Prospective multicentre study of patients with cutaneous metastases from breast cancer treated with electrochemotherapy.

IF 3.2 3区 医学 Q2 ONCOLOGY
Francesco Russano, Giacomo Corrado, Antonio Bonadies, Emilia Migliano, Raimondo di Giacomo, Emanuela Esposito, Claudio Zamagni, Ada Ala, Luca Campana, Tommaso Fabrizio, Matteo Ghilli, Dante Palli, Mariuccia Renne, Roberta Cabula, Fabio Pelle, Barbara Silvestri, Maria Vittoria Dieci, Valentina Guarneri, Marco Rastrelli
{"title":"Prospective multicentre study of patients with cutaneous metastases from breast cancer treated with electrochemotherapy.","authors":"Francesco Russano, Giacomo Corrado, Antonio Bonadies, Emilia Migliano, Raimondo di Giacomo, Emanuela Esposito, Claudio Zamagni, Ada Ala, Luca Campana, Tommaso Fabrizio, Matteo Ghilli, Dante Palli, Mariuccia Renne, Roberta Cabula, Fabio Pelle, Barbara Silvestri, Maria Vittoria Dieci, Valentina Guarneri, Marco Rastrelli","doi":"10.1007/s10585-025-10350-5","DOIUrl":null,"url":null,"abstract":"<p><p>Electrochemotherapy (ECT) is a local treatment combining chemotherapy with electroporation. This prospective multicentre study aimed to evaluate the efficacy of ECT in the treatment of patients with skin metastases from breast cancer and confirm whether \"luminal A-like\" tumors are more responsive to treatment. One-hundred and ninety-five patients were included in the analysis. 55% achieved complete response, 27% partial response (objective response OR 82%); 12% stable disease and 5% experienced progressive disease. The analysis by tumor phenotype showed a significant better response rate in Luminal A-like (p = 0.0060) and Luminal B-like (p = 0.0271) groups compared to Triple-Negative. Patients were divided into 4 groups based on the number and size of cutaneous metastases. Higher response rate was observed in patients with small (≤ 3 cm), single or multiple, metastases (OR rate 95% and 90%, respectively); larger tumors (> 3 cm) showed an OR rate of 85%. Tumor response was not affected by the presence of distant metastases, whereas patients with large cutaneous lesions and distant metastases showed a OR rate of 58%. One-year local progression-free survival (LPFS) was 86% (C.I. 82-89%). In the multivariate analysis, patient age and response to ECT were significantly associated with longer LPFS. This study confirms the efficacy of ECT in small-volume cutaneous metastases from breast cancer regardless the presence of systemic disease and suggests higher efficacy in patients with luminal A- and luminal B-like tumors. ECT can be utilized not only as a palliative measure but also as an alternative treatment for patients not eligible for standard treatments, or in combination with them. Trial registered on https://clinicaltrials.gov/study/NCT06683404 (date of registration 11/11/2024) retrospectively registered.</p>","PeriodicalId":10267,"journal":{"name":"Clinical & Experimental Metastasis","volume":"42 4","pages":"32"},"PeriodicalIF":3.2000,"publicationDate":"2025-05-29","publicationTypes":"Journal Article","fieldsOfStudy":null,"isOpenAccess":false,"openAccessPdf":"https://www.ncbi.nlm.nih.gov/pmc/articles/PMC12122555/pdf/","citationCount":"0","resultStr":null,"platform":"Semanticscholar","paperid":null,"PeriodicalName":"Clinical & Experimental Metastasis","FirstCategoryId":"3","ListUrlMain":"https://doi.org/10.1007/s10585-025-10350-5","RegionNum":3,"RegionCategory":"医学","ArticlePicture":[],"TitleCN":null,"AbstractTextCN":null,"PMCID":null,"EPubDate":"","PubModel":"","JCR":"Q2","JCRName":"ONCOLOGY","Score":null,"Total":0}
引用次数: 0

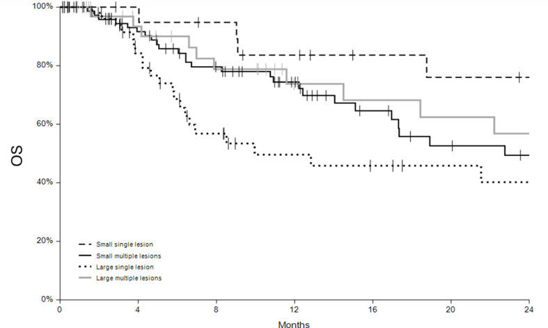
Abstract

Electrochemotherapy (ECT) is a local treatment combining chemotherapy with electroporation. This prospective multicentre study aimed to evaluate the efficacy of ECT in the treatment of patients with skin metastases from breast cancer and confirm whether "luminal A-like" tumors are more responsive to treatment. One-hundred and ninety-five patients were included in the analysis. 55% achieved complete response, 27% partial response (objective response OR 82%); 12% stable disease and 5% experienced progressive disease. The analysis by tumor phenotype showed a significant better response rate in Luminal A-like (p = 0.0060) and Luminal B-like (p = 0.0271) groups compared to Triple-Negative. Patients were divided into 4 groups based on the number and size of cutaneous metastases. Higher response rate was observed in patients with small (≤ 3 cm), single or multiple, metastases (OR rate 95% and 90%, respectively); larger tumors (> 3 cm) showed an OR rate of 85%. Tumor response was not affected by the presence of distant metastases, whereas patients with large cutaneous lesions and distant metastases showed a OR rate of 58%. One-year local progression-free survival (LPFS) was 86% (C.I. 82-89%). In the multivariate analysis, patient age and response to ECT were significantly associated with longer LPFS. This study confirms the efficacy of ECT in small-volume cutaneous metastases from breast cancer regardless the presence of systemic disease and suggests higher efficacy in patients with luminal A- and luminal B-like tumors. ECT can be utilized not only as a palliative measure but also as an alternative treatment for patients not eligible for standard treatments, or in combination with them. Trial registered on https://clinicaltrials.gov/study/NCT06683404 (date of registration 11/11/2024) retrospectively registered.

Abstract Image

Abstract Image

化疗治疗乳腺癌皮肤转移患者的前瞻性多中心研究。
电化疗(ECT)是化疗与电穿孔相结合的局部治疗方法。本前瞻性多中心研究旨在评估ECT治疗乳腺癌皮肤转移患者的疗效,并确认“腔内a样”肿瘤是否对治疗更有反应。195名患者被纳入分析。55%达到完全缓解,27%达到部分缓解(客观缓解OR 82%);12%病情稳定,5%病情进展。肿瘤表型分析显示,与三阴性组相比,Luminal a -like组(p = 0.0060)和Luminal B-like组(p = 0.0271)的有效率显著提高。根据皮肤转移灶的数量和大小将患者分为4组。较小(≤3cm)、单个或多个转移灶的有效率更高(or率分别为95%和90%);较大的肿瘤(bbb3cm) OR率为85%。肿瘤反应不受远处转移的影响,而有较大皮肤病变和远处转移的患者的OR率为58%。一年局部无进展生存期(LPFS)为86% (C.I. 82-89%)。在多变量分析中,患者的年龄和对ECT的反应与较长的LPFS显著相关。本研究证实了ECT治疗小体积乳腺癌皮肤转移的有效性,无论是否存在全身性疾病,并提示在腔内A和腔内b样肿瘤患者中疗效更高。ECT不仅可以作为一种缓解措施,还可以作为不符合标准治疗条件的患者的替代治疗,或与标准治疗相结合。试验注册于https://clinicaltrials.gov/study/NCT06683404(注册日期11/11/2024)追溯注册。
本文章由计算机程序翻译,如有差异,请以英文原文为准。
求助全文
约1分钟内获得全文 求助全文
来源期刊
CiteScore
7.80
自引率
5.00%
发文量
55
审稿时长
12 months
期刊介绍: The Journal''s scope encompasses all aspects of metastasis research, whether laboratory-based, experimental or clinical and therapeutic. It covers such areas as molecular biology, pharmacology, tumor biology, and clinical cancer treatment (with all its subdivisions of surgery, chemotherapy and radio-therapy as well as pathology and epidemiology) insofar as these disciplines are concerned with the Journal''s core subject of metastasis formation, prevention and treatment.
×
引用
GB/T 7714-2015
复制
MLA
复制
APA
复制
导出至
BibTeX EndNote RefMan NoteFirst NoteExpress
×
提示
您的信息不完整,为了账户安全,请先补充。
现在去补充
×
提示
您因"违规操作"
具体请查看互助需知
我知道了
×
提示
确定
请完成安全验证×
copy
已复制链接
快去分享给好友吧!
我知道了
右上角分享
点击右上角分享
0
联系我们:info@booksci.cn Book学术提供免费学术资源搜索服务,方便国内外学者检索中英文文献。致力于提供最便捷和优质的服务体验。 Copyright © 2023 布克学术 All rights reserved.
京ICP备2023020795号-1
ghs 京公网安备 11010802042870号
Book学术文献互助
Book学术文献互助群
群 号:604180095
Book学术官方微信