The Influence of Contextual Variables on Training Load Prescription in Basketball: An Example of a Professional Australian Men's Basketball Team.

IF 2.8 3区 医学 Q2 SPORT SCIENCES
Journal of Human Kinetics Pub Date : 2025-04-30 eCollection Date: 2025-02-01 DOI:10.5114/jhk/202812
Jack Patterson, Russell Rayner, David L Carey, Mathew O'Grady, Scott W Talpey
{"title":"The Influence of Contextual Variables on Training Load Prescription in Basketball: An Example of a Professional Australian Men's Basketball Team.","authors":"Jack Patterson, Russell Rayner, David L Carey, Mathew O'Grady, Scott W Talpey","doi":"10.5114/jhk/202812","DOIUrl":null,"url":null,"abstract":"<p><p>This study aimed to investigate the influence of contextual variables related to team performance, individual performance and scheduling on the external training load placed upon professional basketball players following a won compared to a lost game. Fifteen male professional basketball players from a single club competing in the Australia's top tier National Basketball League (NBL) during the 2023/2024 season participated in this study. Total player load, peak player load, player load per minute and the work to rest ratio derived from accelerometry were measures of external player load used in the analysis. Linear mixed models with the match outcome (win/loss), expected margin vs. outcome, days between games, and player efficiency as fixed effects, and player ID as a random intercept were employed. A statistically significant (p = 0.001) 62.46 au difference in total player load was observed following a win compared to a loss. However, when considering the random effects of an individual, individual performance, team performance and scheduling as fixed effects, a non-significant (p = 0.086) difference was observed with the individual player being the most influential variable. There were no statistically significant differences in peak player load (p = 0.734), player load per minute (p = 0.281), and the work to rest ratio (p = 0.782) following a win compared to a loss. The external training load prescribed to professional basketball players is highly individualized. Practitioners monitoring the training demands of players should consider the influence of individual factors when designing training.</p>","PeriodicalId":16055,"journal":{"name":"Journal of Human Kinetics","volume":"96 Spec","pages":"177-186"},"PeriodicalIF":2.8000,"publicationDate":"2025-04-30","publicationTypes":"Journal Article","fieldsOfStudy":null,"isOpenAccess":false,"openAccessPdf":"https://www.ncbi.nlm.nih.gov/pmc/articles/PMC12121885/pdf/","citationCount":"0","resultStr":null,"platform":"Semanticscholar","paperid":null,"PeriodicalName":"Journal of Human Kinetics","FirstCategoryId":"3","ListUrlMain":"https://doi.org/10.5114/jhk/202812","RegionNum":3,"RegionCategory":"医学","ArticlePicture":[],"TitleCN":null,"AbstractTextCN":null,"PMCID":null,"EPubDate":"2025/2/1 0:00:00","PubModel":"eCollection","JCR":"Q2","JCRName":"SPORT SCIENCES","Score":null,"Total":0}
引用次数: 0

Abstract

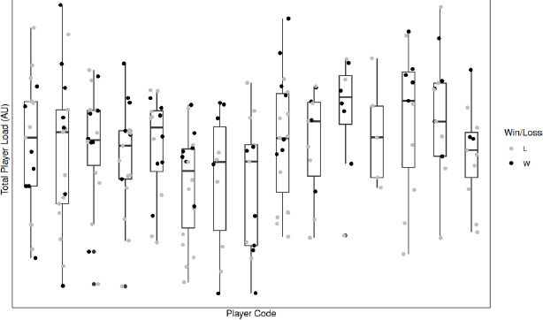
This study aimed to investigate the influence of contextual variables related to team performance, individual performance and scheduling on the external training load placed upon professional basketball players following a won compared to a lost game. Fifteen male professional basketball players from a single club competing in the Australia's top tier National Basketball League (NBL) during the 2023/2024 season participated in this study. Total player load, peak player load, player load per minute and the work to rest ratio derived from accelerometry were measures of external player load used in the analysis. Linear mixed models with the match outcome (win/loss), expected margin vs. outcome, days between games, and player efficiency as fixed effects, and player ID as a random intercept were employed. A statistically significant (p = 0.001) 62.46 au difference in total player load was observed following a win compared to a loss. However, when considering the random effects of an individual, individual performance, team performance and scheduling as fixed effects, a non-significant (p = 0.086) difference was observed with the individual player being the most influential variable. There were no statistically significant differences in peak player load (p = 0.734), player load per minute (p = 0.281), and the work to rest ratio (p = 0.782) following a win compared to a loss. The external training load prescribed to professional basketball players is highly individualized. Practitioners monitoring the training demands of players should consider the influence of individual factors when designing training.

Abstract Image

Abstract Image

Abstract Image

情境变量对篮球训练负荷处方的影响——以澳大利亚职业男篮为例。
本研究旨在探讨与球队表现、个人表现和日程安排相关的情境变量对职业篮球运动员在输球和赢球后所承受的外部训练负荷的影响。在2023/2024赛季参加澳大利亚顶级国家篮球联赛(NBL)的同一俱乐部的15名男子职业篮球运动员参加了本研究。总玩家负荷、峰值玩家负荷、每分钟玩家负荷以及来自加速计的工作与休息比率是分析中使用的外部玩家负荷度量。我们采用了线性混合模型,其中包括比赛结果(赢/输)、预期利润与结果、比赛间隔天数、玩家效率作为固定效应,以及玩家ID作为随机截距。在获胜和失败后,玩家的总负载有62.46 au的显著差异(p = 0.001)。然而,当考虑个人、个人表现、团队表现和日程安排的随机效应作为固定效应时,观察到不显著(p = 0.086)差异,个人球员是最具影响力的变量。在赢球和输球之后,玩家负荷峰值(p = 0.734)、每分钟玩家负荷(p = 0.281)和工作休息比(p = 0.782)没有统计学上的显著差异。职业篮球运动员的外部训练负荷是高度个性化的。在训练设计中,教练员在监测球员训练需求时,应考虑个体因素的影响。
本文章由计算机程序翻译,如有差异,请以英文原文为准。
求助全文
约1分钟内获得全文 求助全文
来源期刊
Journal of Human Kinetics
Journal of Human Kinetics 医学-运动科学
CiteScore
4.80
自引率
0.00%
发文量
83
审稿时长
3 months
期刊介绍: The Journal of Human Kinetics is an open access interdisciplinary periodical offering the latest research in the science of human movement studies. This comprehensive professional journal features articles and research notes encompassing such topic areas as: Kinesiology, Exercise Physiology and Nutrition, Sports Training and Behavioural Sciences in Sport, but especially considering elite and competitive aspects of sport. The journal publishes original papers, invited reviews, short communications and letters to the Editors. Manuscripts submitted to the journal must contain novel data on theoretical or experimental research or on practical applications in the field of sport sciences. The Journal of Human Kinetics is published in March, June, September and December. We encourage scientists from around the world to submit their papers to our periodical.
×
引用
GB/T 7714-2015
复制
MLA
复制
APA
复制
导出至
BibTeX EndNote RefMan NoteFirst NoteExpress
×
提示
您的信息不完整,为了账户安全,请先补充。
现在去补充
×
提示
您因"违规操作"
具体请查看互助需知
我知道了
×
提示
确定
请完成安全验证×
copy
已复制链接
快去分享给好友吧!
我知道了
右上角分享
点击右上角分享
0
联系我们:info@booksci.cn Book学术提供免费学术资源搜索服务,方便国内外学者检索中英文文献。致力于提供最便捷和优质的服务体验。 Copyright © 2023 布克学术 All rights reserved.
京ICP备2023020795号-1
ghs 京公网安备 11010802042870号
Book学术文献互助
Book学术文献互助群
群 号:604180095
Book学术官方微信