Neopterin Levels and Immune Response in Autoimmune Uveitis in an Experiment.

Korean journal of ophthalmology : KJO Pub Date : 2025-06-01 Epub Date: 2025-05-28 DOI:10.3341/kjo.2024.0118
Nadiia Kuryltsiv
{"title":"Neopterin Levels and Immune Response in Autoimmune Uveitis in an Experiment.","authors":"Nadiia Kuryltsiv","doi":"10.3341/kjo.2024.0118","DOIUrl":null,"url":null,"abstract":"<p><strong>Purpose: </strong>To study and compare the immune response and neopterin levels in the blood in experimental autoimmune uveitis (EAU).</p><p><strong>Methods: </strong>A model of EAU was created in 30 Chinchilla rabbits. Intravenous and intravitreal injections of normal horse serum were administered for this purpose. Clinical examinations and blood tests were conducted on days 3, 7, 10, 14, and 21. The blood investigation included the determination of neopterin (NP) level, white blood cell counts, lymphocytes, CD3+, CD4+, CD8+, and CD16+.</p><p><strong>Results: </strong>The peak in white blood cell count was observed on days 7 and 10 (6.4 ± 0.4 g/L and 6.0 ± 0.3 g/L, respectively), lymphocytes on day 3 (68.3% ± 2.4%, 3.0 ± 0.2 g/L), CD3+ on day 7 (64.9% ± 3.1%, 2,032.5 ± 91.2 cells/µL), CD4+ and CD16+ on day 10 (54.6% ± 3.8%, 2,462.3 ± 60.7 cells/µL and 21.8% ± 1.8%, 691.2 ± 37.1 cells/µL, respectively). All these values did not return to the initial ones. There was a gradual decrease in the CD8+ count from day 3 (12.5% ± 1.1%, 142.8 ± 9.1 cells/µL) with a subsequent gradual return towards normal levels by day 21. NP levels incresed on day 3 (5.2 ± 0.7 nmol/L), sustained on day 7 (5.2 ± 0.8 nmol/L), and started to decrease from day 10 (4.25 ± 1.7 nmol/L) to 2.3 ± 0.5 nmol/L on day 21. The highest correlation was observed between clinical manifestations and NP with a correlation coeffient of 0.799 (95% confidence interval, 0.719-0.858), which was significantly stronger (p < 0.05) than the correlations with other immune response markers.</p><p><strong>Conclusions: </strong>During the modeling of EAU, there is an active immune response and a rapid reaction of NP on inflammation. NP is a significantly more sensitive marker of intraocular inflammation than the immune response. It can serve as a predictor of the onset and development of EAU.</p>","PeriodicalId":101356,"journal":{"name":"Korean journal of ophthalmology : KJO","volume":" ","pages":"258-268"},"PeriodicalIF":0.0000,"publicationDate":"2025-06-01","publicationTypes":"Journal Article","fieldsOfStudy":null,"isOpenAccess":false,"openAccessPdf":"https://www.ncbi.nlm.nih.gov/pmc/articles/PMC12178683/pdf/","citationCount":"0","resultStr":null,"platform":"Semanticscholar","paperid":null,"PeriodicalName":"Korean journal of ophthalmology : KJO","FirstCategoryId":"1085","ListUrlMain":"https://doi.org/10.3341/kjo.2024.0118","RegionNum":0,"RegionCategory":null,"ArticlePicture":[],"TitleCN":null,"AbstractTextCN":null,"PMCID":null,"EPubDate":"2025/5/28 0:00:00","PubModel":"Epub","JCR":"","JCRName":"","Score":null,"Total":0}
引用次数: 0

Abstract

Purpose: To study and compare the immune response and neopterin levels in the blood in experimental autoimmune uveitis (EAU).

Methods: A model of EAU was created in 30 Chinchilla rabbits. Intravenous and intravitreal injections of normal horse serum were administered for this purpose. Clinical examinations and blood tests were conducted on days 3, 7, 10, 14, and 21. The blood investigation included the determination of neopterin (NP) level, white blood cell counts, lymphocytes, CD3+, CD4+, CD8+, and CD16+.

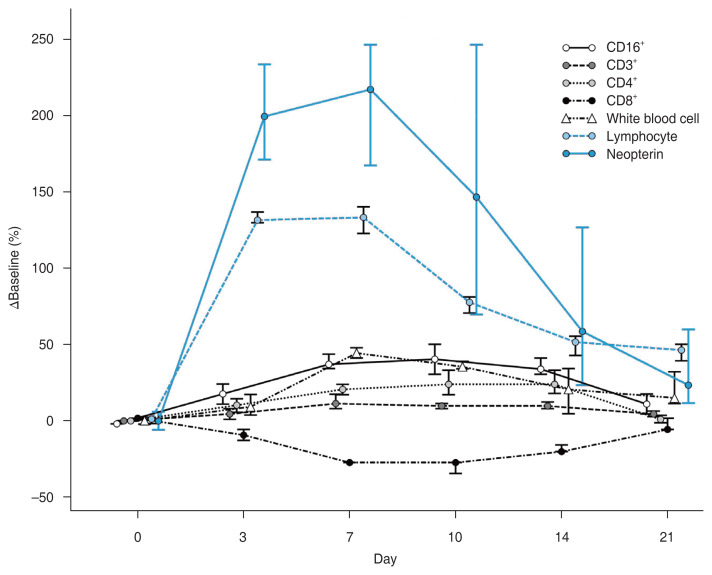
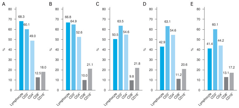
Results: The peak in white blood cell count was observed on days 7 and 10 (6.4 ± 0.4 g/L and 6.0 ± 0.3 g/L, respectively), lymphocytes on day 3 (68.3% ± 2.4%, 3.0 ± 0.2 g/L), CD3+ on day 7 (64.9% ± 3.1%, 2,032.5 ± 91.2 cells/µL), CD4+ and CD16+ on day 10 (54.6% ± 3.8%, 2,462.3 ± 60.7 cells/µL and 21.8% ± 1.8%, 691.2 ± 37.1 cells/µL, respectively). All these values did not return to the initial ones. There was a gradual decrease in the CD8+ count from day 3 (12.5% ± 1.1%, 142.8 ± 9.1 cells/µL) with a subsequent gradual return towards normal levels by day 21. NP levels incresed on day 3 (5.2 ± 0.7 nmol/L), sustained on day 7 (5.2 ± 0.8 nmol/L), and started to decrease from day 10 (4.25 ± 1.7 nmol/L) to 2.3 ± 0.5 nmol/L on day 21. The highest correlation was observed between clinical manifestations and NP with a correlation coeffient of 0.799 (95% confidence interval, 0.719-0.858), which was significantly stronger (p < 0.05) than the correlations with other immune response markers.

Conclusions: During the modeling of EAU, there is an active immune response and a rapid reaction of NP on inflammation. NP is a significantly more sensitive marker of intraocular inflammation than the immune response. It can serve as a predictor of the onset and development of EAU.

Abstract Image

Abstract Image

Abstract Image

自身免疫性葡萄膜炎患者新蝶呤水平与免疫反应的实验研究
目的:研究和比较实验性自身免疫性葡萄膜炎(EAU)患者的免疫反应和血液中新蝶呤的水平。方法:30只鼠兔建立EAU模型。正常马血清的静脉注射和玻璃体内注射是为了达到这个目的。于第3、7、10、14、21天进行临床检查和血液检查。血液检查包括新蝶呤(NP)水平、白细胞(WBC)、淋巴细胞(淋巴细胞)计数、CD3+、CD4+、CD8+和CD16+。结果:WBC计数高峰出现在第7、10天(6.4±0.4 g/l, 6.0±0.3 g/l),淋巴细胞计数高峰出现在第3天(68.3±2.4%,3,0±0.2 g/l), CD3+ -计数高峰出现在第7天(64.9±3.1%,2232.5±91.2个细胞/µl), CD4+和CD16+ -计数高峰出现在第10天(21.8±1.8%,691.2±37.1个细胞/µl)。所有这些值都没有返回到初始值。CD8+计数从第3天开始逐渐下降(12.5±1.1%,142.8±9.1个细胞/µL),随后在第21天逐渐恢复到正常水平。NP水平在第3天升高(5.2±0.7 nmol/l),第7天维持(5.2±0.8 nmol/l),第10天开始下降(4.25±1.7 nmol/l),第21天下降至2.3±0.5 nmol/l。r(临床表现/NP) = 0.80时相关性最高(95% CI: 0.72 ~ 0.86),显著高于其他免疫应答指标(p < 0.05)。结论:在EAU建模过程中,NP对炎症有积极的免疫反应和快速的反应。NP是比免疫反应更敏感的眼内炎症标志物。它可以作为EAU发病和发展的预测指标。
本文章由计算机程序翻译,如有差异,请以英文原文为准。
求助全文
约1分钟内获得全文 求助全文
来源期刊
自引率
0.00%
发文量
0
×
引用
GB/T 7714-2015
复制
MLA
复制
APA
复制
导出至
BibTeX EndNote RefMan NoteFirst NoteExpress
×
提示
您的信息不完整,为了账户安全,请先补充。
现在去补充
×
提示
您因"违规操作"
具体请查看互助需知
我知道了
×
提示
确定
请完成安全验证×
copy
已复制链接
快去分享给好友吧!
我知道了
右上角分享
点击右上角分享
0
联系我们:info@booksci.cn Book学术提供免费学术资源搜索服务,方便国内外学者检索中英文文献。致力于提供最便捷和优质的服务体验。 Copyright © 2023 布克学术 All rights reserved.
京ICP备2023020795号-1
ghs 京公网安备 11010802042870号
Book学术文献互助
Book学术文献互助群
群 号:604180095
Book学术官方微信