Dietary vitamin E: effect on oxidative stress, maze learning performance, and anxiety behaviors in rats.

IF 1.8 Q3 AGRICULTURE, DAIRY & ANIMAL SCIENCE
Translational Animal Science Pub Date : 2025-05-21 eCollection Date: 2025-01-01 DOI:10.1093/tas/txaf049
Cayla J Iske, Anna K Johnson, Kelly L Kappen, Roni M Deever, Cheryl L Morris
{"title":"Dietary vitamin E: effect on oxidative stress, maze learning performance, and anxiety behaviors in rats.","authors":"Cayla J Iske, Anna K Johnson, Kelly L Kappen, Roni M Deever, Cheryl L Morris","doi":"10.1093/tas/txaf049","DOIUrl":null,"url":null,"abstract":"<p><p>The brain is particularly susceptible to oxidative stress (OS) and damage to membranes is associated with learning and memory decline, impacting animal welfare. Vitamin E is an antioxidant which crosses the blood-brain barrier. Our objectives were to assess the impact of dietary vitamin E concentrations (20, 90, and 400-ppm) on markers of OS, maze learning performance (MLP), and anxious behaviors in 3-wk old Long-Evans rats. Vitamin E concentrations, antioxidant enzymes (superoxide dismutase [SOD] and glutathione peroxidase [GPx]), and oxidative protein damage (protein carbonyls [PC]) were measured in plasma or serum. Lipid damage (thiobarbituric acid reactive substances [TBARS]) was measured in serum and hippocampus. Anxious behaviors, including freezing and grooming, and MLP were assessed in an eight-arm radial maze over 5 weeks. Activity of SOD was lower (<i>P</i> = 0.002), and PC concentrations were higher (<i>P</i> = 0.022) in the 400-ppm group (1.0 U/mL; 0.7 nmol/mg) compared to the 20 (2.9 U/mL; 0.5 nmol/mg) and 90 (1.7 U/mL; 0.5 nmol/mg). Plasma vitamin E increased (<i>P</i> < 0.050) with dietary treatment and SOD decreased as plasma vitamin E increased (R<sup>2</sup> = 0.46; <i>P</i> = 0.002) but PC (R<sup>2</sup> = 0.16; <i>P</i> = 0.090) concentrations tended to increase with plasma vitamin E. Dietary treatment did not impact (<i>P</i> > 0.050) maze learning performance. Rats fed 20 ppm vitamin E exhibited greater freezing frequency and duration (<i>P</i> < 0.001) compared to other treatment groups, indicating heightened anxiety. The 400-ppm group exhibited lowest grooming frequency and duration (<i>P</i> < 0.001), possibly indicating less anxiousness. Working memory errors increased with serum TBARS concentrations (R<sup>2</sup> = 0.26; <i>P</i> = 0.033). In conclusion, higher dietary vitamin E concentrations reduced anxious behaviors, but did not alter MLP and was correlated with increased OS. These results suggest high concentrations of dietary vitamin E are not beneficial for rat welfare.</p>","PeriodicalId":23272,"journal":{"name":"Translational Animal Science","volume":"9 ","pages":"txaf049"},"PeriodicalIF":1.8000,"publicationDate":"2025-05-21","publicationTypes":"Journal Article","fieldsOfStudy":null,"isOpenAccess":false,"openAccessPdf":"https://www.ncbi.nlm.nih.gov/pmc/articles/PMC12125622/pdf/","citationCount":"0","resultStr":null,"platform":"Semanticscholar","paperid":null,"PeriodicalName":"Translational Animal Science","FirstCategoryId":"1085","ListUrlMain":"https://doi.org/10.1093/tas/txaf049","RegionNum":0,"RegionCategory":null,"ArticlePicture":[],"TitleCN":null,"AbstractTextCN":null,"PMCID":null,"EPubDate":"2025/1/1 0:00:00","PubModel":"eCollection","JCR":"Q3","JCRName":"AGRICULTURE, DAIRY & ANIMAL SCIENCE","Score":null,"Total":0}
引用次数: 0

Abstract

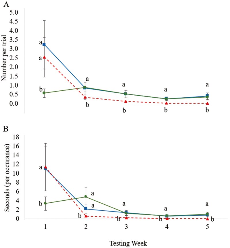
The brain is particularly susceptible to oxidative stress (OS) and damage to membranes is associated with learning and memory decline, impacting animal welfare. Vitamin E is an antioxidant which crosses the blood-brain barrier. Our objectives were to assess the impact of dietary vitamin E concentrations (20, 90, and 400-ppm) on markers of OS, maze learning performance (MLP), and anxious behaviors in 3-wk old Long-Evans rats. Vitamin E concentrations, antioxidant enzymes (superoxide dismutase [SOD] and glutathione peroxidase [GPx]), and oxidative protein damage (protein carbonyls [PC]) were measured in plasma or serum. Lipid damage (thiobarbituric acid reactive substances [TBARS]) was measured in serum and hippocampus. Anxious behaviors, including freezing and grooming, and MLP were assessed in an eight-arm radial maze over 5 weeks. Activity of SOD was lower (P = 0.002), and PC concentrations were higher (P = 0.022) in the 400-ppm group (1.0 U/mL; 0.7 nmol/mg) compared to the 20 (2.9 U/mL; 0.5 nmol/mg) and 90 (1.7 U/mL; 0.5 nmol/mg). Plasma vitamin E increased (P < 0.050) with dietary treatment and SOD decreased as plasma vitamin E increased (R2 = 0.46; P = 0.002) but PC (R2 = 0.16; P = 0.090) concentrations tended to increase with plasma vitamin E. Dietary treatment did not impact (P > 0.050) maze learning performance. Rats fed 20 ppm vitamin E exhibited greater freezing frequency and duration (P < 0.001) compared to other treatment groups, indicating heightened anxiety. The 400-ppm group exhibited lowest grooming frequency and duration (P < 0.001), possibly indicating less anxiousness. Working memory errors increased with serum TBARS concentrations (R2 = 0.26; P = 0.033). In conclusion, higher dietary vitamin E concentrations reduced anxious behaviors, but did not alter MLP and was correlated with increased OS. These results suggest high concentrations of dietary vitamin E are not beneficial for rat welfare.

Abstract Image

Abstract Image

Abstract Image

膳食维生素E:对大鼠氧化应激、迷宫学习表现和焦虑行为的影响。
大脑特别容易受到氧化应激(OS)的影响,膜损伤与学习和记忆衰退有关,影响动物福利。维生素E是一种能穿过血脑屏障的抗氧化剂。我们的目的是评估膳食维生素E浓度(20、90和400 ppm)对3周龄Long-Evans大鼠的OS、迷宫学习表现(MLP)和焦虑行为指标的影响。测定血浆或血清中维生素E浓度、抗氧化酶(超氧化物歧化酶[SOD]和谷胱甘肽过氧化物酶[GPx])和氧化蛋白损伤(蛋白羰基[PC])。测定血清和海马脂质损伤(硫代巴比妥酸反应物质[TBARS])。在为期5周的八臂放射状迷宫中评估焦虑行为,包括冻结和梳理,以及MLP。400-ppm组SOD活性降低(P = 0.002), PC浓度升高(P = 0.022) (1.0 U/mL;0.7 nmol/mg)与20 (2.9 U/mL;0.5 nmol/mg)和90 (1.7 U/mL);0.5 nmol /毫克)。血浆维生素E升高(P 2 = 0.46;P = 0.002), PC (R2 = 0.16;P = 0.090)浓度随血浆维生素e的增加而增加,饮食处理对迷宫学习性能没有影响(P = 0.050)。喂食20 ppm维生素E的大鼠冻僵的频率和持续时间更长(P P 2 = 0.26;p = 0.033)。综上所述,较高的膳食维生素E浓度降低了焦虑行为,但没有改变MLP,并与OS增加相关。这些结果表明,膳食中高浓度的维生素E对大鼠的健康不利。
本文章由计算机程序翻译,如有差异,请以英文原文为准。
求助全文
约1分钟内获得全文 求助全文
来源期刊
Translational Animal Science
Translational Animal Science Veterinary-Veterinary (all)
CiteScore
2.80
自引率
15.40%
发文量
149
审稿时长
8 weeks
期刊介绍: Translational Animal Science (TAS) is the first open access-open review animal science journal, encompassing a broad scope of research topics in animal science. TAS focuses on translating basic science to innovation, and validation of these innovations by various segments of the allied animal industry. Readers of TAS will typically represent education, industry, and government, including research, teaching, administration, extension, management, quality assurance, product development, and technical services. Those interested in TAS typically include animal breeders, economists, embryologists, engineers, food scientists, geneticists, microbiologists, nutritionists, veterinarians, physiologists, processors, public health professionals, and others with an interest in animal production and applied aspects of animal sciences.
×
引用
GB/T 7714-2015
复制
MLA
复制
APA
复制
导出至
BibTeX EndNote RefMan NoteFirst NoteExpress
×
提示
您的信息不完整,为了账户安全,请先补充。
现在去补充
×
提示
您因"违规操作"
具体请查看互助需知
我知道了
×
提示
确定
请完成安全验证×
copy
已复制链接
快去分享给好友吧!
我知道了
右上角分享
点击右上角分享
0
联系我们:info@booksci.cn Book学术提供免费学术资源搜索服务,方便国内外学者检索中英文文献。致力于提供最便捷和优质的服务体验。 Copyright © 2023 布克学术 All rights reserved.
京ICP备2023020795号-1
ghs 京公网安备 11010802042870号
Book学术文献互助
Book学术文献互助群
群 号:604180095
Book学术官方微信