Prognostic value of the pre-treatment SUVmax of 18F-FDG PET/CT combined with peripheral absolute lymphocyte in patients with newly diagnosed extranodal natural killer/T-cell lymphoma.

IF 3.5 2区 医学 Q2 ONCOLOGY
Xingmei Lu, Kate Huang, Peng Li, Yida Li, Xiuhuan Ji, Suidan Chen, Jianmin Li
{"title":"Prognostic value of the pre-treatment SUVmax of <sup>18</sup>F-FDG PET/CT combined with peripheral absolute lymphocyte in patients with newly diagnosed extranodal natural killer/T-cell lymphoma.","authors":"Xingmei Lu, Kate Huang, Peng Li, Yida Li, Xiuhuan Ji, Suidan Chen, Jianmin Li","doi":"10.1186/s40644-025-00882-0","DOIUrl":null,"url":null,"abstract":"<p><strong>Background: </strong>Accurate assessment and prediction of patient prognosis, early identification of high-risk patients, and improvement of clinical outcomes for individuals with extranodal natural killer/T-cell lymphoma (ENKTCL) are critical. This study evaluates the prognostic value of a novel model combining maximum standardized uptake value (SUVmax) and absolute lymphocyte count (ALC) in ENKTCL patients.</p><p><strong>Methods: </strong>We conducted a retrospective analysis of clinical data from 57 patients diagnosed with primary ENKTCL. Optimal cut-off values for SUVmax and ALC were determined using receiver operating characteristic (ROC) curves. Clinical characteristics were analyzed by Chi-squared tests or Fisher's exact tests. Survival analysis was performed using the Kaplan-Meier method and log-rank test, while independent prognostic factors were identified through Cox regression analysis.</p><p><strong>Results: </strong>The optimal cut-off values for SUVmax and ALC were established at 11.8 and 0.87 × 10<sup>9</sup>/L, respectively. Univariate and multivariate analyses confirmed that both SUVmax and ALC were independent predictors of prognosis in ENKTCL patients. According to the combined SUVmax-ALC model, the patients were stratified into low-risk, intermediate-risk and high-risk groups. Kaplan-Meier analysis revealed significant differences in overall survival (OS) and progression-free survival (PFS) among these groups (p < 0.001). ROC curve analysis showed that the area under the curve (AUC) for the SUVmax-ALC model was 0.714, superior to individual tests (SUVmax, AUC = 0.674; ALC, AUC = 0.589). In addition, the AUC of the SUVmax-ALC model was higher than the International Prognostic Index (IPI, AUC = 0.632), nomogram-revised risk index (NRI, AUC = 0.566), and prognostic index of natural killer T-cell lymphoma (PINK, AUC = 0.592). Furthermore, the SUVmax-ALC model more effectively identified high-risk patients within low-risk IPI, PINK, or NRI groups, providing additional prognostic information. These findings indicate that the combination of SUVmax and ALC offers enhanced predictive accuracy for ENKTCL prognosis.</p><p><strong>Conclusion: </strong>Pre-treatment SUVmax and ALC can serve as valuable indicators for predicting the prognosis of ENKTCL patients. Compared to IPI, NRI, and PINK scores, the SUVmax-ALC model demonstrates superior performance in risk stratification, suggesting its potential as an effective personalized prognostic tool for ENKTCL patients.</p>","PeriodicalId":9548,"journal":{"name":"Cancer Imaging","volume":"25 1","pages":"67"},"PeriodicalIF":3.5000,"publicationDate":"2025-06-04","publicationTypes":"Journal Article","fieldsOfStudy":null,"isOpenAccess":false,"openAccessPdf":"https://www.ncbi.nlm.nih.gov/pmc/articles/PMC12139384/pdf/","citationCount":"0","resultStr":null,"platform":"Semanticscholar","paperid":null,"PeriodicalName":"Cancer Imaging","FirstCategoryId":"3","ListUrlMain":"https://doi.org/10.1186/s40644-025-00882-0","RegionNum":2,"RegionCategory":"医学","ArticlePicture":[],"TitleCN":null,"AbstractTextCN":null,"PMCID":null,"EPubDate":"","PubModel":"","JCR":"Q2","JCRName":"ONCOLOGY","Score":null,"Total":0}
引用次数: 0

Abstract

Background: Accurate assessment and prediction of patient prognosis, early identification of high-risk patients, and improvement of clinical outcomes for individuals with extranodal natural killer/T-cell lymphoma (ENKTCL) are critical. This study evaluates the prognostic value of a novel model combining maximum standardized uptake value (SUVmax) and absolute lymphocyte count (ALC) in ENKTCL patients.

Methods: We conducted a retrospective analysis of clinical data from 57 patients diagnosed with primary ENKTCL. Optimal cut-off values for SUVmax and ALC were determined using receiver operating characteristic (ROC) curves. Clinical characteristics were analyzed by Chi-squared tests or Fisher's exact tests. Survival analysis was performed using the Kaplan-Meier method and log-rank test, while independent prognostic factors were identified through Cox regression analysis.

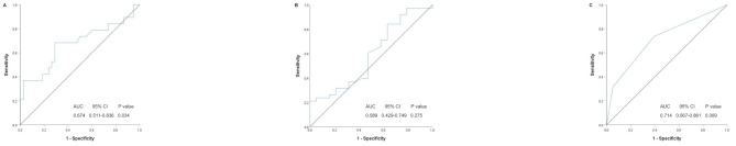
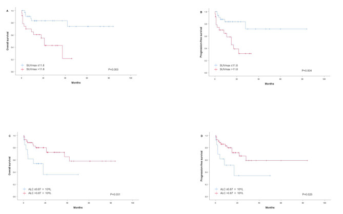
Results: The optimal cut-off values for SUVmax and ALC were established at 11.8 and 0.87 × 109/L, respectively. Univariate and multivariate analyses confirmed that both SUVmax and ALC were independent predictors of prognosis in ENKTCL patients. According to the combined SUVmax-ALC model, the patients were stratified into low-risk, intermediate-risk and high-risk groups. Kaplan-Meier analysis revealed significant differences in overall survival (OS) and progression-free survival (PFS) among these groups (p < 0.001). ROC curve analysis showed that the area under the curve (AUC) for the SUVmax-ALC model was 0.714, superior to individual tests (SUVmax, AUC = 0.674; ALC, AUC = 0.589). In addition, the AUC of the SUVmax-ALC model was higher than the International Prognostic Index (IPI, AUC = 0.632), nomogram-revised risk index (NRI, AUC = 0.566), and prognostic index of natural killer T-cell lymphoma (PINK, AUC = 0.592). Furthermore, the SUVmax-ALC model more effectively identified high-risk patients within low-risk IPI, PINK, or NRI groups, providing additional prognostic information. These findings indicate that the combination of SUVmax and ALC offers enhanced predictive accuracy for ENKTCL prognosis.

Conclusion: Pre-treatment SUVmax and ALC can serve as valuable indicators for predicting the prognosis of ENKTCL patients. Compared to IPI, NRI, and PINK scores, the SUVmax-ALC model demonstrates superior performance in risk stratification, suggesting its potential as an effective personalized prognostic tool for ENKTCL patients.

Abstract Image

Abstract Image

Abstract Image

18F-FDG PET/CT治疗前SUVmax联合外周血绝对淋巴细胞对新诊断结外自然杀伤/ t细胞淋巴瘤患者的预后价值
背景:准确评估和预测患者预后,早期识别高危患者,改善结外自然杀伤/ t细胞淋巴瘤(ENKTCL)患者的临床预后至关重要。本研究评估了一种结合最大标准化摄取值(SUVmax)和绝对淋巴细胞计数(ALC)的新模型在ENKTCL患者中的预后价值。方法:回顾性分析57例原发性ENKTCL患者的临床资料。采用受试者工作特征(ROC)曲线确定SUVmax和ALC的最佳临界值。临床特征分析采用卡方检验或Fisher精确检验。生存分析采用Kaplan-Meier法和log-rank检验,独立预后因素采用Cox回归分析。结果:SUVmax和ALC的最佳临界值分别为11.8和0.87 × 109/L。单因素和多因素分析证实,SUVmax和ALC是ENKTCL患者预后的独立预测因子。根据SUVmax-ALC联合模型将患者分为低危、中危、高危组。Kaplan-Meier分析显示,两组患者的总生存期(OS)和无进展生存期(PFS)差异有统计学意义(p)。结论:治疗前SUVmax和ALC可作为预测ENKTCL患者预后的重要指标。与IPI、NRI和PINK评分相比,SUVmax-ALC模型在风险分层方面表现优异,表明其有潜力成为ENKTCL患者有效的个性化预后工具。
本文章由计算机程序翻译,如有差异,请以英文原文为准。
求助全文
约1分钟内获得全文 求助全文
来源期刊
Cancer Imaging
Cancer Imaging ONCOLOGY-RADIOLOGY, NUCLEAR MEDICINE & MEDICAL IMAGING
CiteScore
7.00
自引率
0.00%
发文量
66
审稿时长
>12 weeks
期刊介绍: Cancer Imaging is an open access, peer-reviewed journal publishing original articles, reviews and editorials written by expert international radiologists working in oncology. The journal encompasses CT, MR, PET, ultrasound, radionuclide and multimodal imaging in all kinds of malignant tumours, plus new developments, techniques and innovations. Topics of interest include: Breast Imaging Chest Complications of treatment Ear, Nose & Throat Gastrointestinal Hepatobiliary & Pancreatic Imaging biomarkers Interventional Lymphoma Measurement of tumour response Molecular functional imaging Musculoskeletal Neuro oncology Nuclear Medicine Paediatric.
×
引用
GB/T 7714-2015
复制
MLA
复制
APA
复制
导出至
BibTeX EndNote RefMan NoteFirst NoteExpress
×
提示
您的信息不完整,为了账户安全,请先补充。
现在去补充
×
提示
您因"违规操作"
具体请查看互助需知
我知道了
×
提示
确定
请完成安全验证×
copy
已复制链接
快去分享给好友吧!
我知道了
右上角分享
点击右上角分享
0
联系我们:info@booksci.cn Book学术提供免费学术资源搜索服务,方便国内外学者检索中英文文献。致力于提供最便捷和优质的服务体验。 Copyright © 2023 布克学术 All rights reserved.
京ICP备2023020795号-1
ghs 京公网安备 11010802042870号
Book学术文献互助
Book学术文献互助群
群 号:604180095
Book学术官方微信