Comparison of Oral Preoperative Clonidine with Infusion of Intraoperative Labetalol on Bleeding during Tympanoplasty Surgery.

Q3 Medicine
Mohamad Reza Afzalzadeh, Mostafa Mahdavi, Saleheh Asghari, Maryam Emadzadeh
{"title":"Comparison of Oral Preoperative Clonidine with Infusion of Intraoperative Labetalol on Bleeding during Tympanoplasty Surgery.","authors":"Mohamad Reza Afzalzadeh, Mostafa Mahdavi, Saleheh Asghari, Maryam Emadzadeh","doi":"10.22038/ijorl.2025.78101.3626","DOIUrl":null,"url":null,"abstract":"<p><strong>Introduction: </strong>Surgical bleeding is one of the most critical complications in various surgical procedures. In middle ear surgery, managing bleeding is a significant challenge for anesthesiologists because even minor bleeding can obstruct the surgeon's vision and prolong the surgery. Our objective is to compare the impact of preoperative oral clonidine versus labetalol infusion on bleeding volume during tympanoplasty surgery.</p><p><strong>Materials and methods: </strong>In this double-blind randomized controlled trial, tympanoplasty candidates were randomly assigned to three groups: the clonidine group (received 300 micrograms of clonidine tablets one hour before surgery with normal saline infusion during the operation), the control group (given a placebo tablet one hour before surgery with normal saline infusion during surgery), and the labetalol group (administered a placebo tablet one hour before surgery with labetalol infusion at a rate of 0.2 mg/kg of body weight per hour during surgery). We then evaluated the extent of intraoperative bleeding, systolic and diastolic blood pressure, mean arterial pressure, and heart rate at various time points until the end of the surgery.</p><p><strong>Results: </strong>Clonidine and labetalol were effective in reducing intraoperative bleeding compared to the control group. Grade 2 bleeding (minimal bleeding requiring intermittent suction) was the highest grade observed across all three groups and was consistently noted in all patients. Clonidine demonstrated greater efficiency in reducing systolic and diastolic blood pressure, mean arterial pressure, and heart rate compared to both labetalol and the control group.</p><p><strong>Conclusion: </strong>Premedication with clonidine or labetalol is associated with reduced intraoperative bleeding, improved surgical field visibility, and shorter duration of tympanoplasty procedures. This may potentially lead to increased satisfaction and success rates of the operation.</p>","PeriodicalId":14607,"journal":{"name":"Iranian Journal of Otorhinolaryngology","volume":"37 3","pages":"105-113"},"PeriodicalIF":0.0000,"publicationDate":"2025-01-01","publicationTypes":"Journal Article","fieldsOfStudy":null,"isOpenAccess":false,"openAccessPdf":"https://www.ncbi.nlm.nih.gov/pmc/articles/PMC12126204/pdf/","citationCount":"0","resultStr":null,"platform":"Semanticscholar","paperid":null,"PeriodicalName":"Iranian Journal of Otorhinolaryngology","FirstCategoryId":"1085","ListUrlMain":"https://doi.org/10.22038/ijorl.2025.78101.3626","RegionNum":0,"RegionCategory":null,"ArticlePicture":[],"TitleCN":null,"AbstractTextCN":null,"PMCID":null,"EPubDate":"","PubModel":"","JCR":"Q3","JCRName":"Medicine","Score":null,"Total":0}
引用次数: 0

Abstract

Introduction: Surgical bleeding is one of the most critical complications in various surgical procedures. In middle ear surgery, managing bleeding is a significant challenge for anesthesiologists because even minor bleeding can obstruct the surgeon's vision and prolong the surgery. Our objective is to compare the impact of preoperative oral clonidine versus labetalol infusion on bleeding volume during tympanoplasty surgery.

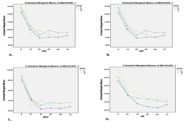
Materials and methods: In this double-blind randomized controlled trial, tympanoplasty candidates were randomly assigned to three groups: the clonidine group (received 300 micrograms of clonidine tablets one hour before surgery with normal saline infusion during the operation), the control group (given a placebo tablet one hour before surgery with normal saline infusion during surgery), and the labetalol group (administered a placebo tablet one hour before surgery with labetalol infusion at a rate of 0.2 mg/kg of body weight per hour during surgery). We then evaluated the extent of intraoperative bleeding, systolic and diastolic blood pressure, mean arterial pressure, and heart rate at various time points until the end of the surgery.

Results: Clonidine and labetalol were effective in reducing intraoperative bleeding compared to the control group. Grade 2 bleeding (minimal bleeding requiring intermittent suction) was the highest grade observed across all three groups and was consistently noted in all patients. Clonidine demonstrated greater efficiency in reducing systolic and diastolic blood pressure, mean arterial pressure, and heart rate compared to both labetalol and the control group.

Conclusion: Premedication with clonidine or labetalol is associated with reduced intraoperative bleeding, improved surgical field visibility, and shorter duration of tympanoplasty procedures. This may potentially lead to increased satisfaction and success rates of the operation.

Abstract Image

Abstract Image

术前口服可乐定与术中输注拉贝他洛尔治疗鼓室成形术出血的比较。
手术出血是各种外科手术中最严重的并发症之一。在中耳手术中,处理出血是麻醉师面临的一个重大挑战,因为即使是轻微的出血也会阻碍外科医生的视力并延长手术时间。我们的目的是比较术前口服可乐定与拉贝他洛尔输注对鼓室成形术中出血量的影响。材料和方法:在本双盲随机对照试验中,鼓室成形术候选人随机分为三组:可乐定组(术前1小时给予可乐定片300微克,术中灌注生理盐水)、对照组(术前1小时给予安慰剂片,术中灌注生理盐水)、拉贝他洛尔组(术前1小时给予安慰剂片,术中以0.2 mg/kg体重/小时的速度灌注拉贝他洛尔)。然后,我们评估术中出血的程度,收缩压和舒张压,平均动脉压和心率在不同的时间点,直到手术结束。结果:与对照组相比,可乐定和拉贝他洛尔能有效减少术中出血。2级出血(需要间歇抽吸的少量出血)是所有三组中观察到的最高级别,并且在所有患者中都一致注意到。与拉贝他洛尔和对照组相比,可乐定在降低收缩压和舒张压、平均动脉压和心率方面表现出更大的效率。结论:术前应用可乐定或拉贝他洛尔可减少术中出血,提高手术视野可见度,缩短鼓室成形术时间。这可能会潜在地提高手术的满意度和成功率。
本文章由计算机程序翻译,如有差异,请以英文原文为准。
求助全文
约1分钟内获得全文 求助全文
来源期刊
Iranian Journal of Otorhinolaryngology
Iranian Journal of Otorhinolaryngology Medicine-Otorhinolaryngology
CiteScore
1.30
自引率
0.00%
发文量
72
审稿时长
12 weeks
×
引用
GB/T 7714-2015
复制
MLA
复制
APA
复制
导出至
BibTeX EndNote RefMan NoteFirst NoteExpress
×
提示
您的信息不完整,为了账户安全,请先补充。
现在去补充
×
提示
您因"违规操作"
具体请查看互助需知
我知道了
×
提示
确定
请完成安全验证×
copy
已复制链接
快去分享给好友吧!
我知道了
右上角分享
点击右上角分享
0
联系我们:info@booksci.cn Book学术提供免费学术资源搜索服务,方便国内外学者检索中英文文献。致力于提供最便捷和优质的服务体验。 Copyright © 2023 布克学术 All rights reserved.
京ICP备2023020795号-1
ghs 京公网安备 11010802042870号
Book学术文献互助
Book学术文献互助群
群 号:604180095
Book学术官方微信