ExtrAperitoneaL Plasty vs Intraperitoneal oNlay mEsh in ventral hernia repair - a multi-center randomized controlled trial: the ALPINE study protocol.

IF 1.1 Q3 SURGERY
International Journal of Surgery Protocols Pub Date : 2024-09-28 eCollection Date: 2024-10-21 DOI:10.1097/SP9.0000000000000030
Julian Süsstrunk, Johannes Baur, Rosita Sortino, Jörg Filser, Kim Herzog, Daniel C Steinemann, Beat P Müller, Fiorenzo V Angehrn
{"title":"ExtrAperitoneaL Plasty vs Intraperitoneal oNlay mEsh in ventral hernia repair - a multi-center randomized controlled trial: the ALPINE study protocol.","authors":"Julian Süsstrunk, Johannes Baur, Rosita Sortino, Jörg Filser, Kim Herzog, Daniel C Steinemann, Beat P Müller, Fiorenzo V Angehrn","doi":"10.1097/SP9.0000000000000030","DOIUrl":null,"url":null,"abstract":"<p><strong>Introduction: </strong>Minimally invasive ventral hernia repair (MIVHR) is a frequently performed surgical procedure to address primary or incisional ventral hernias and is recommended by numerous societies. Various techniques are available for MIVHR, including the intraperitoneal onlay mesh (IPOM) procedure and the enhanced view totally extraperitoneal (eTEP) approach. While both techniques are increasingly applied, they continue to be subject of controversy in literature. Well-designed randomized controlled trials comparing both procedures are lacking. The objective of this study is to investigate whether eTEP is associated with a decreased level of postoperative pain compared to IPOM.</p><p><strong>Methods: </strong>This is a prospective, multi-center, randomized, and blinded controlled trial. Patients presenting with primary or incisional epigastric, umbilical, or infraumbilical hernia with a transverse diameter >1 cm and ≤4 cm, or multiple hernias with a cumulative transverse diameter ≤4 cm, will be randomly assigned to undergo either IPOM or eTEP procedures. All patients and assessors of the study outcomes are blinded to the treatment allocation. The trial will be conducted at the St. Clara Hospital Basel, at the University Hospital Basel (Switzerland) and at the Innklinikum Altötting (Germany). It remains open for additional sites to be included. The multi-center design is chosen to minimize environmental bias related to perioperative anesthesiology and nursing care and to enhance participant recruitment. The primary outcome of this study is to evaluate postoperative pain (numeric rating scale and Patient-Reported Outcome Measurement Information System Pain Intensity Short Form 3a) 24 hours after the surgical procedure. Secondary outcomes include the assessment of pain at different times, length of hospital stay, operative time, readmission rate, intraoperative, and postoperative adverse events.</p>","PeriodicalId":42077,"journal":{"name":"International Journal of Surgery Protocols","volume":"28 4","pages":"1-6"},"PeriodicalIF":1.1000,"publicationDate":"2024-09-28","publicationTypes":"Journal Article","fieldsOfStudy":null,"isOpenAccess":false,"openAccessPdf":"https://www.ncbi.nlm.nih.gov/pmc/articles/PMC12124376/pdf/","citationCount":"0","resultStr":null,"platform":"Semanticscholar","paperid":null,"PeriodicalName":"International Journal of Surgery Protocols","FirstCategoryId":"1085","ListUrlMain":"https://doi.org/10.1097/SP9.0000000000000030","RegionNum":0,"RegionCategory":null,"ArticlePicture":[],"TitleCN":null,"AbstractTextCN":null,"PMCID":null,"EPubDate":"2024/10/21 0:00:00","PubModel":"eCollection","JCR":"Q3","JCRName":"SURGERY","Score":null,"Total":0}
引用次数: 0

Abstract

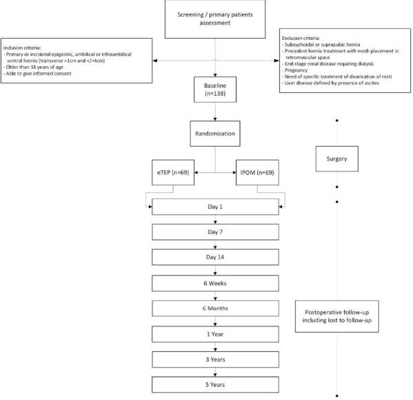
Introduction: Minimally invasive ventral hernia repair (MIVHR) is a frequently performed surgical procedure to address primary or incisional ventral hernias and is recommended by numerous societies. Various techniques are available for MIVHR, including the intraperitoneal onlay mesh (IPOM) procedure and the enhanced view totally extraperitoneal (eTEP) approach. While both techniques are increasingly applied, they continue to be subject of controversy in literature. Well-designed randomized controlled trials comparing both procedures are lacking. The objective of this study is to investigate whether eTEP is associated with a decreased level of postoperative pain compared to IPOM.

Methods: This is a prospective, multi-center, randomized, and blinded controlled trial. Patients presenting with primary or incisional epigastric, umbilical, or infraumbilical hernia with a transverse diameter >1 cm and ≤4 cm, or multiple hernias with a cumulative transverse diameter ≤4 cm, will be randomly assigned to undergo either IPOM or eTEP procedures. All patients and assessors of the study outcomes are blinded to the treatment allocation. The trial will be conducted at the St. Clara Hospital Basel, at the University Hospital Basel (Switzerland) and at the Innklinikum Altötting (Germany). It remains open for additional sites to be included. The multi-center design is chosen to minimize environmental bias related to perioperative anesthesiology and nursing care and to enhance participant recruitment. The primary outcome of this study is to evaluate postoperative pain (numeric rating scale and Patient-Reported Outcome Measurement Information System Pain Intensity Short Form 3a) 24 hours after the surgical procedure. Secondary outcomes include the assessment of pain at different times, length of hospital stay, operative time, readmission rate, intraoperative, and postoperative adverse events.

Abstract Image

Abstract Image

腹膜外成形术与腹膜内补片在腹疝修补中的应用——一项多中心随机对照试验:ALPINE研究方案。
引言:微创腹疝修补术(MIVHR)是一种常用的外科手术,用于治疗原发性或切口腹疝,被许多学会推荐。MIVHR可采用多种技术,包括腹腔内补片(IPOM)手术和全腹腔外增强视野(eTEP)入路。虽然这两种技术越来越多地被应用,但它们仍然是文学中争议的主题。缺乏设计良好的随机对照试验来比较这两种方法。本研究的目的是探讨与IPOM相比,eTEP是否与术后疼痛水平的降低有关。方法:这是一项前瞻性、多中心、随机、盲法对照试验。原发性或切入性腹上疝、脐疝或脐下疝,横径为1cm≤4cm,或多发性疝,累积横径≤4cm的患者将被随机分配接受IPOM或eTEP手术。所有患者和研究结果的评估者对治疗分配不知情。试验将在巴塞尔圣克拉拉医院、巴塞尔大学医院(瑞士)和Innklinikum Altötting(德国)进行。它仍然对其他网站开放。选择多中心设计是为了尽量减少与围手术期麻醉和护理相关的环境偏差,并增加参与者的招募。本研究的主要结果是在手术后24小时评估术后疼痛(数字评定量表和患者报告的结果测量信息系统疼痛强度短表3a)。次要结局包括评估不同时间的疼痛、住院时间、手术时间、再入院率、术中和术后不良事件。
本文章由计算机程序翻译,如有差异,请以英文原文为准。
求助全文
约1分钟内获得全文 求助全文
来源期刊
自引率
0.00%
发文量
12
期刊介绍: IJS Protocols is the first peer-reviewed, international, open access journal seeking to publish research protocols across across the full breadth of the surgical field. We are aim to provide rapid submission to decision times whilst maintaining a high quality peer-review process.
×
引用
GB/T 7714-2015
复制
MLA
复制
APA
复制
导出至
BibTeX EndNote RefMan NoteFirst NoteExpress
×
提示
您的信息不完整,为了账户安全,请先补充。
现在去补充
×
提示
您因"违规操作"
具体请查看互助需知
我知道了
×
提示
确定
请完成安全验证×
copy
已复制链接
快去分享给好友吧!
我知道了
右上角分享
点击右上角分享
0
联系我们:info@booksci.cn Book学术提供免费学术资源搜索服务,方便国内外学者检索中英文文献。致力于提供最便捷和优质的服务体验。 Copyright © 2023 布克学术 All rights reserved.
京ICP备2023020795号-1
ghs 京公网安备 11010802042870号
Book学术文献互助
Book学术文献互助群
群 号:604180095
Book学术官方微信