Estimating optimally tailored active surveillance strategy under interval censoring.

IF 1.7 4区 数学 Q3 BIOLOGY
Biometrics Pub Date : 2025-04-02 DOI:10.1093/biomtc/ujaf067
Muxuan Liang, Yingqi Zhao, Daniel W Lin, Matthew Cooperberg, Yingye Zheng
{"title":"Estimating optimally tailored active surveillance strategy under interval censoring.","authors":"Muxuan Liang, Yingqi Zhao, Daniel W Lin, Matthew Cooperberg, Yingye Zheng","doi":"10.1093/biomtc/ujaf067","DOIUrl":null,"url":null,"abstract":"<p><p>Active surveillance (AS) using repeated biopsies to monitor disease progression has been a popular alternative to immediate surgical intervention in cancer care. However, a biopsy procedure is invasive and sometimes leads to severe side effects of infection and bleeding. To reduce the burden of repeated surveillance biopsies, biomarker-assistant decision rules are sought to replace the fix-for-all regimen with tailored biopsy intensity for individual patients. Constructing or evaluating such decision rules is challenging. The key AS outcome is often ascertained subject to interval censoring. Furthermore, patients will discontinue participation in the AS study once they receive a positive surveillance biopsy. Thus, patient dropout is affected by the outcomes of these biopsies. This work proposes a non-parametric kernel-based method to estimate a tailored AS strategy's true positive rates (TPRs) and true negative rates (TNRs), accounting for interval censoring and immediate dropouts. We develop a weighted classification framework based on these estimates to estimate the optimally tailored AS strategy and further incorporate the cost-benefit ratio for cost-effectiveness in medical decision-making. Theoretically, we provide a uniform generalization error bound of the derived AS strategy, accommodating all possible trade-offs between TPRs and TNRs. Simulation and application to a prostate cancer surveillance study show the superiority of the proposed method.</p>","PeriodicalId":8930,"journal":{"name":"Biometrics","volume":"81 2","pages":""},"PeriodicalIF":1.7000,"publicationDate":"2025-04-02","publicationTypes":"Journal Article","fieldsOfStudy":null,"isOpenAccess":false,"openAccessPdf":"https://www.ncbi.nlm.nih.gov/pmc/articles/PMC12123698/pdf/","citationCount":"0","resultStr":null,"platform":"Semanticscholar","paperid":null,"PeriodicalName":"Biometrics","FirstCategoryId":"100","ListUrlMain":"https://doi.org/10.1093/biomtc/ujaf067","RegionNum":4,"RegionCategory":"数学","ArticlePicture":[],"TitleCN":null,"AbstractTextCN":null,"PMCID":null,"EPubDate":"","PubModel":"","JCR":"Q3","JCRName":"BIOLOGY","Score":null,"Total":0}
引用次数: 0

Abstract

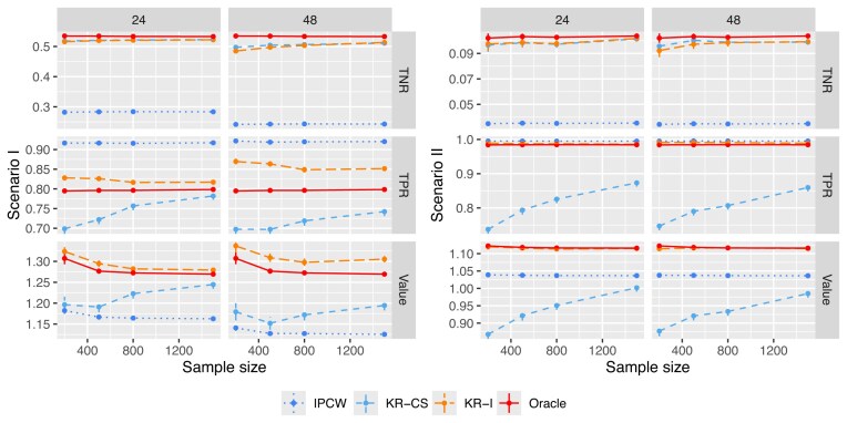
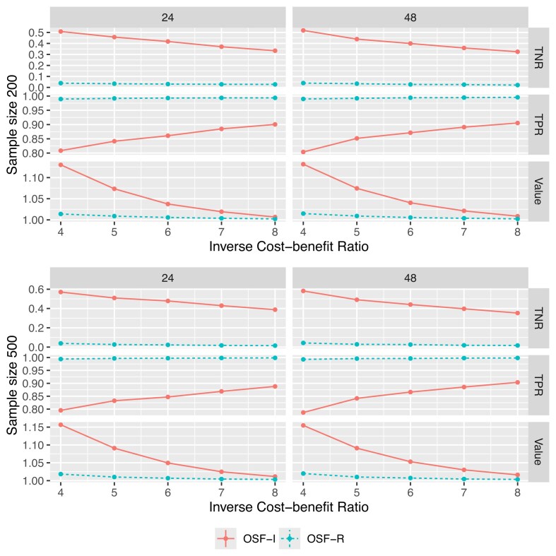
Active surveillance (AS) using repeated biopsies to monitor disease progression has been a popular alternative to immediate surgical intervention in cancer care. However, a biopsy procedure is invasive and sometimes leads to severe side effects of infection and bleeding. To reduce the burden of repeated surveillance biopsies, biomarker-assistant decision rules are sought to replace the fix-for-all regimen with tailored biopsy intensity for individual patients. Constructing or evaluating such decision rules is challenging. The key AS outcome is often ascertained subject to interval censoring. Furthermore, patients will discontinue participation in the AS study once they receive a positive surveillance biopsy. Thus, patient dropout is affected by the outcomes of these biopsies. This work proposes a non-parametric kernel-based method to estimate a tailored AS strategy's true positive rates (TPRs) and true negative rates (TNRs), accounting for interval censoring and immediate dropouts. We develop a weighted classification framework based on these estimates to estimate the optimally tailored AS strategy and further incorporate the cost-benefit ratio for cost-effectiveness in medical decision-making. Theoretically, we provide a uniform generalization error bound of the derived AS strategy, accommodating all possible trade-offs between TPRs and TNRs. Simulation and application to a prostate cancer surveillance study show the superiority of the proposed method.

Abstract Image

Abstract Image

Abstract Image

区间审查下的最优主动监控策略估计。
主动监测(AS)使用重复活检来监测疾病进展已成为癌症治疗中立即手术干预的流行替代方案。然而,活检过程是侵入性的,有时会导致严重的副作用,如感染和出血。为了减轻重复监测活检的负担,寻求生物标志物辅助决策规则,以针对个体患者量身定制活检强度来取代所有固定方案。构建或评估这样的决策规则是具有挑战性的。关键的AS结果往往要经过间隔审查才能确定。此外,一旦患者接受了阳性监测活检,他们将停止参与AS研究。因此,患者退出受这些活检结果的影响。这项工作提出了一种基于非参数核的方法来估计定制的AS策略的真阳性率(tpr)和真负率(tnr),考虑间隔审查和即时退出。我们根据这些估计开发了一个加权分类框架,以估计最佳定制的AS策略,并进一步将成本效益比纳入医疗决策的成本效益。理论上,我们为衍生的AS策略提供了统一的泛化误差界,以适应tpr和tnr之间的所有可能权衡。在前列腺癌监测研究中的仿真和应用表明了该方法的优越性。
本文章由计算机程序翻译,如有差异,请以英文原文为准。
求助全文
约1分钟内获得全文 求助全文
来源期刊
Biometrics
Biometrics 生物-生物学
CiteScore
2.70
自引率
5.30%
发文量
178
审稿时长
4-8 weeks
期刊介绍: The International Biometric Society is an international society promoting the development and application of statistical and mathematical theory and methods in the biosciences, including agriculture, biomedical science and public health, ecology, environmental sciences, forestry, and allied disciplines. The Society welcomes as members statisticians, mathematicians, biological scientists, and others devoted to interdisciplinary efforts in advancing the collection and interpretation of information in the biosciences. The Society sponsors the biennial International Biometric Conference, held in sites throughout the world; through its National Groups and Regions, it also Society sponsors regional and local meetings.
×
引用
GB/T 7714-2015
复制
MLA
复制
APA
复制
导出至
BibTeX EndNote RefMan NoteFirst NoteExpress
×
提示
您的信息不完整,为了账户安全,请先补充。
现在去补充
×
提示
您因"违规操作"
具体请查看互助需知
我知道了
×
提示
确定
请完成安全验证×
copy
已复制链接
快去分享给好友吧!
我知道了
右上角分享
点击右上角分享
0
联系我们:info@booksci.cn Book学术提供免费学术资源搜索服务,方便国内外学者检索中英文文献。致力于提供最便捷和优质的服务体验。 Copyright © 2023 布克学术 All rights reserved.
京ICP备2023020795号-1
ghs 京公网安备 11010802042870号
Book学术文献互助
Book学术文献互助群
群 号:604180095
Book学术官方微信