Estimating epidemic dynamics with genomic and time series data.

IF 3.5 2区 综合性期刊 Q1 MULTIDISCIPLINARY SCIENCES
Journal of The Royal Society Interface Pub Date : 2025-06-01 Epub Date: 2025-06-04 DOI:10.1098/rsif.2024.0632
Alexander E Zarebski, Antoine Zwaans, Bernardo Gutierrez, Louis du Plessis, Oliver G Pybus
{"title":"Estimating epidemic dynamics with genomic and time series data.","authors":"Alexander E Zarebski, Antoine Zwaans, Bernardo Gutierrez, Louis du Plessis, Oliver G Pybus","doi":"10.1098/rsif.2024.0632","DOIUrl":null,"url":null,"abstract":"<p><p>Accurately estimating the prevalence and transmissibility of an infectious disease is an important task in genetic infectious disease epidemiology. However, generating accurate estimates of these quantities, that make use of both epidemic time series and pathogen genome sequence data, is a challenging problem. Phylogenetic birth-death processes are a popular choice for modelling the transmission of infectious diseases, but it is difficult to estimate the prevalence of infection with them. Here, we extended our approximate likelihood approach, which combines phylogenetic information from sampled pathogen genomes and epidemiological information from a time series of case counts, to estimate historical prevalence in addition to the effective reproduction number. We implement this new method in a BEAST2 package called Timtam. In a simulation study our approximation is seen to be well-calibrated and recovers the parameters of simulated data. To demonstrate how Timtam can be applied to real datasets, we carried out empirical analyses of data from two infectious disease outbreaks: the outbreak of SARS-CoV-2 onboard the <i>Diamond Princess</i> cruise ship in early 2020 and poliomyelitis in Tajikistan in 2010. In both cases we recover estimates consistent with previous analyses.</p>","PeriodicalId":17488,"journal":{"name":"Journal of The Royal Society Interface","volume":"22 227","pages":"20240632"},"PeriodicalIF":3.5000,"publicationDate":"2025-06-01","publicationTypes":"Journal Article","fieldsOfStudy":null,"isOpenAccess":false,"openAccessPdf":"https://www.ncbi.nlm.nih.gov/pmc/articles/PMC12134936/pdf/","citationCount":"0","resultStr":null,"platform":"Semanticscholar","paperid":null,"PeriodicalName":"Journal of The Royal Society Interface","FirstCategoryId":"103","ListUrlMain":"https://doi.org/10.1098/rsif.2024.0632","RegionNum":2,"RegionCategory":"综合性期刊","ArticlePicture":[],"TitleCN":null,"AbstractTextCN":null,"PMCID":null,"EPubDate":"2025/6/4 0:00:00","PubModel":"Epub","JCR":"Q1","JCRName":"MULTIDISCIPLINARY SCIENCES","Score":null,"Total":0}
引用次数: 0

Abstract

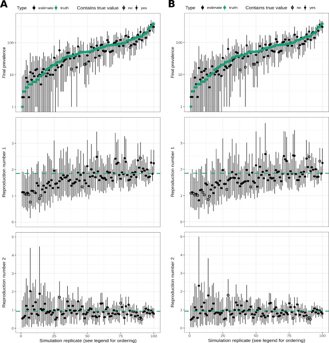
Accurately estimating the prevalence and transmissibility of an infectious disease is an important task in genetic infectious disease epidemiology. However, generating accurate estimates of these quantities, that make use of both epidemic time series and pathogen genome sequence data, is a challenging problem. Phylogenetic birth-death processes are a popular choice for modelling the transmission of infectious diseases, but it is difficult to estimate the prevalence of infection with them. Here, we extended our approximate likelihood approach, which combines phylogenetic information from sampled pathogen genomes and epidemiological information from a time series of case counts, to estimate historical prevalence in addition to the effective reproduction number. We implement this new method in a BEAST2 package called Timtam. In a simulation study our approximation is seen to be well-calibrated and recovers the parameters of simulated data. To demonstrate how Timtam can be applied to real datasets, we carried out empirical analyses of data from two infectious disease outbreaks: the outbreak of SARS-CoV-2 onboard the Diamond Princess cruise ship in early 2020 and poliomyelitis in Tajikistan in 2010. In both cases we recover estimates consistent with previous analyses.

Abstract Image

Abstract Image

Abstract Image

用基因组和时间序列数据估计流行病动态。
准确估计传染病的流行率和传播率是遗传传染病流行病学的一项重要任务。然而,利用流行病时间序列和病原体基因组序列数据对这些数量进行准确估计是一个具有挑战性的问题。系统发育的出生-死亡过程是传染病传播建模的普遍选择,但很难估计感染的流行程度。在这里,我们扩展了我们的近似似然方法,该方法结合了来自样本病原体基因组的系统发育信息和来自病例计数时间序列的流行病学信息,以估计除有效繁殖数外的历史患病率。我们在一个名为Timtam的BEAST2包中实现了这个新方法。在模拟研究中,我们的近似被视为校准良好,并恢复模拟数据的参数。为了演示Timtam如何应用于实际数据集,我们对两次传染病暴发的数据进行了实证分析:2020年初钻石公主号游轮上爆发的SARS-CoV-2和2010年塔吉克斯坦发生的脊髓灰质炎。在这两种情况下,我们都恢复了与先前分析一致的估计。
本文章由计算机程序翻译,如有差异,请以英文原文为准。
求助全文
约1分钟内获得全文 求助全文
来源期刊
Journal of The Royal Society Interface
Journal of The Royal Society Interface 综合性期刊-综合性期刊
CiteScore
7.10
自引率
2.60%
发文量
234
审稿时长
2.5 months
期刊介绍: J. R. Soc. Interface welcomes articles of high quality research at the interface of the physical and life sciences. It provides a high-quality forum to publish rapidly and interact across this boundary in two main ways: J. R. Soc. Interface publishes research applying chemistry, engineering, materials science, mathematics and physics to the biological and medical sciences; it also highlights discoveries in the life sciences of relevance to the physical sciences. Both sides of the interface are considered equally and it is one of the only journals to cover this exciting new territory. J. R. Soc. Interface welcomes contributions on a diverse range of topics, including but not limited to; biocomplexity, bioengineering, bioinformatics, biomaterials, biomechanics, bionanoscience, biophysics, chemical biology, computer science (as applied to the life sciences), medical physics, synthetic biology, systems biology, theoretical biology and tissue engineering.
×
引用
GB/T 7714-2015
复制
MLA
复制
APA
复制
导出至
BibTeX EndNote RefMan NoteFirst NoteExpress
×
提示
您的信息不完整,为了账户安全,请先补充。
现在去补充
×
提示
您因"违规操作"
具体请查看互助需知
我知道了
×
提示
确定
请完成安全验证×
copy
已复制链接
快去分享给好友吧!
我知道了
右上角分享
点击右上角分享
0
联系我们:info@booksci.cn Book学术提供免费学术资源搜索服务,方便国内外学者检索中英文文献。致力于提供最便捷和优质的服务体验。 Copyright © 2023 布克学术 All rights reserved.
京ICP备2023020795号-1
ghs 京公网安备 11010802042870号
Book学术文献互助
Book学术文献互助群
群 号:604180095
Book学术官方微信