAb titers in 7 of 14 monitored animals. Multivariable logistic regression of 275 samples indicated that a pet's vaccination status was associated with an increased risk of infection, while spring season, the owner's number of COVID-19 vaccinations, and the owner's vaccination status were protective factors. These results emphasize the significance of vaccination strategies for both human and animal health, supporting the One Health approach.</p>","PeriodicalId":51207,"journal":{"name":"Veterinary Quarterly","volume":"45 1","pages":"1-12"},"PeriodicalIF":5.2000,"publicationDate":"2025-12-01","publicationTypes":"Journal Article","fieldsOfStudy":null,"isOpenAccess":false,"openAccessPdf":"https://www.ncbi.nlm.nih.gov/pmc/articles/PMC12138929/pdf/","citationCount":"0","resultStr":null,"platform":"Semanticscholar","paperid":null,"PeriodicalName":"Veterinary Quarterly","FirstCategoryId":"97","ListUrlMain":"https://doi.org/10.1080/01652176.2025.2509504","RegionNum":2,"RegionCategory":"农林科学","ArticlePicture":[],"TitleCN":null,"AbstractTextCN":null,"PMCID":null,"EPubDate":"2025/6/4 0:00:00","PubModel":"Epub","JCR":"Q1","JCRName":"VETERINARY SCIENCES","Score":null,"Total":0}
引用次数: 0

Abstract

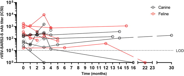
SARS-CoV-2 infection susceptibility in dogs and cats has been documented, with identified risk factors contributing to transmission dynamics. Understanding viral prevalence and the evolution of emerging variants across pandemic waves can clarify the potential role of pets as reservoirs. This study evaluated 3298 serum samples (1921 dogs, 1377 cats) collected from 2020 to 2024. Samples were analyzed using ELISA and viral neutralization assays, revealing a positivity rate of 2.7%. We assessed neutralizing antibody titers (nAbs) against the Wuhan-Hu-1 and Omicron BA.1 strains, finding higher titers in felines compared to canines. A marked reduction in samples exceeding the detection limit was observed after November 2022. Longitudinal data from up to 30 months in a dog and 15 months in two cats demonstrated sustained antibody responses, with increased nAb titers in 7 of 14 monitored animals. Multivariable logistic regression of 275 samples indicated that a pet's vaccination status was associated with an increased risk of infection, while spring season, the owner's number of COVID-19 vaccinations, and the owner's vaccination status were protective factors. These results emphasize the significance of vaccination strategies for both human and animal health, supporting the One Health approach.

Abstract Image

Abstract Image

智利伴侣动物SARS-CoV-2抗体反应的纵向研究
已经记录了狗和猫对SARS-CoV-2感染的易感性,并确定了导致传播动态的风险因素。了解病毒的流行和在大流行波中出现的变异的演变可以澄清宠物作为宿主的潜在作用。本研究评估了2020年至2024年收集的3298份血清样本(1921只狗,1377只猫)。采用酶联免疫吸附试验和病毒中和试验对样品进行分析,阳性率为2.7%。我们评估了针对武汉- hu -1和Omicron BA.1菌株的中和抗体滴度(nab),发现猫的滴度比狗高。在2022年11月之后,超过检出限的样品明显减少。一只狗长达30个月,两只猫长达15个月的纵向数据显示持续的抗体反应,14只监测动物中有7只nAb滴度增加。对275个样本进行多变量logistic回归分析发现,宠物的疫苗接种状况与感染风险增加有关,而春季季节、饲主的疫苗接种次数和饲主的疫苗接种状况是保护因素。这些结果强调了疫苗接种战略对人类和动物健康的重要性,支持了“同一个健康”方针。
本文章由计算机程序翻译,如有差异,请以英文原文为准。
求助全文
约1分钟内获得全文 求助全文
来源期刊
Veterinary Quarterly
Veterinary Quarterly VETERINARY SCIENCES-
CiteScore
13.10
自引率
1.60%
发文量
18
审稿时长
>24 weeks
期刊介绍: Veterinary Quarterly is an international open access journal which publishes high quality review articles and original research in the field of veterinary science and animal diseases. The journal publishes research on a range of different animal species and topics including: - Economically important species such as domesticated and non-domesticated farm animals, including avian and poultry diseases; - Companion animals (dogs, cats, horses, pocket pets and exotics); - Wildlife species; - Infectious diseases; - Diagnosis; - Treatment including pharmacology and vaccination
×
引用
GB/T 7714-2015
复制
MLA
复制
APA
复制
导出至
BibTeX EndNote RefMan NoteFirst NoteExpress
×
提示
您的信息不完整,为了账户安全,请先补充。
现在去补充
×
提示
您因"违规操作"
具体请查看互助需知
我知道了
×
提示
确定
请完成安全验证×
copy
已复制链接
快去分享给好友吧!
我知道了
右上角分享
点击右上角分享
0
联系我们:info@booksci.cn Book学术提供免费学术资源搜索服务,方便国内外学者检索中英文文献。致力于提供最便捷和优质的服务体验。 Copyright © 2023 布克学术 All rights reserved.
京ICP备2023020795号-1
ghs 京公网安备 11010802042870号
Book学术文献互助
Book学术文献互助群
群 号:604180095
Book学术官方微信