Effects of Visual Occlusion on Lower Extremity Biomechanics during a Low-Intensity Single-Leg Landing.

IF 2.8 3区 医学 Q2 SPORT SCIENCES
Journal of Human Kinetics Pub Date : 2024-12-19 eCollection Date: 2025-04-01 DOI:10.5114/jhk/190681
Satoshi Imai, Kengo Harato, Yutaro Morishige, Takeo Nagura, Hideo Matsumoto, Kimitaka Hase
{"title":"Effects of Visual Occlusion on Lower Extremity Biomechanics during a Low-Intensity Single-Leg Landing.","authors":"Satoshi Imai, Kengo Harato, Yutaro Morishige, Takeo Nagura, Hideo Matsumoto, Kimitaka Hase","doi":"10.5114/jhk/190681","DOIUrl":null,"url":null,"abstract":"<p><p>Visual information is crucial for motor control during a jump-landing, allowing for anticipation of landing timing and prediction of the impact. However, the effects of visual occlusion on lower extremity biomechanics are not well understood. To investigate this, we studied the impact of visual occlusion on motor control during a low-intensity single-leg landing. Seventeen female college students participated in the controlled laboratory investigation. They performed low-intensity repetitive vertical hopping on a single leg under eyes-open (EO) and eyes-closed (EC) conditions. Main outcome measurements were taken, including jump height, ground reaction forces, joint angles, and joint moments, using a motion capture system. The significant effects of visual occlusion were as follows: 1) a decrease in the hip flexion angle at ground contact (p = 0.02), 2) an increase in Fx (medio-lateral ground reaction force), knee valgus, and internal rotation angles in the early phase within 80 ms after ground contact (p < 0.05), and 3) an increase in Fz (vertical ground reaction force) and a reduction in hip and knee flexion angles at peak Fz (p < 0.05). The amount of angular change at the ankle joint correlated with the hip and knee joints only under the EC condition (p < 0.05). These changes indicate modifications in landing strategy for safety and/or deficiencies in control for an efficient and accurate landing. In conclusion, visual information contributes to safe and accurate motor control during low-intensity landing movements.</p>","PeriodicalId":16055,"journal":{"name":"Journal of Human Kinetics","volume":"97 ","pages":"51-63"},"PeriodicalIF":2.8000,"publicationDate":"2024-12-19","publicationTypes":"Journal Article","fieldsOfStudy":null,"isOpenAccess":false,"openAccessPdf":"https://www.ncbi.nlm.nih.gov/pmc/articles/PMC12127923/pdf/","citationCount":"0","resultStr":null,"platform":"Semanticscholar","paperid":null,"PeriodicalName":"Journal of Human Kinetics","FirstCategoryId":"3","ListUrlMain":"https://doi.org/10.5114/jhk/190681","RegionNum":3,"RegionCategory":"医学","ArticlePicture":[],"TitleCN":null,"AbstractTextCN":null,"PMCID":null,"EPubDate":"2025/4/1 0:00:00","PubModel":"eCollection","JCR":"Q2","JCRName":"SPORT SCIENCES","Score":null,"Total":0}
引用次数: 0

Abstract

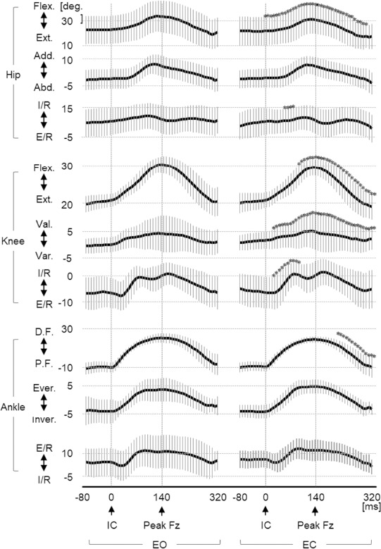
Visual information is crucial for motor control during a jump-landing, allowing for anticipation of landing timing and prediction of the impact. However, the effects of visual occlusion on lower extremity biomechanics are not well understood. To investigate this, we studied the impact of visual occlusion on motor control during a low-intensity single-leg landing. Seventeen female college students participated in the controlled laboratory investigation. They performed low-intensity repetitive vertical hopping on a single leg under eyes-open (EO) and eyes-closed (EC) conditions. Main outcome measurements were taken, including jump height, ground reaction forces, joint angles, and joint moments, using a motion capture system. The significant effects of visual occlusion were as follows: 1) a decrease in the hip flexion angle at ground contact (p = 0.02), 2) an increase in Fx (medio-lateral ground reaction force), knee valgus, and internal rotation angles in the early phase within 80 ms after ground contact (p < 0.05), and 3) an increase in Fz (vertical ground reaction force) and a reduction in hip and knee flexion angles at peak Fz (p < 0.05). The amount of angular change at the ankle joint correlated with the hip and knee joints only under the EC condition (p < 0.05). These changes indicate modifications in landing strategy for safety and/or deficiencies in control for an efficient and accurate landing. In conclusion, visual information contributes to safe and accurate motor control during low-intensity landing movements.

Abstract Image

Abstract Image

Abstract Image

低强度单腿着地时视觉遮挡对下肢生物力学的影响。
视觉信息对于起跳着陆期间的运动控制至关重要,它允许预期着陆时间和预测撞击。然而,视觉遮挡对下肢生物力学的影响尚不清楚。为了研究这一点,我们研究了低强度单腿着陆时视觉遮挡对运动控制的影响。17名女大学生参加了对照实验室调查。他们在睁开眼睛和闭上眼睛的情况下,用单腿进行低强度的重复垂直跳跃。使用运动捕捉系统进行主要结果测量,包括跳跃高度、地面反作用力、关节角度和关节力矩。视觉遮挡的显著影响表现为:1)接触地面时髋屈曲角减小(p = 0.02); 2)接触地面后80 ms内早期中外侧地反力Fx、膝外翻、内旋角增大(p < 0.05); 3)垂直地反力Fz增大,Fz峰值时髋、膝关节屈曲角减小(p < 0.05)。踝关节角度变化量仅在EC条件下与髋关节和膝关节相关(p < 0.05)。这些变化表明了安全着陆策略的改变和/或有效和准确着陆控制的不足。总之,视觉信息有助于在低强度着陆运动中安全准确的运动控制。
本文章由计算机程序翻译,如有差异,请以英文原文为准。
求助全文
约1分钟内获得全文 求助全文
来源期刊
Journal of Human Kinetics
Journal of Human Kinetics 医学-运动科学
CiteScore
4.80
自引率
0.00%
发文量
83
审稿时长
3 months
期刊介绍: The Journal of Human Kinetics is an open access interdisciplinary periodical offering the latest research in the science of human movement studies. This comprehensive professional journal features articles and research notes encompassing such topic areas as: Kinesiology, Exercise Physiology and Nutrition, Sports Training and Behavioural Sciences in Sport, but especially considering elite and competitive aspects of sport. The journal publishes original papers, invited reviews, short communications and letters to the Editors. Manuscripts submitted to the journal must contain novel data on theoretical or experimental research or on practical applications in the field of sport sciences. The Journal of Human Kinetics is published in March, June, September and December. We encourage scientists from around the world to submit their papers to our periodical.
×
引用
GB/T 7714-2015
复制
MLA
复制
APA
复制
导出至
BibTeX EndNote RefMan NoteFirst NoteExpress
×
提示
您的信息不完整,为了账户安全,请先补充。
现在去补充
×
提示
您因"违规操作"
具体请查看互助需知
我知道了
×
提示
确定
请完成安全验证×
copy
已复制链接
快去分享给好友吧!
我知道了
右上角分享
点击右上角分享
0
联系我们:info@booksci.cn Book学术提供免费学术资源搜索服务,方便国内外学者检索中英文文献。致力于提供最便捷和优质的服务体验。 Copyright © 2023 布克学术 All rights reserved.
京ICP备2023020795号-1
ghs 京公网安备 11010802042870号
Book学术文献互助
Book学术文献互助群
群 号:604180095
Book学术官方微信