Strengthening neonatal care through ward assistants: a Kenyan case study in enhancing infection prevention and control practices.

IF 4.4 2区 医学 Q1 INFECTIOUS DISEASES
Michuki Maina, Nancy Odinga, Vincent Kagonya, Gloria Ngaiza, Sebastian Fuller, Onesmus Onyango, Caroline Waithira, Dorothy Oluoch, David Gathara, Peter Mwangi, Loise Mwangi, Penina Musyoka, Lucy Kinyua, Lydia Thuranira, Virginia Njoroge, Ngina Mwangi, Zainab Kioni, Mike English, Edna Mutua
{"title":"Strengthening neonatal care through ward assistants: a Kenyan case study in enhancing infection prevention and control practices.","authors":"Michuki Maina, Nancy Odinga, Vincent Kagonya, Gloria Ngaiza, Sebastian Fuller, Onesmus Onyango, Caroline Waithira, Dorothy Oluoch, David Gathara, Peter Mwangi, Loise Mwangi, Penina Musyoka, Lucy Kinyua, Lydia Thuranira, Virginia Njoroge, Ngina Mwangi, Zainab Kioni, Mike English, Edna Mutua","doi":"10.1186/s13756-025-01575-w","DOIUrl":null,"url":null,"abstract":"<p><strong>Background: </strong>Infection prevention and control (IPC) is a critical component of neonatal care, particularly in low- and middle-income countries (LMICs), where healthcare settings face unique challenges. Neonates, especially preterm and low birth weight infants, are at higher risk for infections, including healthcare-associated infections. In Kenya, neonatal units struggle with limited resources, understaffing, and shortages of essential supplies, significantly impeding effective IPC practices.</p><p><strong>Methods: </strong>This study employed a mixed methods approach in four public neonatal units in Kenya to assess the impact of deploying ward assistants on IPC practices. Data collection included structured and unstructured observations, in-depth interviews, and focus group discussions with healthcare workers and caregivers. The intervention aimed to address gaps in routine cleanliness, waste management, and adherence to IPC protocols.</p><p><strong>Results: </strong>The introduction of ward assistants led to noticeable improvements in overall ward cleanliness and waste disposal, highlighting the potential for enhanced infection control. Mothers' hand hygiene practices improved, driven by targeted sensitization efforts. Despite these gains, significant challenges remained. Hand hygiene adherence among healthcare providers was inconsistent, and equipment cleaning and decontamination were frequently compromised by insufficient supplies and overwhelming patient demand. The findings underscored the critical role of resources and the need for consistent supervision and training to support sustainable IPC improvements.</p><p><strong>Conclusion: </strong>Deploying ward assistants in neonatal units can positively influence IPC practices, particularly in addressing environmental cleanliness and waste management. However, these benefits alone are insufficient to address systemic barriers to IPC, including resource constraints and variability in adherence among staff. To sustain these gains, robust training, consistent supervision, and adequate resourcing are imperative. Future research should explore the long-term impact of such interventions and design context-specific strategies to overcome persistent barriers, ensuring safer neonatal care in resource-limited settings.</p><p><strong>Clinical trial number: </strong>Not applicable.</p>","PeriodicalId":7950,"journal":{"name":"Antimicrobial Resistance and Infection Control","volume":"14 1","pages":"61"},"PeriodicalIF":4.4000,"publicationDate":"2025-06-02","publicationTypes":"Journal Article","fieldsOfStudy":null,"isOpenAccess":false,"openAccessPdf":"https://www.ncbi.nlm.nih.gov/pmc/articles/PMC12131407/pdf/","citationCount":"0","resultStr":null,"platform":"Semanticscholar","paperid":null,"PeriodicalName":"Antimicrobial Resistance and Infection Control","FirstCategoryId":"3","ListUrlMain":"https://doi.org/10.1186/s13756-025-01575-w","RegionNum":2,"RegionCategory":"医学","ArticlePicture":[],"TitleCN":null,"AbstractTextCN":null,"PMCID":null,"EPubDate":"","PubModel":"","JCR":"Q1","JCRName":"INFECTIOUS DISEASES","Score":null,"Total":0}
引用次数: 0

Abstract

Background: Infection prevention and control (IPC) is a critical component of neonatal care, particularly in low- and middle-income countries (LMICs), where healthcare settings face unique challenges. Neonates, especially preterm and low birth weight infants, are at higher risk for infections, including healthcare-associated infections. In Kenya, neonatal units struggle with limited resources, understaffing, and shortages of essential supplies, significantly impeding effective IPC practices.

Methods: This study employed a mixed methods approach in four public neonatal units in Kenya to assess the impact of deploying ward assistants on IPC practices. Data collection included structured and unstructured observations, in-depth interviews, and focus group discussions with healthcare workers and caregivers. The intervention aimed to address gaps in routine cleanliness, waste management, and adherence to IPC protocols.

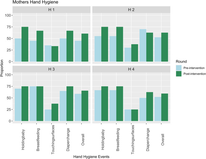
Results: The introduction of ward assistants led to noticeable improvements in overall ward cleanliness and waste disposal, highlighting the potential for enhanced infection control. Mothers' hand hygiene practices improved, driven by targeted sensitization efforts. Despite these gains, significant challenges remained. Hand hygiene adherence among healthcare providers was inconsistent, and equipment cleaning and decontamination were frequently compromised by insufficient supplies and overwhelming patient demand. The findings underscored the critical role of resources and the need for consistent supervision and training to support sustainable IPC improvements.

Conclusion: Deploying ward assistants in neonatal units can positively influence IPC practices, particularly in addressing environmental cleanliness and waste management. However, these benefits alone are insufficient to address systemic barriers to IPC, including resource constraints and variability in adherence among staff. To sustain these gains, robust training, consistent supervision, and adequate resourcing are imperative. Future research should explore the long-term impact of such interventions and design context-specific strategies to overcome persistent barriers, ensuring safer neonatal care in resource-limited settings.

Clinical trial number: Not applicable.

Abstract Image

Abstract Image

通过病房助理加强新生儿护理:加强感染预防和控制做法的肯尼亚案例研究。
背景:感染预防和控制(IPC)是新生儿护理的关键组成部分,特别是在卫生保健机构面临独特挑战的低收入和中等收入国家(LMICs)。新生儿,特别是早产儿和低出生体重婴儿,感染的风险更高,包括与卫生保健有关的感染。在肯尼亚,新生儿病房面临资源有限、人员不足和基本用品短缺的问题,严重阻碍了IPC的有效实践。方法:本研究在肯尼亚的四个公立新生儿病房采用混合方法来评估部署病房助理对IPC实践的影响。数据收集包括结构化和非结构化观察、深度访谈以及与医护人员和护理人员的焦点小组讨论。干预措施旨在解决日常清洁、废物管理和遵守IPC协议方面的差距。结果:病房助理的引入使整个病房的清洁和废物处理明显改善,突出了加强感染控制的潜力。在有针对性的增敏工作的推动下,母亲的手部卫生习惯得到改善。尽管取得了这些成果,但仍然存在重大挑战。卫生保健提供者的手卫生依从性不一致,设备清洁和去污经常因供应不足和压倒性的患者需求而受到损害。调查结果强调了资源的关键作用以及持续监督和培训的必要性,以支持可持续的IPC改进。结论:在新生儿病房部署病房助理可以对IPC实践产生积极影响,特别是在解决环境清洁和废物管理方面。然而,仅凭这些益处不足以解决IPC的系统性障碍,包括资源限制和工作人员依从性的差异。为了保持这些成果,强有力的培训、一致的监督和充足的资源是必不可少的。未来的研究应该探索这些干预措施的长期影响,并设计针对具体情况的策略来克服持续存在的障碍,确保在资源有限的环境中更安全的新生儿护理。临床试验号:不适用。
本文章由计算机程序翻译,如有差异,请以英文原文为准。
求助全文
约1分钟内获得全文 求助全文
来源期刊
Antimicrobial Resistance and Infection Control
Antimicrobial Resistance and Infection Control PUBLIC, ENVIRONMENTAL & OCCUPATIONAL HEALTH -INFECTIOUS DISEASES
CiteScore
9.70
自引率
3.60%
发文量
140
审稿时长
13 weeks
期刊介绍: Antimicrobial Resistance and Infection Control is a global forum for all those working on the prevention, diagnostic and treatment of health-care associated infections and antimicrobial resistance development in all health-care settings. The journal covers a broad spectrum of preeminent practices and best available data to the top interventional and translational research, and innovative developments in the field of infection control.
×
引用
GB/T 7714-2015
复制
MLA
复制
APA
复制
导出至
BibTeX EndNote RefMan NoteFirst NoteExpress
×
提示
您的信息不完整,为了账户安全,请先补充。
现在去补充
×
提示
您因"违规操作"
具体请查看互助需知
我知道了
×
提示
确定
请完成安全验证×
copy
已复制链接
快去分享给好友吧!
我知道了
右上角分享
点击右上角分享
0
联系我们:info@booksci.cn Book学术提供免费学术资源搜索服务,方便国内外学者检索中英文文献。致力于提供最便捷和优质的服务体验。 Copyright © 2023 布克学术 All rights reserved.
京ICP备2023020795号-1
ghs 京公网安备 11010802042870号
Book学术文献互助
Book学术文献互助群
群 号:604180095
Book学术官方微信