Antimicrobial resistance in the Nordics: mapping existing surveillance systems and assessing the impact of COVID-19 using regression models.

IF 4.4 2区 医学 Q1 INFECTIOUS DISEASES
Tam T Tran, Adriana Krolicka, Ananda Tiwari, Tarja Pitkänen, Rolf Lood, Ásta Margrét Ásmundsdóttir, Odd-Gunnar Wikmark
{"title":"Antimicrobial resistance in the Nordics: mapping existing surveillance systems and assessing the impact of COVID-19 using regression models.","authors":"Tam T Tran, Adriana Krolicka, Ananda Tiwari, Tarja Pitkänen, Rolf Lood, Ásta Margrét Ásmundsdóttir, Odd-Gunnar Wikmark","doi":"10.1186/s13756-025-01552-3","DOIUrl":null,"url":null,"abstract":"<p><strong>Background: </strong>Coronavirus disease 2019 (COVID-19) pandemic constituted the largest global health crisis in recent generations. It may also have disrupted the pattern of antimicrobial use (AMU) and subsequently affected the development of antimicrobial resistance (AMR) - a grave human health concern. This study aimed to give an overview of existing AMR surveillance systems and evaluate the impact of COVID-19 on AMU and AMR in the Nordics using data from these systems.</p><p><strong>Methods: </strong>Nordic AMU data (2017-2022) were extracted from national annual reports (for both humans and animals) and the European Surveillance System (TESSy) (for humans only). For humans, AMU was expressed in defined daily dose (DDD) per 1000 inhabitants per day; for animals, it was expressed in kilogram (kg). Nordic human AMR data (2017-2022) were extracted from TESSy. Multilevel linear regression and negative binomial regression models were used to fit the TESSy data. Data between 2017 and 2019 were categorised as the pre-COVID-19 time, while data between 2020 and 2022 were the per-COVID-19 time.</p><p><strong>Results: </strong>Denmark had a remarkably greater AMU in animals (about 10 times greater) than Norway, Sweden, and Finland. Iceland had the highest human AMU, while Sweden had the lowest. Drug categories, countries, and sectors were significant predictors in the model used to fit human AMU. Bacterial species and drug categories were significant predictors in the models used to fit human resistant Gram-negative and Gram-positive bacteria. The COVID-19 time was not a significant predictor in these models. Among the Nordics, Iceland had the lowest number of resistant isolates; however, high human AMU remains a great concern for Iceland.</p><p><strong>Conclusions: </strong>The study provided insight into current existing AMR surveillance systems in the Nordics. It also showed that the COVID-19 pandemic had very little impact on AMU and AMR in theses countries. This implied that strict regulations on AMU as well as well-coordinated national AMR surveillance systems in the Nordics mitigated the development of AMR crisis also during COVID-19 pandemic. However, the Nordics would still benefit further from a standardized AMR surveillance at regional level, which ultimately facilitate timely information sharing and improve our preparedness for and response to future pandemics and/or large-scale outbreaks.</p>","PeriodicalId":7950,"journal":{"name":"Antimicrobial Resistance and Infection Control","volume":"14 1","pages":"55"},"PeriodicalIF":4.4000,"publicationDate":"2025-05-28","publicationTypes":"Journal Article","fieldsOfStudy":null,"isOpenAccess":false,"openAccessPdf":"https://www.ncbi.nlm.nih.gov/pmc/articles/PMC12121021/pdf/","citationCount":"0","resultStr":null,"platform":"Semanticscholar","paperid":null,"PeriodicalName":"Antimicrobial Resistance and Infection Control","FirstCategoryId":"3","ListUrlMain":"https://doi.org/10.1186/s13756-025-01552-3","RegionNum":2,"RegionCategory":"医学","ArticlePicture":[],"TitleCN":null,"AbstractTextCN":null,"PMCID":null,"EPubDate":"","PubModel":"","JCR":"Q1","JCRName":"INFECTIOUS DISEASES","Score":null,"Total":0}
引用次数: 0

Abstract

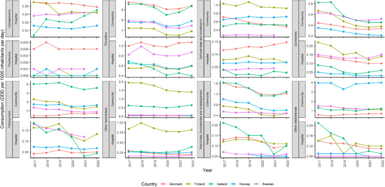
Background: Coronavirus disease 2019 (COVID-19) pandemic constituted the largest global health crisis in recent generations. It may also have disrupted the pattern of antimicrobial use (AMU) and subsequently affected the development of antimicrobial resistance (AMR) - a grave human health concern. This study aimed to give an overview of existing AMR surveillance systems and evaluate the impact of COVID-19 on AMU and AMR in the Nordics using data from these systems.

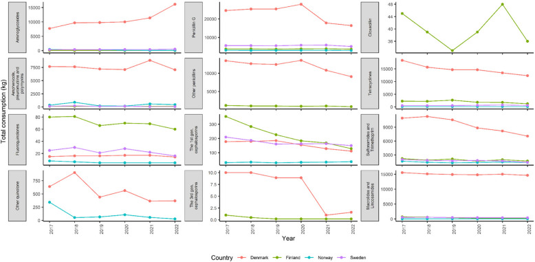
Methods: Nordic AMU data (2017-2022) were extracted from national annual reports (for both humans and animals) and the European Surveillance System (TESSy) (for humans only). For humans, AMU was expressed in defined daily dose (DDD) per 1000 inhabitants per day; for animals, it was expressed in kilogram (kg). Nordic human AMR data (2017-2022) were extracted from TESSy. Multilevel linear regression and negative binomial regression models were used to fit the TESSy data. Data between 2017 and 2019 were categorised as the pre-COVID-19 time, while data between 2020 and 2022 were the per-COVID-19 time.

Results: Denmark had a remarkably greater AMU in animals (about 10 times greater) than Norway, Sweden, and Finland. Iceland had the highest human AMU, while Sweden had the lowest. Drug categories, countries, and sectors were significant predictors in the model used to fit human AMU. Bacterial species and drug categories were significant predictors in the models used to fit human resistant Gram-negative and Gram-positive bacteria. The COVID-19 time was not a significant predictor in these models. Among the Nordics, Iceland had the lowest number of resistant isolates; however, high human AMU remains a great concern for Iceland.

Conclusions: The study provided insight into current existing AMR surveillance systems in the Nordics. It also showed that the COVID-19 pandemic had very little impact on AMU and AMR in theses countries. This implied that strict regulations on AMU as well as well-coordinated national AMR surveillance systems in the Nordics mitigated the development of AMR crisis also during COVID-19 pandemic. However, the Nordics would still benefit further from a standardized AMR surveillance at regional level, which ultimately facilitate timely information sharing and improve our preparedness for and response to future pandemics and/or large-scale outbreaks.

Abstract Image

Abstract Image

Abstract Image

北欧抗菌素耐药性:绘制现有监测系统地图并使用回归模型评估COVID-19的影响
背景:2019冠状病毒病(COVID-19)大流行构成了近几代人最大的全球健康危机。它还可能扰乱了抗菌素使用模式(AMU),并随后影响了抗菌素耐药性(AMR)的发展——这是一个严重的人类健康问题。本研究旨在概述现有的抗菌素耐药性监测系统,并利用这些系统的数据评估COVID-19对北欧国家抗菌素耐药性和抗菌素耐药性的影响。方法:北欧AMU数据(2017-2022年)提取自国家年度报告(包括人类和动物)和欧洲监测系统(TESSy)(仅限人类)。对于人类,AMU以每1000名居民每天的限定日剂量(DDD)表示;对于动物,以公斤(kg)表示。北欧人AMR数据(2017-2022)提取自TESSy。采用多水平线性回归和负二项回归模型对TESSy数据进行拟合。2017年至2019年的数据被归类为covid -19前的时间,而2020年至2022年的数据被归类为每个covid -19时间。结果:丹麦的动物AMU显著高于挪威、瑞典和芬兰(约10倍)。冰岛的人类平均寿命最高,而瑞典最低。药物类别、国家和部门是用于拟合人类AMU的模型中的重要预测因子。在拟合人类耐药革兰氏阴性和革兰氏阳性细菌的模型中,细菌种类和药物类别是重要的预测因子。在这些模型中,COVID-19时间不是一个显著的预测因子。在北欧国家中,冰岛的耐药菌株数量最少;然而,高人类AMU仍然是冰岛的一个大问题。结论:该研究提供了对北欧现有AMR监测系统的深入了解。研究还表明,新冠肺炎大流行对这些国家的AMU和AMR的影响很小。这意味着,在2019冠状病毒病大流行期间,北欧国家对抗菌素的严格监管以及协调良好的国家抗菌素耐药性监测系统也缓解了抗菌素耐药性危机的发展。然而,北欧国家仍将进一步受益于区域一级的标准化抗菌素耐药性监测,这最终有助于及时分享信息,并改善我们对未来流行病和(或)大规模疫情的准备和应对。
本文章由计算机程序翻译,如有差异,请以英文原文为准。
求助全文
约1分钟内获得全文 求助全文
来源期刊
Antimicrobial Resistance and Infection Control
Antimicrobial Resistance and Infection Control PUBLIC, ENVIRONMENTAL & OCCUPATIONAL HEALTH -INFECTIOUS DISEASES
CiteScore
9.70
自引率
3.60%
发文量
140
审稿时长
13 weeks
期刊介绍: Antimicrobial Resistance and Infection Control is a global forum for all those working on the prevention, diagnostic and treatment of health-care associated infections and antimicrobial resistance development in all health-care settings. The journal covers a broad spectrum of preeminent practices and best available data to the top interventional and translational research, and innovative developments in the field of infection control.
×
引用
GB/T 7714-2015
复制
MLA
复制
APA
复制
导出至
BibTeX EndNote RefMan NoteFirst NoteExpress
×
提示
您的信息不完整,为了账户安全,请先补充。
现在去补充
×
提示
您因"违规操作"
具体请查看互助需知
我知道了
×
提示
确定
请完成安全验证×
copy
已复制链接
快去分享给好友吧!
我知道了
右上角分享
点击右上角分享
0
联系我们:info@booksci.cn Book学术提供免费学术资源搜索服务,方便国内外学者检索中英文文献。致力于提供最便捷和优质的服务体验。 Copyright © 2023 布克学术 All rights reserved.
京ICP备2023020795号-1
ghs 京公网安备 11010802042870号
Book学术文献互助
Book学术文献互助群
群 号:604180095
Book学术官方微信