Chromogranin a and pancreatic polypeptide are not suitable for the screening of pancreatic neuroendocrine tumors in MEN1 - a long-term follow-up study.

IF 2.9 3区 医学 Q2 ENDOCRINOLOGY & METABOLISM
Endocrine Pub Date : 2025-09-01 Epub Date: 2025-06-02 DOI:10.1007/s12020-025-04291-y
Iiro Kostiainen, Susanna Majala, Jukka Schildt, Helka Parviainen, Saila Kauhanen, Niina Matikainen, Eeva M Ryhänen, Camilla Schalin-Jäntti
{"title":"Chromogranin a and pancreatic polypeptide are not suitable for the screening of pancreatic neuroendocrine tumors in MEN1 - a long-term follow-up study.","authors":"Iiro Kostiainen, Susanna Majala, Jukka Schildt, Helka Parviainen, Saila Kauhanen, Niina Matikainen, Eeva M Ryhänen, Camilla Schalin-Jäntti","doi":"10.1007/s12020-025-04291-y","DOIUrl":null,"url":null,"abstract":"<p><strong>Purpose: </strong>In patients with multiple endocrine neoplasia type 1 (MEN1) followed up at ENETS centers of Excellence, chromogranin A (CgA) and pancreatic polypeptide (PP) are widely used screening tools for pancreatic neuroendocrine tumors (panNETs). Previous studies have demonstrated conflicting results regarding their performance in MEN1. This retrospective study aims to bring clarity to the question by investigating a well-characterized MEN1 cohort. We studied the impact of long-term biomarker follow-up on the clinical management of panNETs in MEN1.</p><p><strong>Methods: </strong>We calculated the sensitivity and specificity and performed ROC analysis of CgA and PP for diagnosing any panNET, ≥20 mm panNET, and metastatic panNET in comparison to imaging reference standard in 58 MEN1 patients. All patients had undergone somatostatin receptor PET/CT and conventional imaging. Longitudinal impact of 10-year annual biomarker measurements on real-life clinical management was analyzed from patient records.</p><p><strong>Results: </strong>Sensitivity of CgA (n = 48) and PP (n = 47) for diagnosing any panNET, ≥20 mm panNET, and metastatic panNET was 35%, 30%, and 60 and 23%, 33%, and 0%, respectively. For CgA, the AUC for diagnosing any panNET, ≥20 mm panNET, and metastatic panNET was 0.30 (95% CI 0.09-0.51), 0.49 (95% CI 0.29-0.68), and 0.69 (95% CI 0.42-0.95), respectively. For PP, the AUC for detection of metastatic panNET was 0.28 (95% CI 0.11-0.46). The annual biomarker measurements during 514 patient-years of follow-up did not affect the clinical management of panNETs.</p><p><strong>Conclusion: </strong>CgA and PP are not helpful in diagnosing panNETs in MEN1. It is time to revise the surveillance protocols in practice.</p>","PeriodicalId":49211,"journal":{"name":"Endocrine","volume":" ","pages":"910-920"},"PeriodicalIF":2.9000,"publicationDate":"2025-09-01","publicationTypes":"Journal Article","fieldsOfStudy":null,"isOpenAccess":false,"openAccessPdf":"https://www.ncbi.nlm.nih.gov/pmc/articles/PMC12370824/pdf/","citationCount":"0","resultStr":null,"platform":"Semanticscholar","paperid":null,"PeriodicalName":"Endocrine","FirstCategoryId":"3","ListUrlMain":"https://doi.org/10.1007/s12020-025-04291-y","RegionNum":3,"RegionCategory":"医学","ArticlePicture":[],"TitleCN":null,"AbstractTextCN":null,"PMCID":null,"EPubDate":"2025/6/2 0:00:00","PubModel":"Epub","JCR":"Q2","JCRName":"ENDOCRINOLOGY & METABOLISM","Score":null,"Total":0}
引用次数: 0

Abstract

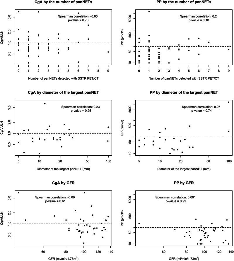
Purpose: In patients with multiple endocrine neoplasia type 1 (MEN1) followed up at ENETS centers of Excellence, chromogranin A (CgA) and pancreatic polypeptide (PP) are widely used screening tools for pancreatic neuroendocrine tumors (panNETs). Previous studies have demonstrated conflicting results regarding their performance in MEN1. This retrospective study aims to bring clarity to the question by investigating a well-characterized MEN1 cohort. We studied the impact of long-term biomarker follow-up on the clinical management of panNETs in MEN1.

Methods: We calculated the sensitivity and specificity and performed ROC analysis of CgA and PP for diagnosing any panNET, ≥20 mm panNET, and metastatic panNET in comparison to imaging reference standard in 58 MEN1 patients. All patients had undergone somatostatin receptor PET/CT and conventional imaging. Longitudinal impact of 10-year annual biomarker measurements on real-life clinical management was analyzed from patient records.

Results: Sensitivity of CgA (n = 48) and PP (n = 47) for diagnosing any panNET, ≥20 mm panNET, and metastatic panNET was 35%, 30%, and 60 and 23%, 33%, and 0%, respectively. For CgA, the AUC for diagnosing any panNET, ≥20 mm panNET, and metastatic panNET was 0.30 (95% CI 0.09-0.51), 0.49 (95% CI 0.29-0.68), and 0.69 (95% CI 0.42-0.95), respectively. For PP, the AUC for detection of metastatic panNET was 0.28 (95% CI 0.11-0.46). The annual biomarker measurements during 514 patient-years of follow-up did not affect the clinical management of panNETs.

Conclusion: CgA and PP are not helpful in diagnosing panNETs in MEN1. It is time to revise the surveillance protocols in practice.

Abstract Image

Abstract Image

Abstract Image

在MEN1 -一项长期随访研究中,嗜铬粒蛋白a和胰腺多肽不适合用于胰腺神经内分泌肿瘤的筛查。
目的:在ENETS卓越中心随访的多发性内分泌肿瘤1型(MEN1)患者中,嗜铬粒蛋白A (CgA)和胰多肽(PP)是广泛使用的胰腺神经内分泌肿瘤(panNETs)筛查工具。先前的研究已经证明了关于它们在MEN1中的表现的相互矛盾的结果。本回顾性研究旨在通过调查一个具有良好特征的MEN1队列来澄清这个问题。我们研究了长期生物标志物随访对MEN1患者panNETs临床管理的影响。方法:计算58例MEN1患者的CgA和PP诊断任何panNET、≥20mm panNET和转移性panNET的敏感性和特异性,并与影像学参考标准进行ROC分析。所有患者均行生长抑素受体PET/CT及常规影像学检查。从患者记录中分析了10年年度生物标志物测量对现实临床管理的纵向影响。结果:CgA (n = 48)和PP (n = 47)对任何panNET、≥20mm panNET和转移性panNET的诊断敏感性分别为35%、30%、60%和23%、33%、0%。对于CgA,诊断任何panNET、≥20mm panNET和转移性panNET的AUC分别为0.30 (95% CI 0.09-0.51)、0.49 (95% CI 0.29-0.68)和0.69 (95% CI 0.42-0.95)。对于PP,检测转移性panNET的AUC为0.28 (95% CI 0.11-0.46)。在514例患者年随访期间的年度生物标志物测量不影响panNETs的临床管理。结论:CgA和PP对MEN1的panNETs诊断无帮助。是时候在实践中修改监控协议了。
本文章由计算机程序翻译,如有差异,请以英文原文为准。
求助全文
约1分钟内获得全文 求助全文
来源期刊
Endocrine
Endocrine ENDOCRINOLOGY & METABOLISM-
CiteScore
6.50
自引率
5.40%
发文量
295
审稿时长
1.5 months
期刊介绍: Well-established as a major journal in today’s rapidly advancing experimental and clinical research areas, Endocrine publishes original articles devoted to basic (including molecular, cellular and physiological studies), translational and clinical research in all the different fields of endocrinology and metabolism. Articles will be accepted based on peer-reviews, priority, and editorial decision. Invited reviews, mini-reviews and viewpoints on relevant pathophysiological and clinical topics, as well as Editorials on articles appearing in the Journal, are published. Unsolicited Editorials will be evaluated by the editorial team. Outcomes of scientific meetings, as well as guidelines and position statements, may be submitted. The Journal also considers special feature articles in the field of endocrine genetics and epigenetics, as well as articles devoted to novel methods and techniques in endocrinology. Endocrine covers controversial, clinical endocrine issues. Meta-analyses on endocrine and metabolic topics are also accepted. Descriptions of single clinical cases and/or small patients studies are not published unless of exceptional interest. However, reports of novel imaging studies and endocrine side effects in single patients may be considered. Research letters and letters to the editor related or unrelated to recently published articles can be submitted. Endocrine covers leading topics in endocrinology such as neuroendocrinology, pituitary and hypothalamic peptides, thyroid physiological and clinical aspects, bone and mineral metabolism and osteoporosis, obesity, lipid and energy metabolism and food intake control, insulin, Type 1 and Type 2 diabetes, hormones of male and female reproduction, adrenal diseases pediatric and geriatric endocrinology, endocrine hypertension and endocrine oncology.
×
引用
GB/T 7714-2015
复制
MLA
复制
APA
复制
导出至
BibTeX EndNote RefMan NoteFirst NoteExpress
×
提示
您的信息不完整,为了账户安全,请先补充。
现在去补充
×
提示
您因"违规操作"
具体请查看互助需知
我知道了
×
提示
确定
请完成安全验证×
copy
已复制链接
快去分享给好友吧!
我知道了
右上角分享
点击右上角分享
0
联系我们:info@booksci.cn Book学术提供免费学术资源搜索服务,方便国内外学者检索中英文文献。致力于提供最便捷和优质的服务体验。 Copyright © 2023 布克学术 All rights reserved.
京ICP备2023020795号-1
ghs 京公网安备 11010802042870号
Book学术文献互助
Book学术文献互助群
群 号:604180095
Book学术官方微信