Exploring Kidney Injury Molecule-1 and HAVCR1 Polymorphisms as Predictive Biomarkers in Chronic Kidney Disease.

IF 3.1 4区 医学 Q1 UROLOGY & NEPHROLOGY
Kidney Diseases Pub Date : 2025-04-14 eCollection Date: 2025-01-01 DOI:10.1159/000545831
Nachayada Chaiyagot, Atit Silsirivanit, Ubon Cha'on, Apinya Jusakul, Anchalee Techasen, Kanokwan Nahok, Angkor Chamdam, Sirirat Anutrakulchai, Worachart Lert-Itthiporn
{"title":"Exploring Kidney Injury Molecule-1 and HAVCR1 Polymorphisms as Predictive Biomarkers in Chronic Kidney Disease.","authors":"Nachayada Chaiyagot, Atit Silsirivanit, Ubon Cha'on, Apinya Jusakul, Anchalee Techasen, Kanokwan Nahok, Angkor Chamdam, Sirirat Anutrakulchai, Worachart Lert-Itthiporn","doi":"10.1159/000545831","DOIUrl":null,"url":null,"abstract":"<p><strong>Introduction: </strong>Kidney injury molecule-1 (KIM-1), encoded by the Hepatitis A Virus Cellular Receptor 1 (<i>HAVCR1</i>) gene, plays a crucial role in kidney injury progression. Although serum and urinary KIM-1 levels are established biomarkers for kidney damage, the relationship between KIM-1 levels, <i>HAVCR1</i> gene polymorphism, and chronic kidney disease (CKD) stages remains unclear. This study aimed to investigate KIM-1 as a potential biomarker for CKD progression in the Thai population and explore its association with genetic polymorphisms in the <i>HAVCR1</i> gene.</p><p><strong>Methods: </strong>A total of 250 patients with CKD were recruited from Khon Kaen, Thailand. Serum and urinary KIM-1 levels were measured using an indirect enzyme-linked immunosorbent assay. Single-nucleotide polymorphism (SNP) genotyping was conducted using the TaqMan assay to assess the associations between KIM-1 levels, SNPs, and CKD progression. Statistical analyses were conducted to assess the correlations between estimated glomerular filtration rate (eGFR), KIM-1 levels, and SNPs.</p><p><strong>Results: </strong>Serum and urinary KIM-1 levels showed a significant negative correlation with eGFR, indicating higher KIM-1 levels in patients with more advanced CKD. However, the rs6555820 SNP in the <i>HAVCR1</i> gene did not show a significant association with KIM-1 levels or eGFR. Interestingly, a significant association between rs6555820 and gender was observed, implying a potential gender-dependent genetic impact.</p><p><strong>Conclusion: </strong>Serum and urinary KIM-1 levels have been found to be associated with CKD stages and eGFR, suggesting their potential as biomarkers for assessing CKD severity. However, no direct associations were observed between the SNP rs6555820 and KIM-1 levels or eGFR. Further research is required to elucidate the genetic mechanisms underlying CKD progression.</p>","PeriodicalId":17830,"journal":{"name":"Kidney Diseases","volume":"11 1","pages":"342-355"},"PeriodicalIF":3.1000,"publicationDate":"2025-04-14","publicationTypes":"Journal Article","fieldsOfStudy":null,"isOpenAccess":false,"openAccessPdf":"https://www.ncbi.nlm.nih.gov/pmc/articles/PMC12136559/pdf/","citationCount":"0","resultStr":null,"platform":"Semanticscholar","paperid":null,"PeriodicalName":"Kidney Diseases","FirstCategoryId":"3","ListUrlMain":"https://doi.org/10.1159/000545831","RegionNum":4,"RegionCategory":"医学","ArticlePicture":[],"TitleCN":null,"AbstractTextCN":null,"PMCID":null,"EPubDate":"2025/1/1 0:00:00","PubModel":"eCollection","JCR":"Q1","JCRName":"UROLOGY & NEPHROLOGY","Score":null,"Total":0}
引用次数: 0

Abstract

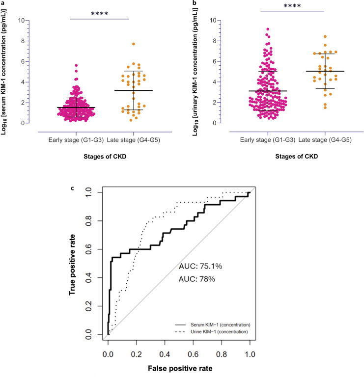
Introduction: Kidney injury molecule-1 (KIM-1), encoded by the Hepatitis A Virus Cellular Receptor 1 (HAVCR1) gene, plays a crucial role in kidney injury progression. Although serum and urinary KIM-1 levels are established biomarkers for kidney damage, the relationship between KIM-1 levels, HAVCR1 gene polymorphism, and chronic kidney disease (CKD) stages remains unclear. This study aimed to investigate KIM-1 as a potential biomarker for CKD progression in the Thai population and explore its association with genetic polymorphisms in the HAVCR1 gene.

Methods: A total of 250 patients with CKD were recruited from Khon Kaen, Thailand. Serum and urinary KIM-1 levels were measured using an indirect enzyme-linked immunosorbent assay. Single-nucleotide polymorphism (SNP) genotyping was conducted using the TaqMan assay to assess the associations between KIM-1 levels, SNPs, and CKD progression. Statistical analyses were conducted to assess the correlations between estimated glomerular filtration rate (eGFR), KIM-1 levels, and SNPs.

Results: Serum and urinary KIM-1 levels showed a significant negative correlation with eGFR, indicating higher KIM-1 levels in patients with more advanced CKD. However, the rs6555820 SNP in the HAVCR1 gene did not show a significant association with KIM-1 levels or eGFR. Interestingly, a significant association between rs6555820 and gender was observed, implying a potential gender-dependent genetic impact.

Conclusion: Serum and urinary KIM-1 levels have been found to be associated with CKD stages and eGFR, suggesting their potential as biomarkers for assessing CKD severity. However, no direct associations were observed between the SNP rs6555820 and KIM-1 levels or eGFR. Further research is required to elucidate the genetic mechanisms underlying CKD progression.

Abstract Image

Abstract Image

Abstract Image

探索肾损伤分子-1和HAVCR1多态性作为慢性肾脏疾病的预测性生物标志物
由甲型肝炎病毒细胞受体1 (HAVCR1)基因编码的肾损伤分子-1 (KIM-1)在肾损伤的进展中起着至关重要的作用。虽然血清和尿中KIM-1水平是肾脏损伤的生物标志物,但KIM-1水平、HAVCR1基因多态性与慢性肾脏疾病(CKD)分期之间的关系尚不清楚。本研究旨在研究KIM-1作为泰国人群CKD进展的潜在生物标志物,并探索其与HAVCR1基因遗传多态性的关系。方法:从泰国Khon Kaen招募了250例CKD患者。采用间接酶联免疫吸附法测定血清和尿KIM-1水平。采用TaqMan法进行单核苷酸多态性(SNP)基因分型,以评估KIM-1水平、SNP和CKD进展之间的关系。统计分析评估肾小球滤过率(eGFR)、KIM-1水平和snp之间的相关性。结果:血清和尿中KIM-1水平与eGFR呈显著负相关,表明越晚期CKD患者KIM-1水平越高。然而,HAVCR1基因中的rs6555820 SNP并未显示出与KIM-1水平或eGFR的显著相关性。有趣的是,rs6555820与性别之间存在显著关联,这意味着可能存在性别依赖的遗传影响。结论:血清和尿液KIM-1水平已被发现与CKD分期和eGFR相关,提示其作为评估CKD严重程度的生物标志物的潜力。然而,没有观察到SNP rs6555820与KIM-1水平或eGFR之间的直接关联。需要进一步的研究来阐明CKD进展的遗传机制。
本文章由计算机程序翻译,如有差异,请以英文原文为准。
求助全文
约1分钟内获得全文 求助全文
来源期刊
Kidney Diseases
Kidney Diseases UROLOGY & NEPHROLOGY-
CiteScore
6.00
自引率
2.70%
发文量
33
审稿时长
27 weeks
期刊介绍: ''Kidney Diseases'' aims to provide a platform for Asian and Western research to further and support communication and exchange of knowledge. Review articles cover the most recent clinical and basic science relevant to the entire field of nephrological disorders, including glomerular diseases, acute and chronic kidney injury, tubulo-interstitial disease, hypertension and metabolism-related disorders, end-stage renal disease, and genetic kidney disease. Special articles are prepared by two authors, one from East and one from West, which compare genetics, epidemiology, diagnosis methods, and treatment options of a disease.
×
引用
GB/T 7714-2015
复制
MLA
复制
APA
复制
导出至
BibTeX EndNote RefMan NoteFirst NoteExpress
×
提示
您的信息不完整,为了账户安全,请先补充。
现在去补充
×
提示
您因"违规操作"
具体请查看互助需知
我知道了
×
提示
确定
请完成安全验证×
copy
已复制链接
快去分享给好友吧!
我知道了
右上角分享
点击右上角分享
0
联系我们:info@booksci.cn Book学术提供免费学术资源搜索服务,方便国内外学者检索中英文文献。致力于提供最便捷和优质的服务体验。 Copyright © 2023 布克学术 All rights reserved.
京ICP备2023020795号-1
ghs 京公网安备 11010802042870号
Book学术文献互助
Book学术文献互助群
群 号:604180095
Book学术官方微信