Training Load and Post-Exercise Recovery Following Varied Game Intervals in 3x3 Basketball.

IF 2.8 3区 医学 Q2 SPORT SCIENCES
Journal of Human Kinetics Pub Date : 2025-04-30 eCollection Date: 2025-02-01 DOI:10.5114/jhk/203324
Rūtenis Paulauskas, Paulius Kamarauskas, Bruno Gonçalves, Bruno Figueira
{"title":"Training Load and Post-Exercise Recovery Following Varied Game Intervals in 3x3 Basketball.","authors":"Rūtenis Paulauskas, Paulius Kamarauskas, Bruno Gonçalves, Bruno Figueira","doi":"10.5114/jhk/203324","DOIUrl":null,"url":null,"abstract":"<p><p>The study aimed (I) to quantify external and internal training loads during simulated 3x3 basketball games of 1, 2, 3, and 4 min, each followed by 1-min rest intervals; and (II) to assess the heart rate and muscle oxygen saturation recovery rates following, 1-, 2-, 3-, and 4-min periods of play. Twelve (n = 12) elite male 3x3 basketball players (age: 26.6 ± 5.6 years, body height: 196.8 ± 5.5 cm, body mass: 92.0 ± 9.5 kg, training experience: 15.4 ± 3.9 years, and 3x3 basketball training experience: 4.8 ± 1.6 years) from the Lithuanian national team participated in two controlled simulated games. Differences between playing intervals were analysed using a repeated-measures factorial analysis of variance. The results demonstrated that extended 3x3 basketball play duration led to significant increases in total distance covered, the sprint count, and the jump count, while diminishing dynamic responses in the deceleration rate, average speed, the jump rate, and high-intensity effort. Notably, SmO<sub>2</sub> levels exhibited stability during recovery intervals regardless of activity duration, whereas heart rate recovery improved markedly, particularly following extended play periods. This knowledge is instrumental in refining training protocols for 3x3 basketball, emphasizing the necessity of recovery strategies tailored to specific play duration.</p>","PeriodicalId":16055,"journal":{"name":"Journal of Human Kinetics","volume":"96 Spec","pages":"247-261"},"PeriodicalIF":2.8000,"publicationDate":"2025-04-30","publicationTypes":"Journal Article","fieldsOfStudy":null,"isOpenAccess":false,"openAccessPdf":"https://www.ncbi.nlm.nih.gov/pmc/articles/PMC12121880/pdf/","citationCount":"0","resultStr":null,"platform":"Semanticscholar","paperid":null,"PeriodicalName":"Journal of Human Kinetics","FirstCategoryId":"3","ListUrlMain":"https://doi.org/10.5114/jhk/203324","RegionNum":3,"RegionCategory":"医学","ArticlePicture":[],"TitleCN":null,"AbstractTextCN":null,"PMCID":null,"EPubDate":"2025/2/1 0:00:00","PubModel":"eCollection","JCR":"Q2","JCRName":"SPORT SCIENCES","Score":null,"Total":0}
引用次数: 0

Abstract

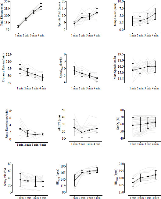
The study aimed (I) to quantify external and internal training loads during simulated 3x3 basketball games of 1, 2, 3, and 4 min, each followed by 1-min rest intervals; and (II) to assess the heart rate and muscle oxygen saturation recovery rates following, 1-, 2-, 3-, and 4-min periods of play. Twelve (n = 12) elite male 3x3 basketball players (age: 26.6 ± 5.6 years, body height: 196.8 ± 5.5 cm, body mass: 92.0 ± 9.5 kg, training experience: 15.4 ± 3.9 years, and 3x3 basketball training experience: 4.8 ± 1.6 years) from the Lithuanian national team participated in two controlled simulated games. Differences between playing intervals were analysed using a repeated-measures factorial analysis of variance. The results demonstrated that extended 3x3 basketball play duration led to significant increases in total distance covered, the sprint count, and the jump count, while diminishing dynamic responses in the deceleration rate, average speed, the jump rate, and high-intensity effort. Notably, SmO2 levels exhibited stability during recovery intervals regardless of activity duration, whereas heart rate recovery improved markedly, particularly following extended play periods. This knowledge is instrumental in refining training protocols for 3x3 basketball, emphasizing the necessity of recovery strategies tailored to specific play duration.

Abstract Image

Abstract Image

Abstract Image

3 × 3篮球不同比赛间隔的训练负荷和运动后恢复。
该研究的目的是(1)量化模拟3 × 3篮球赛中1、2、3和4分钟的外部和内部训练负荷,每次比赛后休息1分钟;(II)评估在1、2、3、4分钟的运动时间后的心率和肌肉氧饱和度恢复率。立陶宛国家队12名优秀男子3x3篮球运动员(年龄:26.6±5.6岁,身高:196.8±5.5 cm,体重:92.0±9.5 kg,训练经验:15.4±3.9年,3x3篮球训练经验:4.8±1.6年)参加了两场对照模拟比赛。使用重复测量的方差析因分析来分析比赛间隔之间的差异。结果表明,延长3 × 3篮球运动时间导致总距离、冲刺次数和跳跃次数显著增加,而在减速率、平均速度、跳跃率和高强度努力方面的动态响应减少。值得注意的是,在恢复期间,无论活动时间长短,SmO2水平都保持稳定,而心率恢复明显改善,特别是在延长运动时间后。这些知识有助于完善3x3篮球的训练协议,强调针对特定比赛时间量身定制的恢复策略的必要性。
本文章由计算机程序翻译,如有差异,请以英文原文为准。
求助全文
约1分钟内获得全文 求助全文
来源期刊
Journal of Human Kinetics
Journal of Human Kinetics 医学-运动科学
CiteScore
4.80
自引率
0.00%
发文量
83
审稿时长
3 months
期刊介绍: The Journal of Human Kinetics is an open access interdisciplinary periodical offering the latest research in the science of human movement studies. This comprehensive professional journal features articles and research notes encompassing such topic areas as: Kinesiology, Exercise Physiology and Nutrition, Sports Training and Behavioural Sciences in Sport, but especially considering elite and competitive aspects of sport. The journal publishes original papers, invited reviews, short communications and letters to the Editors. Manuscripts submitted to the journal must contain novel data on theoretical or experimental research or on practical applications in the field of sport sciences. The Journal of Human Kinetics is published in March, June, September and December. We encourage scientists from around the world to submit their papers to our periodical.
×
引用
GB/T 7714-2015
复制
MLA
复制
APA
复制
导出至
BibTeX EndNote RefMan NoteFirst NoteExpress
×
提示
您的信息不完整,为了账户安全,请先补充。
现在去补充
×
提示
您因"违规操作"
具体请查看互助需知
我知道了
×
提示
确定
请完成安全验证×
copy
已复制链接
快去分享给好友吧!
我知道了
右上角分享
点击右上角分享
0
联系我们:info@booksci.cn Book学术提供免费学术资源搜索服务,方便国内外学者检索中英文文献。致力于提供最便捷和优质的服务体验。 Copyright © 2023 布克学术 All rights reserved.
京ICP备2023020795号-1
ghs 京公网安备 11010802042870号
Book学术文献互助
Book学术文献互助群
群 号:604180095
Book学术官方微信