Glucocorticoid tapering early in the course of juvenile SLE: association with lupus low disease activity state and outcomes.

IF 3.5 2区 医学 Q1 RHEUMATOLOGY
Ozge Baba, Hakan Kısaoğlu, Dilara Unal, Umit Gul, Özge Basaran, Sezgin Sahin, Ozgur Kasapcopur, Seza Ozen, Mukaddes Kalyoncu
{"title":"Glucocorticoid tapering early in the course of juvenile SLE: association with lupus low disease activity state and outcomes.","authors":"Ozge Baba, Hakan Kısaoğlu, Dilara Unal, Umit Gul, Özge Basaran, Sezgin Sahin, Ozgur Kasapcopur, Seza Ozen, Mukaddes Kalyoncu","doi":"10.1136/lupus-2024-001415","DOIUrl":null,"url":null,"abstract":"<p><strong>Objective: </strong>To determine the feasibility and risk of flares by achieving successful glucocorticoid (GC) tapering during the first year of juvenile SLE and the value of early achievement of childhood lupus low disease activity state (cLLDAS).</p><p><strong>Methods: </strong>The medical charts of children with moderate-to-severe SLE between 2012 and 2022 were retrospectively analysed. Successful tapering was defined as the employment of a prednisolone equivalent dose, lower dose of either ≤7.5 mg/day or ≤0.15 mg/kg/day, as per the cLLDAS definition. A linear mixed-effects model was used to determine the fixed effects affecting the GC dose over the first year. Cox regression analysis was used to identify whether successful tapering increased the risk of flares, and logistic regression was used to determine the odds of flares after the twelfth month of treatment.</p><p><strong>Results: </strong>Successful GC tapering was observed in 50 out of 80 patients (62.5%) within the first year of treatment, and flares were observed in 23 (28.8%) patients. The GC tapering trajectories over time were similar based on flare observations (p>0.05). Furthermore, successful tapering did not increase the risk of flares. Additionally, patients without flares received significantly higher GC doses as the initial treatment (p=0.046). Achievement of cLLDAS was observed in 40 (50%) patients at the twelfth month; however, achievement was not protective against future flares, and positive anti-double-stranded DNA antibodies at the twelfth month increased the odds of flares (OR: 4.8, p=0.008).</p><p><strong>Conclusion: </strong>Successful GC tapering is feasible and does not increase the risk of flares during the early disease phase. However, flares are common and adversely affect GC tapering. Thus, the identification of children with an increased risk of flares on GC tapering is needed to reduce the GC burden.</p>","PeriodicalId":18126,"journal":{"name":"Lupus Science & Medicine","volume":"12 1","pages":""},"PeriodicalIF":3.5000,"publicationDate":"2025-05-27","publicationTypes":"Journal Article","fieldsOfStudy":null,"isOpenAccess":false,"openAccessPdf":"https://www.ncbi.nlm.nih.gov/pmc/articles/PMC12121582/pdf/","citationCount":"0","resultStr":null,"platform":"Semanticscholar","paperid":null,"PeriodicalName":"Lupus Science & Medicine","FirstCategoryId":"3","ListUrlMain":"https://doi.org/10.1136/lupus-2024-001415","RegionNum":2,"RegionCategory":"医学","ArticlePicture":[],"TitleCN":null,"AbstractTextCN":null,"PMCID":null,"EPubDate":"","PubModel":"","JCR":"Q1","JCRName":"RHEUMATOLOGY","Score":null,"Total":0}
引用次数: 0

Abstract

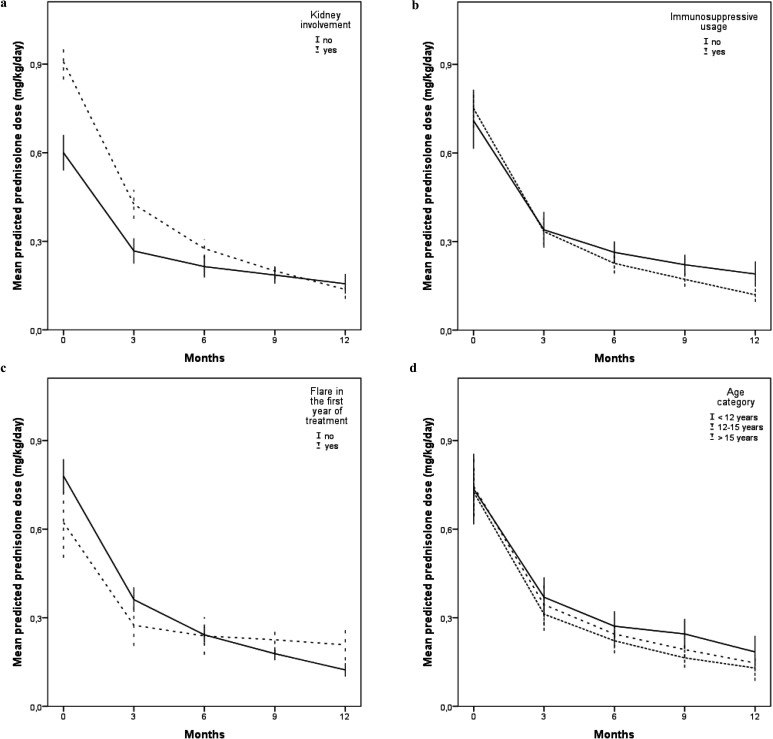
Objective: To determine the feasibility and risk of flares by achieving successful glucocorticoid (GC) tapering during the first year of juvenile SLE and the value of early achievement of childhood lupus low disease activity state (cLLDAS).

Methods: The medical charts of children with moderate-to-severe SLE between 2012 and 2022 were retrospectively analysed. Successful tapering was defined as the employment of a prednisolone equivalent dose, lower dose of either ≤7.5 mg/day or ≤0.15 mg/kg/day, as per the cLLDAS definition. A linear mixed-effects model was used to determine the fixed effects affecting the GC dose over the first year. Cox regression analysis was used to identify whether successful tapering increased the risk of flares, and logistic regression was used to determine the odds of flares after the twelfth month of treatment.

Results: Successful GC tapering was observed in 50 out of 80 patients (62.5%) within the first year of treatment, and flares were observed in 23 (28.8%) patients. The GC tapering trajectories over time were similar based on flare observations (p>0.05). Furthermore, successful tapering did not increase the risk of flares. Additionally, patients without flares received significantly higher GC doses as the initial treatment (p=0.046). Achievement of cLLDAS was observed in 40 (50%) patients at the twelfth month; however, achievement was not protective against future flares, and positive anti-double-stranded DNA antibodies at the twelfth month increased the odds of flares (OR: 4.8, p=0.008).

Conclusion: Successful GC tapering is feasible and does not increase the risk of flares during the early disease phase. However, flares are common and adversely affect GC tapering. Thus, the identification of children with an increased risk of flares on GC tapering is needed to reduce the GC burden.

Abstract Image

Abstract Image

青少年SLE病程早期糖皮质激素逐渐减少:与狼疮低疾病活动性状态和结果的关系
目的:探讨幼年狼疮第一年成功实现糖皮质激素(GC)减量治疗的可行性和风险,以及早期达到狼疮低疾病活动性状态(cLLDAS)的价值。方法:回顾性分析2012 ~ 2022年中重度SLE患儿病历。根据cLLDAS的定义,成功的逐渐减少被定义为使用泼尼松龙等效剂量,较低剂量≤7.5 mg/天或≤0.15 mg/kg/天。采用线性混合效应模型来确定第一年影响GC剂量的固定效应。采用Cox回归分析确定成功减药是否会增加耀斑发生的风险,并采用logistic回归分析确定治疗12个月后耀斑发生的几率。结果:80例患者中有50例(62.5%)在治疗一年内成功观察到GC逐渐减少,23例(28.8%)患者观察到耀斑。根据耀斑观测,GC随时间逐渐变细的轨迹相似(p>0.05)。此外,成功的减量并不会增加耀斑的风险。此外,无耀斑的患者在初始治疗时接受了显著更高的GC剂量(p=0.046)。40例(50%)患者在12个月时达到cLLDAS;然而,成绩并不能预防未来的耀斑,12个月时抗双链DNA抗体阳性增加了耀斑的几率(OR: 4.8, p=0.008)。结论:成功的GC锥形治疗是可行的,并且在疾病早期不会增加耀斑的风险。然而,耀斑是常见的,对GC逐渐变细有不利影响。因此,需要识别GC逐渐变细时耀斑风险增加的儿童,以减轻GC负担。
本文章由计算机程序翻译,如有差异,请以英文原文为准。
求助全文
约1分钟内获得全文 求助全文
来源期刊
Lupus Science & Medicine
Lupus Science & Medicine RHEUMATOLOGY-
CiteScore
5.30
自引率
7.70%
发文量
88
审稿时长
15 weeks
期刊介绍: Lupus Science & Medicine is a global, peer reviewed, open access online journal that provides a central point for publication of basic, clinical, translational, and epidemiological studies of all aspects of lupus and related diseases. It is the first lupus-specific open access journal in the world and was developed in response to the need for a barrier-free forum for publication of groundbreaking studies in lupus. The journal publishes research on lupus from fields including, but not limited to: rheumatology, dermatology, nephrology, immunology, pediatrics, cardiology, hepatology, pulmonology, obstetrics and gynecology, and psychiatry.
×
引用
GB/T 7714-2015
复制
MLA
复制
APA
复制
导出至
BibTeX EndNote RefMan NoteFirst NoteExpress
×
提示
您的信息不完整,为了账户安全,请先补充。
现在去补充
×
提示
您因"违规操作"
具体请查看互助需知
我知道了
×
提示
确定
请完成安全验证×
copy
已复制链接
快去分享给好友吧!
我知道了
右上角分享
点击右上角分享
0
联系我们:info@booksci.cn Book学术提供免费学术资源搜索服务,方便国内外学者检索中英文文献。致力于提供最便捷和优质的服务体验。 Copyright © 2023 布克学术 All rights reserved.
京ICP备2023020795号-1
ghs 京公网安备 11010802042870号
Book学术文献互助
Book学术文献互助群
群 号:604180095
Book学术官方微信