Effects of Partial-Body Cryotherapy on Athletic Performance and Sleep Quality in Division I Collegiate Basketball Athletes.

IF 2.8 3区 医学 Q2 SPORT SCIENCES
Journal of Human Kinetics Pub Date : 2025-04-30 eCollection Date: 2025-02-01 DOI:10.5114/jhk/203236
Tae-Jin Kim, Kyeong-Hyon Ha, Tae-Young Park, Jung-Hyun Kim, Jung-Min Lee, Hyun Chul Jung
{"title":"Effects of Partial-Body Cryotherapy on Athletic Performance and Sleep Quality in Division I Collegiate Basketball Athletes.","authors":"Tae-Jin Kim, Kyeong-Hyon Ha, Tae-Young Park, Jung-Hyun Kim, Jung-Min Lee, Hyun Chul Jung","doi":"10.5114/jhk/203236","DOIUrl":null,"url":null,"abstract":"<p><p>This study examined the effects of short-term partial-body cryotherapy (PBC) on athletic performance and sleep quality in Division I collegiate basketball athletes. A crossover, counter-balanced design was employed with twelve collegiate basketball athletes randomly assigned to five days of a post-exercise PBC condition or a control condition. Athletic performance was assessed using six standardized tests from the Korean Basketball League (KBL) Draft combine. Objective and subjective sleep quality were measured using actigraphy and three validated sleep questionnaires, respectively. The number of pull-ups performed significantly increased after the PBC condition (9.2 ± 4.59 vs. 11.9 ± 4.77 reps, p < 0.05), whereas no improvements were observed in other performance measures, including the maximum repetitions of the 75-kg bench press, sprint speed, vertical jump height, and agility. Subjective and objective sleep quality were not enhanced after the PBC condition. These findings suggest that a short-term (5-day) application of PBC has only a limited effect on athletic performance and no effect on sleep quality. Future studies with longer intervention periods are needed to better understand the effects of PBC on athletic performance and sleep quality.</p>","PeriodicalId":16055,"journal":{"name":"Journal of Human Kinetics","volume":"96 Spec","pages":"187-199"},"PeriodicalIF":2.8000,"publicationDate":"2025-04-30","publicationTypes":"Journal Article","fieldsOfStudy":null,"isOpenAccess":false,"openAccessPdf":"https://www.ncbi.nlm.nih.gov/pmc/articles/PMC12121890/pdf/","citationCount":"0","resultStr":null,"platform":"Semanticscholar","paperid":null,"PeriodicalName":"Journal of Human Kinetics","FirstCategoryId":"3","ListUrlMain":"https://doi.org/10.5114/jhk/203236","RegionNum":3,"RegionCategory":"医学","ArticlePicture":[],"TitleCN":null,"AbstractTextCN":null,"PMCID":null,"EPubDate":"2025/2/1 0:00:00","PubModel":"eCollection","JCR":"Q2","JCRName":"SPORT SCIENCES","Score":null,"Total":0}
引用次数: 0

Abstract

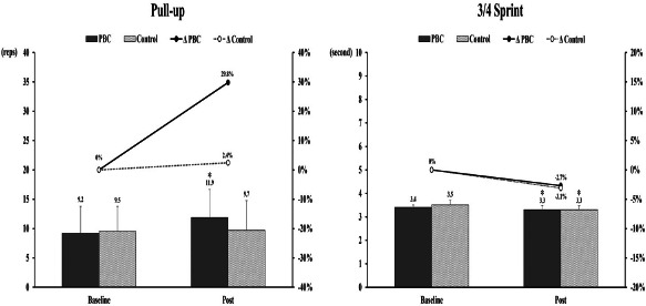
This study examined the effects of short-term partial-body cryotherapy (PBC) on athletic performance and sleep quality in Division I collegiate basketball athletes. A crossover, counter-balanced design was employed with twelve collegiate basketball athletes randomly assigned to five days of a post-exercise PBC condition or a control condition. Athletic performance was assessed using six standardized tests from the Korean Basketball League (KBL) Draft combine. Objective and subjective sleep quality were measured using actigraphy and three validated sleep questionnaires, respectively. The number of pull-ups performed significantly increased after the PBC condition (9.2 ± 4.59 vs. 11.9 ± 4.77 reps, p < 0.05), whereas no improvements were observed in other performance measures, including the maximum repetitions of the 75-kg bench press, sprint speed, vertical jump height, and agility. Subjective and objective sleep quality were not enhanced after the PBC condition. These findings suggest that a short-term (5-day) application of PBC has only a limited effect on athletic performance and no effect on sleep quality. Future studies with longer intervention periods are needed to better understand the effects of PBC on athletic performance and sleep quality.

Abstract Image

Abstract Image

Abstract Image

部分身体冷冻疗法对大学篮球甲级运动员运动成绩和睡眠质量的影响。
本研究探讨了短期局部冷冻疗法(PBC)对大学篮球甲级运动员运动表现和睡眠质量的影响。采用交叉、平衡设计,将12名大学篮球运动员随机分配到5天的运动后PBC状态或对照组。运动成绩是通过韩国篮球联盟(KBL)选秀组合的6项标准化测试来评估的。客观睡眠质量和主观睡眠质量分别采用活动记录仪和三份有效的睡眠问卷进行测量。在PBC条件下,引体向上的次数显著增加(9.2±4.59次对11.9±4.77次,p < 0.05),而其他性能指标没有改善,包括75公斤卧推的最大重复次数、冲刺速度、垂直跳跃高度和敏捷性。主观和客观睡眠质量在PBC治疗后均未得到改善。这些发现表明,短期(5天)应用PBC对运动表现的影响有限,对睡眠质量没有影响。为了更好地了解PBC对运动表现和睡眠质量的影响,未来的研究需要更长的干预期。
本文章由计算机程序翻译,如有差异,请以英文原文为准。
求助全文
约1分钟内获得全文 求助全文
来源期刊
Journal of Human Kinetics
Journal of Human Kinetics 医学-运动科学
CiteScore
4.80
自引率
0.00%
发文量
83
审稿时长
3 months
期刊介绍: The Journal of Human Kinetics is an open access interdisciplinary periodical offering the latest research in the science of human movement studies. This comprehensive professional journal features articles and research notes encompassing such topic areas as: Kinesiology, Exercise Physiology and Nutrition, Sports Training and Behavioural Sciences in Sport, but especially considering elite and competitive aspects of sport. The journal publishes original papers, invited reviews, short communications and letters to the Editors. Manuscripts submitted to the journal must contain novel data on theoretical or experimental research or on practical applications in the field of sport sciences. The Journal of Human Kinetics is published in March, June, September and December. We encourage scientists from around the world to submit their papers to our periodical.
×
引用
GB/T 7714-2015
复制
MLA
复制
APA
复制
导出至
BibTeX EndNote RefMan NoteFirst NoteExpress
×
提示
您的信息不完整,为了账户安全,请先补充。
现在去补充
×
提示
您因"违规操作"
具体请查看互助需知
我知道了
×
提示
确定
请完成安全验证×
copy
已复制链接
快去分享给好友吧!
我知道了
右上角分享
点击右上角分享
0
联系我们:info@booksci.cn Book学术提供免费学术资源搜索服务,方便国内外学者检索中英文文献。致力于提供最便捷和优质的服务体验。 Copyright © 2023 布克学术 All rights reserved.
京ICP备2023020795号-1
ghs 京公网安备 11010802042870号
Book学术文献互助
Book学术文献互助群
群 号:604180095
Book学术官方微信