Novel therapeutic targets for metabolism-related diseases: proteomic Mendelian randomization and colocalization analyses.

IF 4.6 3区 医学 Q2 ENDOCRINOLOGY & METABOLISM
Therapeutic Advances in Endocrinology and Metabolism Pub Date : 2025-05-31 eCollection Date: 2025-01-01 DOI:10.1177/20420188251343140
Yue-Yang Zhang, Bin-Lu Wang, Bing-Xue Chen, Qin Wan
{"title":"Novel therapeutic targets for metabolism-related diseases: proteomic Mendelian randomization and colocalization analyses.","authors":"Yue-Yang Zhang, Bin-Lu Wang, Bing-Xue Chen, Qin Wan","doi":"10.1177/20420188251343140","DOIUrl":null,"url":null,"abstract":"<p><strong>Background: </strong>In recent years, driven by the rapid advancement of proteomics research, numerous scholars have investigated the intricate associations between plasma proteins and various diseases. Thus, this study aimed to identify novel therapeutic targets for preventing and treating metabolic-related diseases through Mendelian randomization (MR).</p><p><strong>Methods: </strong>This study primarily utilized the MR method, leveraging genetic data from multiple large-scale publicly available genome-wide association studies. We employed two-sample MR within this framework to assess the associations between 1001 plasma proteins and 5 metabolism-related diseases. Finally, we strengthen the robustness and reliability of the MR results by conducting a series of sensitivity analyses, including bidirectional MR, colocalization analysis, Cochran's <i>Q</i> test, and the MR-Egger intercept test.</p><p><strong>Results: </strong>The results from the inverse variance weighted method revealed that, following false discovery rate correction, many plasma proteins are significantly associated with metabolic-related diseases. Genetically predicted risks vary across diseases: for coronary artery disease, from 0.82 FGR proto-oncogene, Src family tyrosine kinase (FGR) to 1.13 (interleukin-6); for obesity, from 0.992 (POLR2F) to 1.005 (PRKAB1); for osteoporosis, from 0.998 (AIF1) to 1.001 (CLC); for stroke, from 0.71 (TNFRSF1A) to 1.47 (TGM2); and for type 2 diabetes, from 0.79 (KRT18) to 1.47 (RAB37).</p><p><strong>Conclusion: </strong>Our findings reveal numerous plasma proteins linked to metabolic-related diseases. These findings offer fresh insights into the etiology, diagnostics, and treatment of these conditions.</p>","PeriodicalId":22998,"journal":{"name":"Therapeutic Advances in Endocrinology and Metabolism","volume":"16 ","pages":"20420188251343140"},"PeriodicalIF":4.6000,"publicationDate":"2025-05-31","publicationTypes":"Journal Article","fieldsOfStudy":null,"isOpenAccess":false,"openAccessPdf":"https://www.ncbi.nlm.nih.gov/pmc/articles/PMC12126668/pdf/","citationCount":"0","resultStr":null,"platform":"Semanticscholar","paperid":null,"PeriodicalName":"Therapeutic Advances in Endocrinology and Metabolism","FirstCategoryId":"3","ListUrlMain":"https://doi.org/10.1177/20420188251343140","RegionNum":3,"RegionCategory":"医学","ArticlePicture":[],"TitleCN":null,"AbstractTextCN":null,"PMCID":null,"EPubDate":"2025/1/1 0:00:00","PubModel":"eCollection","JCR":"Q2","JCRName":"ENDOCRINOLOGY & METABOLISM","Score":null,"Total":0}
引用次数: 0

Abstract

Background: In recent years, driven by the rapid advancement of proteomics research, numerous scholars have investigated the intricate associations between plasma proteins and various diseases. Thus, this study aimed to identify novel therapeutic targets for preventing and treating metabolic-related diseases through Mendelian randomization (MR).

Methods: This study primarily utilized the MR method, leveraging genetic data from multiple large-scale publicly available genome-wide association studies. We employed two-sample MR within this framework to assess the associations between 1001 plasma proteins and 5 metabolism-related diseases. Finally, we strengthen the robustness and reliability of the MR results by conducting a series of sensitivity analyses, including bidirectional MR, colocalization analysis, Cochran's Q test, and the MR-Egger intercept test.

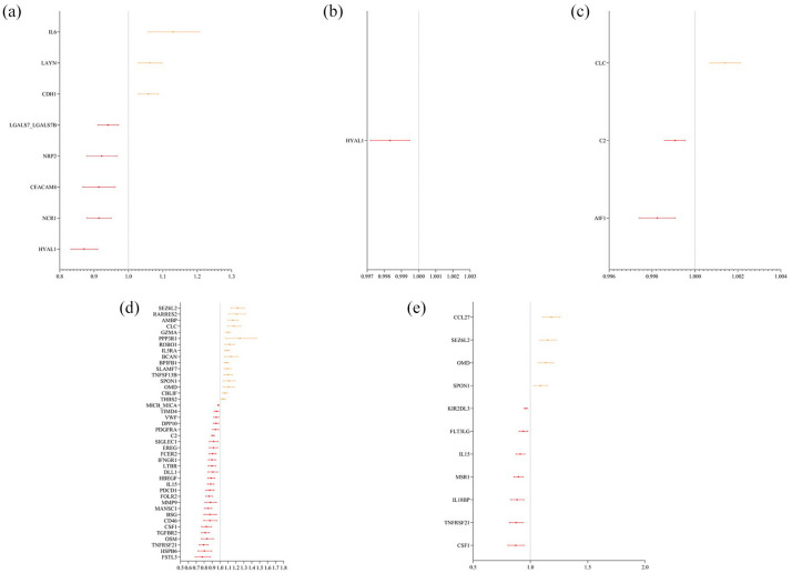
Results: The results from the inverse variance weighted method revealed that, following false discovery rate correction, many plasma proteins are significantly associated with metabolic-related diseases. Genetically predicted risks vary across diseases: for coronary artery disease, from 0.82 FGR proto-oncogene, Src family tyrosine kinase (FGR) to 1.13 (interleukin-6); for obesity, from 0.992 (POLR2F) to 1.005 (PRKAB1); for osteoporosis, from 0.998 (AIF1) to 1.001 (CLC); for stroke, from 0.71 (TNFRSF1A) to 1.47 (TGM2); and for type 2 diabetes, from 0.79 (KRT18) to 1.47 (RAB37).

Conclusion: Our findings reveal numerous plasma proteins linked to metabolic-related diseases. These findings offer fresh insights into the etiology, diagnostics, and treatment of these conditions.

Abstract Image

Abstract Image

Abstract Image

代谢相关疾病的新治疗靶点:蛋白质组学孟德尔随机化和共定位分析
背景:近年来,在蛋白质组学研究快速发展的推动下,许多学者对血浆蛋白与多种疾病之间的复杂关系进行了研究。因此,本研究旨在通过孟德尔随机化(MR)来寻找预防和治疗代谢相关疾病的新治疗靶点。方法:本研究主要利用MR方法,利用来自多个大规模公开的全基因组关联研究的遗传数据。在此框架内,我们采用双样本MR来评估1001种血浆蛋白与5种代谢相关疾病之间的关系。最后,我们通过进行一系列敏感性分析,包括双向MR、共定位分析、Cochran’s Q检验和MR- egger截距检验,来增强MR结果的稳健性和可靠性。结果:方差反加权法的结果显示,经过错误发现率校正后,许多血浆蛋白与代谢相关疾病显著相关。不同疾病的遗传预测风险各不相同:对于冠状动脉疾病,原癌基因Src家族酪氨酸激酶(FGR)从0.82 FGR到1.13(白细胞介素-6);对于肥胖,从0.992 (POLR2F)到1.005 (PRKAB1);骨质疏松症,从0.998 (AIF1)到1.001 (CLC);对于脑卒中,从0.71 (TNFRSF1A)到1.47 (TGM2);对于2型糖尿病,从0.79 (KRT18)到1.47 (RAB37)。结论:我们的发现揭示了许多血浆蛋白与代谢相关疾病有关。这些发现为这些疾病的病因、诊断和治疗提供了新的见解。
本文章由计算机程序翻译,如有差异,请以英文原文为准。
求助全文
约1分钟内获得全文 求助全文
来源期刊
Therapeutic Advances in Endocrinology and Metabolism
Therapeutic Advances in Endocrinology and Metabolism Medicine-Endocrinology, Diabetes and Metabolism
CiteScore
7.70
自引率
2.60%
发文量
42
审稿时长
8 weeks
期刊介绍: Therapeutic Advances in Endocrinology and Metabolism delivers the highest quality peer-reviewed articles, reviews, and scholarly comment on pioneering efforts and innovative studies across all areas of endocrinology and metabolism.
×
引用
GB/T 7714-2015
复制
MLA
复制
APA
复制
导出至
BibTeX EndNote RefMan NoteFirst NoteExpress
×
提示
您的信息不完整,为了账户安全,请先补充。
现在去补充
×
提示
您因"违规操作"
具体请查看互助需知
我知道了
×
提示
确定
请完成安全验证×
copy
已复制链接
快去分享给好友吧!
我知道了
右上角分享
点击右上角分享
0
联系我们:info@booksci.cn Book学术提供免费学术资源搜索服务,方便国内外学者检索中英文文献。致力于提供最便捷和优质的服务体验。 Copyright © 2023 布克学术 All rights reserved.
京ICP备2023020795号-1
ghs 京公网安备 11010802042870号
Book学术文献互助
Book学术文献互助群
群 号:604180095
Book学术官方微信