The Free Thyroxine-to-Thyroid Stimulating Hormone Ratio: A Potential Diagnostic Marker for Graves' Disease.

IF 1.8 Q3 ENDOCRINOLOGY & METABOLISM
International Journal of Endocrinology and Metabolism Pub Date : 2025-01-30 eCollection Date: 2025-01-01 DOI:10.5812/ijem-158565
Norashidah Binti Rahmat, Tuan Salwani Tuan Ismail, Mohd Zakwan Bin Md Muslim, Wan Mohd Saifuhisam Bin Wan Zain, Adlin Zafrulan Bin Zakaria, Mohd Yusran Bin Yusoff
{"title":"The Free Thyroxine-to-Thyroid Stimulating Hormone Ratio: A Potential Diagnostic Marker for Graves' Disease.","authors":"Norashidah Binti Rahmat, Tuan Salwani Tuan Ismail, Mohd Zakwan Bin Md Muslim, Wan Mohd Saifuhisam Bin Wan Zain, Adlin Zafrulan Bin Zakaria, Mohd Yusran Bin Yusoff","doi":"10.5812/ijem-158565","DOIUrl":null,"url":null,"abstract":"<p><strong>Background: </strong>Graves' disease (GD) is a leading cause of hyperthyroidism, characterized by excessive thyroid hormone production. Although the thyroid stimulating hormone receptor autoantibodies (TRAb) test is specific for GD, its limited accessibility often delays diagnosis and treatment, leading to potential complications. Thus, exploring alternative diagnostic markers, such as thyroid hormone ratios, may offer a feasible solution.</p><p><strong>Objectives: </strong>This study aims to assess the diagnostic accuracy of the free thyroxine-to-thyroid stimulating hormone (FT4/TSH) ratio in distinguishing GD from other non-Graves' disease (NGD) hyperthyroidism.</p><p><strong>Methods: </strong>A retrospective study was conducted at Hospital Raja Perempuan Zainab II in Kelantan, Malaysia, from 2021 to 2023. A total of 351 hyperthyroid patients who underwent initial TRAb testing during this period were included. These patients were categorized into two groups: Graves' disease and NGD hyperthyroidism, based on definitive diagnoses made by endocrinologists, as documented in the electronic medical records. Data on patients' TSH, FT4, and FT4/TSH ratios and TRAb results were retrieved from the laboratory information system (LIS) for analysis. The diagnostic accuracy of these parameters was assessed using receiver operating characteristic (ROC) curve analysis to determine optimal cut-off values, sensitivity, specificity, positive predictive values (PPVs), and negative predictive values (NPVs).</p><p><strong>Results: </strong>Patients with GD had significantly higher FT4 and FT4/TSH ratios and lower TSH levels than NGD hyperthyroid patients (P < 0.001). Receiver operating characteristic analysis identified an FT4/TSH ratio cut-off of 13948.98 pmol/mIU, yielding a specificity of 99.4%, PPV of 92.31%, and an area under the curve (AUC) of 0.740.</p><p><strong>Conclusions: </strong>The FT4/TSH ratio shows promise as an accessible diagnostic marker for GD, particularly where TRAb testing is limited. Its high specificity and PPV could facilitate timely diagnosis, improving patient management and outcomes. Further studies are needed to validate this approach in larger populations.</p>","PeriodicalId":13969,"journal":{"name":"International Journal of Endocrinology and Metabolism","volume":"23 1","pages":"e158565"},"PeriodicalIF":1.8000,"publicationDate":"2025-01-30","publicationTypes":"Journal Article","fieldsOfStudy":null,"isOpenAccess":false,"openAccessPdf":"https://www.ncbi.nlm.nih.gov/pmc/articles/PMC12118366/pdf/","citationCount":"0","resultStr":null,"platform":"Semanticscholar","paperid":null,"PeriodicalName":"International Journal of Endocrinology and Metabolism","FirstCategoryId":"3","ListUrlMain":"https://doi.org/10.5812/ijem-158565","RegionNum":0,"RegionCategory":null,"ArticlePicture":[],"TitleCN":null,"AbstractTextCN":null,"PMCID":null,"EPubDate":"2025/1/1 0:00:00","PubModel":"eCollection","JCR":"Q3","JCRName":"ENDOCRINOLOGY & METABOLISM","Score":null,"Total":0}
引用次数: 0

Abstract

Background: Graves' disease (GD) is a leading cause of hyperthyroidism, characterized by excessive thyroid hormone production. Although the thyroid stimulating hormone receptor autoantibodies (TRAb) test is specific for GD, its limited accessibility often delays diagnosis and treatment, leading to potential complications. Thus, exploring alternative diagnostic markers, such as thyroid hormone ratios, may offer a feasible solution.

Objectives: This study aims to assess the diagnostic accuracy of the free thyroxine-to-thyroid stimulating hormone (FT4/TSH) ratio in distinguishing GD from other non-Graves' disease (NGD) hyperthyroidism.

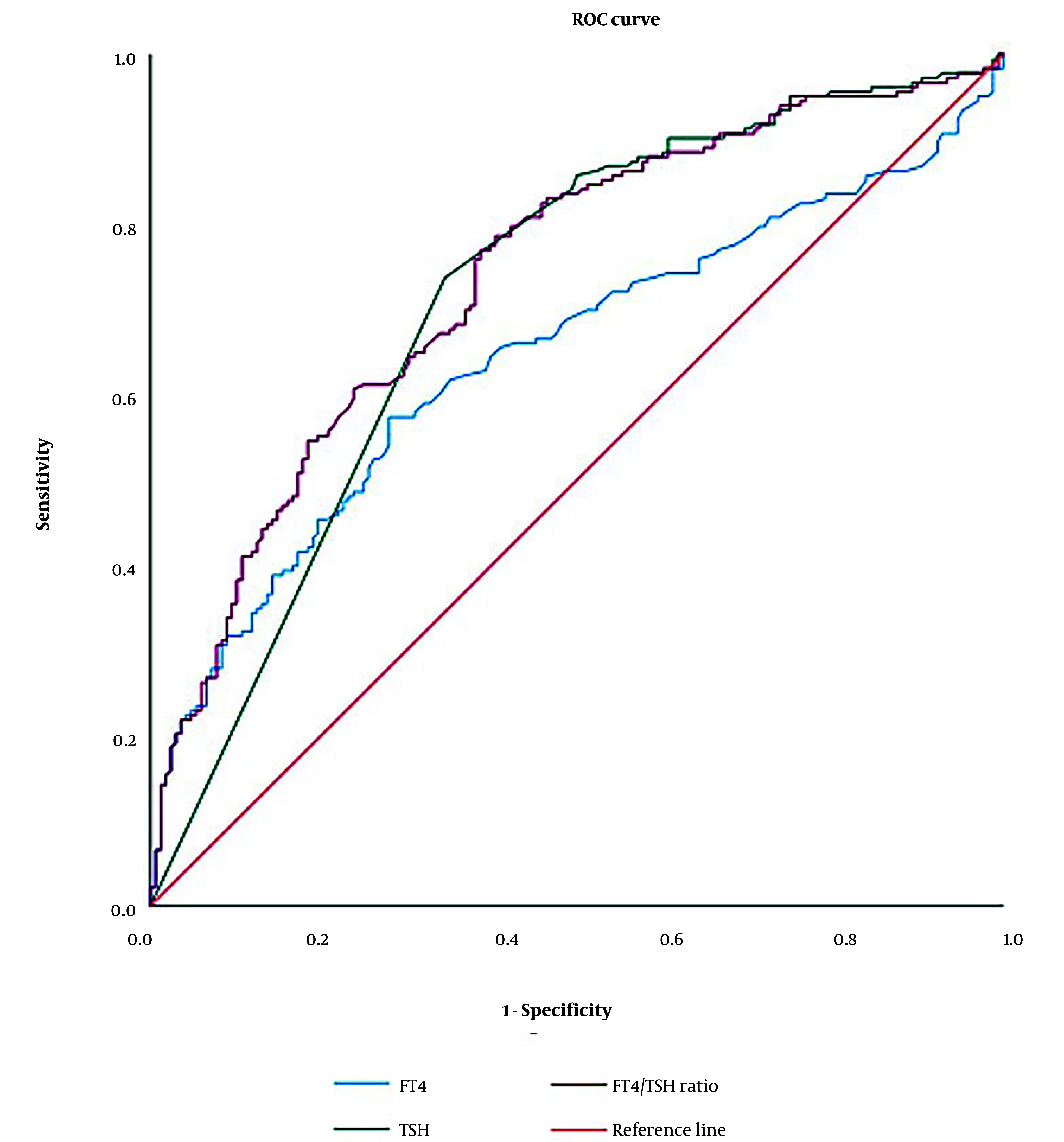
Methods: A retrospective study was conducted at Hospital Raja Perempuan Zainab II in Kelantan, Malaysia, from 2021 to 2023. A total of 351 hyperthyroid patients who underwent initial TRAb testing during this period were included. These patients were categorized into two groups: Graves' disease and NGD hyperthyroidism, based on definitive diagnoses made by endocrinologists, as documented in the electronic medical records. Data on patients' TSH, FT4, and FT4/TSH ratios and TRAb results were retrieved from the laboratory information system (LIS) for analysis. The diagnostic accuracy of these parameters was assessed using receiver operating characteristic (ROC) curve analysis to determine optimal cut-off values, sensitivity, specificity, positive predictive values (PPVs), and negative predictive values (NPVs).

Results: Patients with GD had significantly higher FT4 and FT4/TSH ratios and lower TSH levels than NGD hyperthyroid patients (P < 0.001). Receiver operating characteristic analysis identified an FT4/TSH ratio cut-off of 13948.98 pmol/mIU, yielding a specificity of 99.4%, PPV of 92.31%, and an area under the curve (AUC) of 0.740.

Conclusions: The FT4/TSH ratio shows promise as an accessible diagnostic marker for GD, particularly where TRAb testing is limited. Its high specificity and PPV could facilitate timely diagnosis, improving patient management and outcomes. Further studies are needed to validate this approach in larger populations.

Abstract Image

Abstract Image

Abstract Image

游离甲状腺素与促甲状腺激素比值:Graves病的潜在诊断指标
背景:Graves病(GD)是甲状腺功能亢进的主要原因,其特征是甲状腺激素分泌过多。虽然促甲状腺激素受体自身抗体(TRAb)测试是GD特异性的,但其有限的可及性常常延误诊断和治疗,导致潜在的并发症。因此,探索替代的诊断标记,如甲状腺激素比率,可能提供一个可行的解决方案。目的:本研究旨在评估游离甲状腺素与促甲状腺激素(FT4/TSH)比值在区分GD与其他非graves病(NGD)甲状腺功能亢进中的诊断准确性。方法:回顾性研究于2021年至2023年在马来西亚吉兰丹Raja Perempuan Zainab II医院进行。在此期间,共有351名甲状腺功能亢进患者接受了最初的TRAb检测。根据电子病历中记录的内分泌学家的明确诊断,这些患者被分为两组:格雷夫斯病和NGD甲亢。从实验室信息系统(LIS)检索患者TSH、FT4、FT4/TSH比值和TRAb结果进行分析。使用受试者工作特征(ROC)曲线分析评估这些参数的诊断准确性,以确定最佳临界值、敏感性、特异性、阳性预测值(ppv)和阴性预测值(npv)。结果:GD患者FT4和FT4/TSH比值明显高于NGD患者,TSH水平明显低于NGD患者(P < 0.001)。受试者工作特征分析确定FT4/TSH比值截止值为13948.98 pmol/mIU,特异性为99.4%,PPV为92.31%,曲线下面积(AUC)为0.740。结论:FT4/TSH比值有望作为GD的诊断标志物,特别是在TRAb检测有限的情况下。它的高特异性和PPV有助于及时诊断,改善患者管理和预后。需要进一步的研究在更大的人群中验证这种方法。
本文章由计算机程序翻译,如有差异,请以英文原文为准。
求助全文
约1分钟内获得全文 求助全文
来源期刊
CiteScore
3.10
自引率
4.80%
发文量
0
期刊介绍: The aim of the International Journal of Endocrinology and Metabolism (IJEM) is to increase knowledge, stimulate research in the field of endocrinology, and promote better management of patients with endocrinological disorders. To achieve this goal, the journal publishes original research papers on human, animal and cell culture studies relevant to endocrinology.
×
引用
GB/T 7714-2015
复制
MLA
复制
APA
复制
导出至
BibTeX EndNote RefMan NoteFirst NoteExpress
×
提示
您的信息不完整,为了账户安全,请先补充。
现在去补充
×
提示
您因"违规操作"
具体请查看互助需知
我知道了
×
提示
确定
请完成安全验证×
copy
已复制链接
快去分享给好友吧!
我知道了
右上角分享
点击右上角分享
0
联系我们:info@booksci.cn Book学术提供免费学术资源搜索服务,方便国内外学者检索中英文文献。致力于提供最便捷和优质的服务体验。 Copyright © 2023 布克学术 All rights reserved.
京ICP备2023020795号-1
ghs 京公网安备 11010802042870号
Book学术文献互助
Book学术文献互助群
群 号:604180095
Book学术官方微信