Functional brain network correlates of cardiorespiratory fitness and moderation by depression symptoms.

IF 2.9 3区 医学 Q1 ANATOMY & MORPHOLOGY
Lauren R Borrell, Andrew C Venezia, J Carson Smith
{"title":"Functional brain network correlates of cardiorespiratory fitness and moderation by depression symptoms.","authors":"Lauren R Borrell, Andrew C Venezia, J Carson Smith","doi":"10.1007/s00429-025-02952-2","DOIUrl":null,"url":null,"abstract":"<p><p>Cardiorespiratory fitness may protect against or alleviate depression through neuroplastic mechanisms within disrupted brain networks underlying cognitive and affective symptoms. There is a scarcity of research examining the effects of cardiorespiratory fitness on functional brain networks in representative samples spanning adulthood. Further, little is known about the interaction of cardiorespiratory fitness with depression in these networks. To address this problem, this study made use of the NKI-Rockland sample dataset and magnetic resonance imaging to examine whether functional brain network features associated with cardiorespiratory fitness were moderated by depression symptom severity in a community sample of 217 participants (134 females, 83 males) between the ages of 18 and 71 (M = 43.8 years, SD = 16.2). Cardiorespiratory fitness was positively associated with whole-brain modularity, between-network connectivity of the central executive and salience networks, and within-network connectivity of the default mode, central executive, and salience networks. The association of cardiorespiratory fitness and default mode network connectivity was stronger in the presence of moderate-to-severe depression symptoms. Taken together, these observations lend support to prior work that has demonstrated the associations of cardiorespiratory fitness with reduced concurrent and prospective depression risk and symptom severity. Depression symptoms moderated default mode network connectivity, suggesting that cardiorespiratory fitness may differentially impact neural substrates for those with moderate-to-severe depression symptoms.</p>","PeriodicalId":9145,"journal":{"name":"Brain Structure & Function","volume":"230 6","pages":"85"},"PeriodicalIF":2.9000,"publicationDate":"2025-06-05","publicationTypes":"Journal Article","fieldsOfStudy":null,"isOpenAccess":false,"openAccessPdf":"https://www.ncbi.nlm.nih.gov/pmc/articles/PMC12141363/pdf/","citationCount":"0","resultStr":null,"platform":"Semanticscholar","paperid":null,"PeriodicalName":"Brain Structure & Function","FirstCategoryId":"3","ListUrlMain":"https://doi.org/10.1007/s00429-025-02952-2","RegionNum":3,"RegionCategory":"医学","ArticlePicture":[],"TitleCN":null,"AbstractTextCN":null,"PMCID":null,"EPubDate":"","PubModel":"","JCR":"Q1","JCRName":"ANATOMY & MORPHOLOGY","Score":null,"Total":0}
引用次数: 0

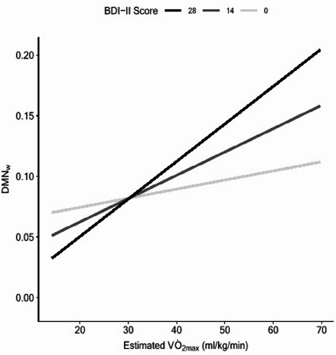
Abstract

Cardiorespiratory fitness may protect against or alleviate depression through neuroplastic mechanisms within disrupted brain networks underlying cognitive and affective symptoms. There is a scarcity of research examining the effects of cardiorespiratory fitness on functional brain networks in representative samples spanning adulthood. Further, little is known about the interaction of cardiorespiratory fitness with depression in these networks. To address this problem, this study made use of the NKI-Rockland sample dataset and magnetic resonance imaging to examine whether functional brain network features associated with cardiorespiratory fitness were moderated by depression symptom severity in a community sample of 217 participants (134 females, 83 males) between the ages of 18 and 71 (M = 43.8 years, SD = 16.2). Cardiorespiratory fitness was positively associated with whole-brain modularity, between-network connectivity of the central executive and salience networks, and within-network connectivity of the default mode, central executive, and salience networks. The association of cardiorespiratory fitness and default mode network connectivity was stronger in the presence of moderate-to-severe depression symptoms. Taken together, these observations lend support to prior work that has demonstrated the associations of cardiorespiratory fitness with reduced concurrent and prospective depression risk and symptom severity. Depression symptoms moderated default mode network connectivity, suggesting that cardiorespiratory fitness may differentially impact neural substrates for those with moderate-to-severe depression symptoms.

Abstract Image

Abstract Image

Abstract Image

功能脑网络与心肺健康和抑郁症状的调节相关。
心肺健康可以通过认知和情感症状下被破坏的大脑网络中的神经可塑性机制来预防或减轻抑郁症。在成年期的代表性样本中,研究心肺健康对功能性脑网络的影响的研究很少。此外,在这些网络中,人们对心肺健康与抑郁的相互作用知之甚少。为了解决这一问题,本研究利用NKI-Rockland样本数据集和磁共振成像来检查与心肺健康相关的功能性脑网络特征是否受到抑郁症状严重程度的调节,该社区样本包括217名18至71岁(M = 43.8岁,SD = 16.2)的参与者(134名女性,83名男性)。心肺健康与全脑模块化、中央执行和突出网络的网络间连通性以及默认模式、中央执行和突出网络的网络内连通性呈正相关。在出现中度至重度抑郁症状时,心肺适能和默认模式网络连通性的关联更强。综上所述,这些观察结果支持了先前的研究,即心肺健康与降低并发和预期抑郁风险和症状严重程度之间存在关联。抑郁症状调节默认模式网络连接,表明心肺健康可能对中重度抑郁症状患者的神经基质有不同的影响。
本文章由计算机程序翻译,如有差异,请以英文原文为准。
求助全文
约1分钟内获得全文 求助全文
来源期刊
Brain Structure & Function
Brain Structure & Function 医学-解剖学与形态学
CiteScore
6.00
自引率
6.50%
发文量
168
审稿时长
8 months
期刊介绍: Brain Structure & Function publishes research that provides insight into brain structure−function relationships. Studies published here integrate data spanning from molecular, cellular, developmental, and systems architecture to the neuroanatomy of behavior and cognitive functions. Manuscripts with focus on the spinal cord or the peripheral nervous system are not accepted for publication. Manuscripts with focus on diseases, animal models of diseases, or disease-related mechanisms are only considered for publication, if the findings provide novel insight into the organization and mechanisms of normal brain structure and function.
×
引用
GB/T 7714-2015
复制
MLA
复制
APA
复制
导出至
BibTeX EndNote RefMan NoteFirst NoteExpress
×
提示
您的信息不完整,为了账户安全,请先补充。
现在去补充
×
提示
您因"违规操作"
具体请查看互助需知
我知道了
×
提示
确定
请完成安全验证×
copy
已复制链接
快去分享给好友吧!
我知道了
右上角分享
点击右上角分享
0
联系我们:info@booksci.cn Book学术提供免费学术资源搜索服务,方便国内外学者检索中英文文献。致力于提供最便捷和优质的服务体验。 Copyright © 2023 布克学术 All rights reserved.
京ICP备2023020795号-1
ghs 京公网安备 11010802042870号
Book学术文献互助
Book学术文献互助群
群 号:604180095
Book学术官方微信