Sensorimotor adaptation to sustained lower visual field occlusion during continuous locomotion with and without obstacle negotiation.

IF 1.6 4区 医学 Q4 NEUROSCIENCES
John G Buckley, Alan R De Asha, Brendan T Barrett, Adam Clansey, Kevin J Deluzio
{"title":"Sensorimotor adaptation to sustained lower visual field occlusion during continuous locomotion with and without obstacle negotiation.","authors":"John G Buckley, Alan R De Asha, Brendan T Barrett, Adam Clansey, Kevin J Deluzio","doi":"10.1007/s00221-025-07111-x","DOIUrl":null,"url":null,"abstract":"<p><p>The importance of having visual feedback of the lower-limb to locomotion control, has typically been examined by intermittently occluding the lower visual field (lvf) in repeated obstacle crossing trials. A consistent finding is that foot clearance increases following lvf occlusion. However, there is some evidence that the increase in clearance diminishes with further repetition. This calls into question the importance of lvf feedback in the control of locomotion. We present two studies investigating how foot clearance is affected as a result of sustained lvf occlusion during continuous locomotion over i) a level surface and ii) the same surface, but involving intermittent obstacle negotiation. In both studies, clearance increased following lvf occlusion but then diminished within a few minutes of continued walking: suggesting that the initial increase may have been an acute but transient response. After four minutes, clearance in level-walking had returned to pre-occlusion levels, whereas for obstacle crossing, clearance remained elevated and showed only a slight lessening over time. These findings provide support for the notion that lvf ex-proprioceptive information is not paramount in the control of the swinging limb/foot during overground gait, but it is customarily used in adaptive gait involving obstacle crossing in determining foot placement before the obstacle and hence clearance over it. We argue that lvf occlusion leads to a more general 'acute' perturbation of gait that is not necessarily related to the elimination of visual ex-proprioceptive feedback, and this has implications for the design of laboratory-based studies investigating the role of vision in locomotion.</p>","PeriodicalId":12268,"journal":{"name":"Experimental Brain Research","volume":"243 7","pages":"167"},"PeriodicalIF":1.6000,"publicationDate":"2025-06-04","publicationTypes":"Journal Article","fieldsOfStudy":null,"isOpenAccess":false,"openAccessPdf":"https://www.ncbi.nlm.nih.gov/pmc/articles/PMC12137439/pdf/","citationCount":"0","resultStr":null,"platform":"Semanticscholar","paperid":null,"PeriodicalName":"Experimental Brain Research","FirstCategoryId":"3","ListUrlMain":"https://doi.org/10.1007/s00221-025-07111-x","RegionNum":4,"RegionCategory":"医学","ArticlePicture":[],"TitleCN":null,"AbstractTextCN":null,"PMCID":null,"EPubDate":"","PubModel":"","JCR":"Q4","JCRName":"NEUROSCIENCES","Score":null,"Total":0}
引用次数: 0

Abstract

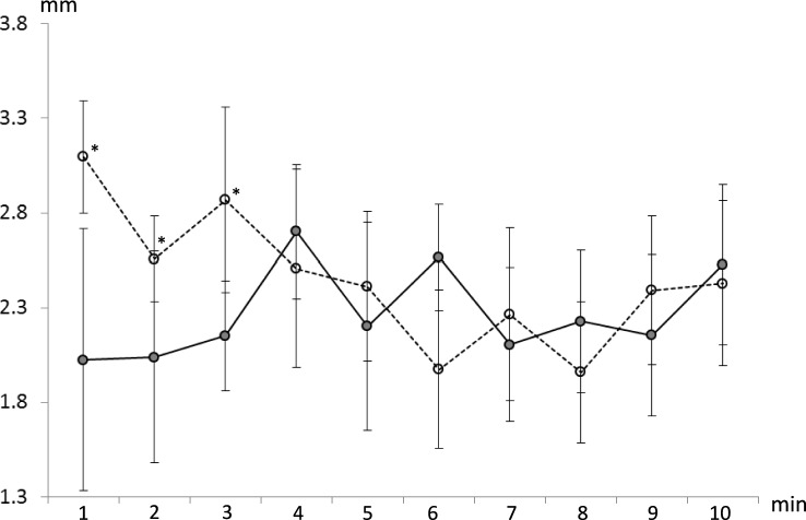
The importance of having visual feedback of the lower-limb to locomotion control, has typically been examined by intermittently occluding the lower visual field (lvf) in repeated obstacle crossing trials. A consistent finding is that foot clearance increases following lvf occlusion. However, there is some evidence that the increase in clearance diminishes with further repetition. This calls into question the importance of lvf feedback in the control of locomotion. We present two studies investigating how foot clearance is affected as a result of sustained lvf occlusion during continuous locomotion over i) a level surface and ii) the same surface, but involving intermittent obstacle negotiation. In both studies, clearance increased following lvf occlusion but then diminished within a few minutes of continued walking: suggesting that the initial increase may have been an acute but transient response. After four minutes, clearance in level-walking had returned to pre-occlusion levels, whereas for obstacle crossing, clearance remained elevated and showed only a slight lessening over time. These findings provide support for the notion that lvf ex-proprioceptive information is not paramount in the control of the swinging limb/foot during overground gait, but it is customarily used in adaptive gait involving obstacle crossing in determining foot placement before the obstacle and hence clearance over it. We argue that lvf occlusion leads to a more general 'acute' perturbation of gait that is not necessarily related to the elimination of visual ex-proprioceptive feedback, and this has implications for the design of laboratory-based studies investigating the role of vision in locomotion.

Abstract Image

Abstract Image

Abstract Image

在有或无障碍的连续运动中持续低视野遮挡的感觉运动适应。
下肢视觉反馈对运动控制的重要性,在重复的障碍穿越试验中,通常通过间歇性遮挡下视野(lvf)来检验。一个一致的发现是左心室闭塞后足部间隙增加。然而,有一些证据表明,清除的增加随着进一步重复而减少。这引起了对lvf反馈在运动控制中的重要性的质疑。我们提出了两项研究,调查了在i)水平表面和ii)同一表面上连续运动时,持续lvf遮挡如何影响足部间隙,但涉及间歇性障碍交涉。在两项研究中,lvf闭塞后清除率增加,但在继续行走几分钟后清除率下降:提示最初的增加可能是急性但短暂的反应。四分钟后,水平行走的清除率恢复到闭塞前的水平,而穿越障碍的清除率仍然很高,并且随着时间的推移只显示出轻微的降低。这些发现支持了lvf前本体感觉信息在地面步态中对肢体/足摆动的控制不是最重要的,但它通常用于适应性步态,包括在障碍物之前确定脚的位置,从而清除它。我们认为,lvf闭塞导致更普遍的“急性”步态扰动,这并不一定与视觉前本体感觉反馈的消除有关,这对基于实验室的研究设计具有启示意义,该研究旨在调查视觉在运动中的作用。
本文章由计算机程序翻译,如有差异,请以英文原文为准。
求助全文
约1分钟内获得全文 求助全文
来源期刊
CiteScore
3.60
自引率
5.00%
发文量
228
审稿时长
1 months
期刊介绍: Founded in 1966, Experimental Brain Research publishes original contributions on many aspects of experimental research of the central and peripheral nervous system. The focus is on molecular, physiology, behavior, neurochemistry, developmental, cellular and molecular neurobiology, and experimental pathology relevant to general problems of cerebral function. The journal publishes original papers, reviews, and mini-reviews.
×
引用
GB/T 7714-2015
复制
MLA
复制
APA
复制
导出至
BibTeX EndNote RefMan NoteFirst NoteExpress
×
提示
您的信息不完整,为了账户安全,请先补充。
现在去补充
×
提示
您因"违规操作"
具体请查看互助需知
我知道了
×
提示
确定
请完成安全验证×
copy
已复制链接
快去分享给好友吧!
我知道了
右上角分享
点击右上角分享
0
联系我们:info@booksci.cn Book学术提供免费学术资源搜索服务,方便国内外学者检索中英文文献。致力于提供最便捷和优质的服务体验。 Copyright © 2023 布克学术 All rights reserved.
京ICP备2023020795号-1
ghs 京公网安备 11010802042870号
Book学术文献互助
Book学术文献互助群
群 号:604180095
Book学术官方微信