Mating strategy does not affect the diversification of abdominal chemicals in Heliconiini butterflies

IF 1.3 3区 环境科学与生态学 Q4 BIOCHEMISTRY & MOLECULAR BIOLOGY
Bruna Cama, Stephanie Ehlers, Harriet O’Roarty, Daiane Szczerbowski, Nicola Nadeau, Chris D. Jiggins, Stefan Schulz, W. Owen McMillan, Jane Thomas-Oates, Kanchon K. Dasmahapatra
{"title":"Mating strategy does not affect the diversification of abdominal chemicals in Heliconiini butterflies","authors":"Bruna Cama,&nbsp;Stephanie Ehlers,&nbsp;Harriet O’Roarty,&nbsp;Daiane Szczerbowski,&nbsp;Nicola Nadeau,&nbsp;Chris D. Jiggins,&nbsp;Stefan Schulz,&nbsp;W. Owen McMillan,&nbsp;Jane Thomas-Oates,&nbsp;Kanchon K. Dasmahapatra","doi":"10.1007/s00049-025-00417-w","DOIUrl":null,"url":null,"abstract":"<div><p>Antiaphrodisiacs are chemical bouquets physically delivered from male to female individuals upon copulation which discourage further mating and reduce sperm competition by rendering the female less attractive. Since antiaphrodisiacs may not offer an honest signal of female receptivity, in polyandrous species they may undergo faster diversification resulting from sexual conflict. The Heliconiini tribe of butterflies includes a polyandrous (free-mating) and a monandrous (pupal-mating) clade, both known to produce diverse antiaphrodisiac mixtures as part of their abdominal blends. Using multivariate phylogenetic comparative methods, we analyzed the genital blends of 36 Heliconiini species to test the hypothesis that blend diversity results from male-male competition in polyandry. We found no evidence for shifts in blend diversification rate corresponding to changes in mating strategy, implying male-male competition may have a weaker effect on pheromone diversification in this group than previously thought. The genital blends of most species are dominated by one of four highly volatile compounds; (<i>E</i>)-β-ocimene, octen-3-one, sulcatone and 4-hydroxycyclopent-2-en-1-one. Based on the function of (<i>E</i>)-β-ocimene as the behaviourally active antiaphrodisiac in <i>H. melpomene,</i> we propose a similar role in other species for the other volatiles. We test this hypothesis by investigating 4-hydroxycyclopent-2-en-1-one occurrence in <i>Heliconius sara.</i> While we detect no sex-based differences on its presence, we find the compound is undetectable when larvae are not fed their preferred host plant, providing an intriguing potential link between host plant and reproductive cues. This in turn shows that captive-bred samples do not always provide realistic results and this awareness is important for future experiments.</p></div>","PeriodicalId":515,"journal":{"name":"Chemoecology","volume":"35 2","pages":"73 - 87"},"PeriodicalIF":1.3000,"publicationDate":"2025-04-17","publicationTypes":"Journal Article","fieldsOfStudy":null,"isOpenAccess":false,"openAccessPdf":"https://www.ncbi.nlm.nih.gov/pmc/articles/PMC12125040/pdf/","citationCount":"0","resultStr":null,"platform":"Semanticscholar","paperid":null,"PeriodicalName":"Chemoecology","FirstCategoryId":"93","ListUrlMain":"https://link.springer.com/article/10.1007/s00049-025-00417-w","RegionNum":3,"RegionCategory":"环境科学与生态学","ArticlePicture":[],"TitleCN":null,"AbstractTextCN":null,"PMCID":null,"EPubDate":"","PubModel":"","JCR":"Q4","JCRName":"BIOCHEMISTRY & MOLECULAR BIOLOGY","Score":null,"Total":0}
引用次数: 0

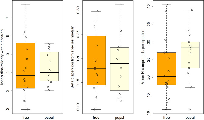
Abstract

Antiaphrodisiacs are chemical bouquets physically delivered from male to female individuals upon copulation which discourage further mating and reduce sperm competition by rendering the female less attractive. Since antiaphrodisiacs may not offer an honest signal of female receptivity, in polyandrous species they may undergo faster diversification resulting from sexual conflict. The Heliconiini tribe of butterflies includes a polyandrous (free-mating) and a monandrous (pupal-mating) clade, both known to produce diverse antiaphrodisiac mixtures as part of their abdominal blends. Using multivariate phylogenetic comparative methods, we analyzed the genital blends of 36 Heliconiini species to test the hypothesis that blend diversity results from male-male competition in polyandry. We found no evidence for shifts in blend diversification rate corresponding to changes in mating strategy, implying male-male competition may have a weaker effect on pheromone diversification in this group than previously thought. The genital blends of most species are dominated by one of four highly volatile compounds; (E)-β-ocimene, octen-3-one, sulcatone and 4-hydroxycyclopent-2-en-1-one. Based on the function of (E)-β-ocimene as the behaviourally active antiaphrodisiac in H. melpomene, we propose a similar role in other species for the other volatiles. We test this hypothesis by investigating 4-hydroxycyclopent-2-en-1-one occurrence in Heliconius sara. While we detect no sex-based differences on its presence, we find the compound is undetectable when larvae are not fed their preferred host plant, providing an intriguing potential link between host plant and reproductive cues. This in turn shows that captive-bred samples do not always provide realistic results and this awareness is important for future experiments.

Abstract Image

Abstract Image

Abstract Image

交配策略不影响蝴蝶腹部化学物质的多样性。
抗春药是一种化学花束,在交配时从雄性个体传递给雌性个体,通过降低雌性的吸引力来阻止进一步的交配,减少精子的竞争。由于抗春药可能不会提供雌性接受性的真实信号,在一妻多夫的物种中,由于两性冲突,它们可能会经历更快的多样化。蝴蝶的Heliconiini部落包括一个多雄制(自由交配)和一个单雄制(蛹交配)的分支,这两个分支都能产生多种抗春药混合物,作为它们腹部混合物的一部分。采用多变量系统发育比较方法,对36种海螺的生殖器官杂交进行了分析,以验证杂交多样性是一妻多夫制中雄性竞争的结果。我们没有发现混合多样化率的变化与交配策略的变化相对应的证据,这意味着雄性-雄性竞争对这一群体信息素多样化的影响可能比之前认为的要弱。大多数物种的生殖器混合物主要由四种高度挥发性化合物中的一种;(E)-β-辛烯,辛烯-3- 1,磺胺酮和4-羟基环戊烯-2-烯-1- 1。基于(E)-β-辛烯作为一种行为活性的抗春药的功能,我们提出了其他挥发物在其他物种中的类似作用。我们通过调查4-羟基环戊烯-2-烯-1- 1在海参中的出现来验证这一假设。虽然我们没有发现其存在的性别差异,但我们发现当幼虫不喂食其首选寄主植物时,该化合物是无法检测到的,这为寄主植物和生殖线索之间提供了一个有趣的潜在联系。这反过来表明圈养繁殖的样本并不总是提供现实的结果,这种意识对未来的实验很重要。补充信息:在线版本包含补充资料,提供地址:10.1007/s00049-025-00417-w。
本文章由计算机程序翻译,如有差异,请以英文原文为准。
求助全文
约1分钟内获得全文 求助全文
来源期刊
Chemoecology
Chemoecology 环境科学-生化与分子生物学
CiteScore
4.20
自引率
0.00%
发文量
11
审稿时长
>36 weeks
期刊介绍: It is the aim of Chemoecology to promote and stimulate basic science in the field of chemical ecology by publishing research papers that integrate evolution and/or ecology and chemistry in an attempt to increase our understanding of the biological significance of natural products. Its scopes cover the evolutionary biology, mechanisms and chemistry of biotic interactions and the evolution and synthesis of the underlying natural products. Manuscripts on the evolution and ecology of trophic relationships, intra- and interspecific communication, competition, and other kinds of chemical communication in all types of organismic interactions will be considered suitable for publication. Ecological studies of trophic interactions will be considered also if they are based on the information of the transmission of natural products (e.g. fatty acids) through the food-chain. Chemoecology further publishes papers that relate to the evolution and ecology of interactions mediated by non-volatile compounds (e.g. adhesive secretions). Mechanistic approaches may include the identification, biosynthesis and metabolism of substances that carry information and the elucidation of receptor- and transduction systems using physiological, biochemical and molecular techniques. Papers describing the structure and functional morphology of organs involved in chemical communication will also be considered.
×
引用
GB/T 7714-2015
复制
MLA
复制
APA
复制
导出至
BibTeX EndNote RefMan NoteFirst NoteExpress
×
提示
您的信息不完整,为了账户安全,请先补充。
现在去补充
×
提示
您因"违规操作"
具体请查看互助需知
我知道了
×
提示
确定
请完成安全验证×
copy
已复制链接
快去分享给好友吧!
我知道了
右上角分享
点击右上角分享
0
联系我们:info@booksci.cn Book学术提供免费学术资源搜索服务,方便国内外学者检索中英文文献。致力于提供最便捷和优质的服务体验。 Copyright © 2023 布克学术 All rights reserved.
京ICP备2023020795号-1
ghs 京公网安备 11010802042870号
Book学术文献互助
Book学术文献互助群
群 号:604180095
Book学术官方微信