Pregnancy-Specific Glucose Management Index Predicts Preterm Birth and Pre-Eclampsia Superior to HbA1c in Women With Type 1 Diabetes Mellitus

IF 6 2区 医学 Q1 ENDOCRINOLOGY & METABOLISM
Daizhi Yang, Ping Ling, Chaofan Wang, Xueying Zheng, Hongrong Deng, Xubin Yang, Jinhua Yan, Wen Xu, Sihui Luo, Jianping Weng
{"title":"Pregnancy-Specific Glucose Management Index Predicts Preterm Birth and Pre-Eclampsia Superior to HbA1c in Women With Type 1 Diabetes Mellitus","authors":"Daizhi Yang,&nbsp;Ping Ling,&nbsp;Chaofan Wang,&nbsp;Xueying Zheng,&nbsp;Hongrong Deng,&nbsp;Xubin Yang,&nbsp;Jinhua Yan,&nbsp;Wen Xu,&nbsp;Sihui Luo,&nbsp;Jianping Weng","doi":"10.1002/dmrr.70048","DOIUrl":null,"url":null,"abstract":"<div>\n \n \n <section>\n \n <h3> Aims</h3>\n \n <p>This study aimed to evaluate the predictive accuracy of HbA1c and pregnancy-specific Glucose Management Index (GMI) in forecasting adverse pregnancy outcomes for pregnancies with T1DM.</p>\n </section>\n \n <section>\n \n <h3> Materials and Methods</h3>\n \n <p>In this pre-specified secondary analysis of the CARNATION study, one hundred pregnancies with T1DM who used continuous glucose monitoring systems (CGMS) and had pregnancy outcomes were included. We compared the predictive performance of HbA1c and GMI in identifying composite adverse pregnancy outcomes (CAPO, including maternal death, pre-eclampsia, miscarriage, preterm birth, neonatal death, large for gestational age, congenital malformations, neonatal hypoglycemia, and admission to the neonatal intensive care unit (NICU)) among them. Log-bin regression and receiver operating characteristic curves were utilised for the analysis.</p>\n </section>\n \n <section>\n \n <h3> Results</h3>\n \n <p>The participants had a mean diabetes duration of 8.0 ± 6.2 years and experienced HbA1c of 6.1 ± 0.7% and GMI of 6.4 ± 0.6% during pregnancy. Among them, 2 (2.0%) had a pregnancy loss, 51 (51.0%) experienced CAPO, 29 (29.6%) foetuses were admitted to the NICU, 15 (15.3%) had a preterm birth, and 5 (5.1%) were pre-eclampsia. HbA1c and GMI were consistent predictors of NICU admission (AUC 0.72 vs. 0.67, <i>p</i> = 0.508) and CAPO (AUC 0.66 vs. 0.61, <i>p</i> = 0.385). GMI was more advantageous in predicting pre-eclampsia (AUC 0.80 vs. 0.49, <i>p</i> = 0.009) and preterm birth (AUC 0.67 vs. 0.54, <i>p</i> = 0.030) compared to HbA1c.</p>\n </section>\n \n <section>\n \n <h3> Conclusions</h3>\n \n <p>GMI, a measure reflecting shorter-term blood glucose control, has emerged as a significant biomarker for adverse perinatal outcomes in pregnancies with T1DM. Notably, GMI provides a more pronounced advantage in predicting pre-eclampsia and preterm birth.</p>\n </section>\n \n <section>\n \n <h3> Trial Registration</h3>\n \n <p>ChiCTR1900025955</p>\n </section>\n </div>","PeriodicalId":11335,"journal":{"name":"Diabetes/Metabolism Research and Reviews","volume":"41 5","pages":""},"PeriodicalIF":6.0000,"publicationDate":"2025-05-30","publicationTypes":"Journal Article","fieldsOfStudy":null,"isOpenAccess":false,"openAccessPdf":"https://onlinelibrary.wiley.com/doi/epdf/10.1002/dmrr.70048","citationCount":"0","resultStr":null,"platform":"Semanticscholar","paperid":null,"PeriodicalName":"Diabetes/Metabolism Research and Reviews","FirstCategoryId":"3","ListUrlMain":"https://onlinelibrary.wiley.com/doi/10.1002/dmrr.70048","RegionNum":2,"RegionCategory":"医学","ArticlePicture":[],"TitleCN":null,"AbstractTextCN":null,"PMCID":null,"EPubDate":"","PubModel":"","JCR":"Q1","JCRName":"ENDOCRINOLOGY & METABOLISM","Score":null,"Total":0}
引用次数: 0

Abstract

Aims

This study aimed to evaluate the predictive accuracy of HbA1c and pregnancy-specific Glucose Management Index (GMI) in forecasting adverse pregnancy outcomes for pregnancies with T1DM.

Materials and Methods

In this pre-specified secondary analysis of the CARNATION study, one hundred pregnancies with T1DM who used continuous glucose monitoring systems (CGMS) and had pregnancy outcomes were included. We compared the predictive performance of HbA1c and GMI in identifying composite adverse pregnancy outcomes (CAPO, including maternal death, pre-eclampsia, miscarriage, preterm birth, neonatal death, large for gestational age, congenital malformations, neonatal hypoglycemia, and admission to the neonatal intensive care unit (NICU)) among them. Log-bin regression and receiver operating characteristic curves were utilised for the analysis.

Results

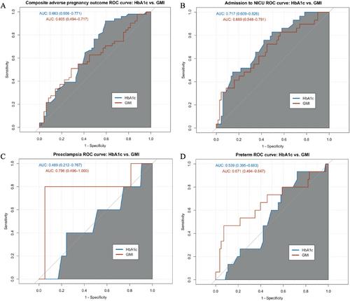
The participants had a mean diabetes duration of 8.0 ± 6.2 years and experienced HbA1c of 6.1 ± 0.7% and GMI of 6.4 ± 0.6% during pregnancy. Among them, 2 (2.0%) had a pregnancy loss, 51 (51.0%) experienced CAPO, 29 (29.6%) foetuses were admitted to the NICU, 15 (15.3%) had a preterm birth, and 5 (5.1%) were pre-eclampsia. HbA1c and GMI were consistent predictors of NICU admission (AUC 0.72 vs. 0.67, p = 0.508) and CAPO (AUC 0.66 vs. 0.61, p = 0.385). GMI was more advantageous in predicting pre-eclampsia (AUC 0.80 vs. 0.49, p = 0.009) and preterm birth (AUC 0.67 vs. 0.54, p = 0.030) compared to HbA1c.

Conclusions

GMI, a measure reflecting shorter-term blood glucose control, has emerged as a significant biomarker for adverse perinatal outcomes in pregnancies with T1DM. Notably, GMI provides a more pronounced advantage in predicting pre-eclampsia and preterm birth.

Trial Registration

ChiCTR1900025955

Abstract Image

妊娠特异性葡萄糖管理指数预测1型糖尿病妇女早产和先兆子痫优于HbA1c
目的本研究旨在评估HbA1c和妊娠特异性葡萄糖管理指数(GMI)预测T1DM妊娠不良结局的准确性。材料和方法在本预先指定的CARNATION研究的二次分析中,纳入了100例使用连续血糖监测系统(CGMS)并有妊娠结局的T1DM妊娠。我们比较了HbA1c和GMI在鉴别复合不良妊娠结局(CAPO,包括孕产妇死亡、先兆子痫、流产、早产、新生儿死亡、大胎龄、先天性畸形、新生儿低血糖和入住新生儿重症监护病房(NICU))方面的预测性能。采用Log-bin回归和受试者工作特征曲线进行分析。结果参与者的平均糖尿病病程为8.0±6.2年,妊娠期间HbA1c为6.1±0.7%,GMI为6.4±0.6%。其中流产2例(2.0%),CAPO 51例(51.0%),新生儿重症监护病房29例(29.6%),早产15例(15.3%),先兆子痫5例(5.1%)。HbA1c和GMI是NICU入院的一致预测因子(AUC 0.72 vs. 0.67, p = 0.508)和CAPO (AUC 0.66 vs. 0.61, p = 0.385)。与HbA1c相比,GMI在预测子痫前期(AUC 0.80 vs. 0.49, p = 0.009)和早产(AUC 0.67 vs. 0.54, p = 0.030)方面更有优势。结论:GMI是一种反映短期血糖控制的指标,已成为妊娠T1DM患者不良围产期结局的重要生物标志物。值得注意的是,GMI在预测先兆子痫和早产方面提供了更明显的优势。试验注册ChiCTR1900025955
本文章由计算机程序翻译,如有差异,请以英文原文为准。
求助全文
约1分钟内获得全文 求助全文
来源期刊
Diabetes/Metabolism Research and Reviews
Diabetes/Metabolism Research and Reviews 医学-内分泌学与代谢
CiteScore
17.20
自引率
2.50%
发文量
84
审稿时长
4-8 weeks
期刊介绍: Diabetes/Metabolism Research and Reviews is a premier endocrinology and metabolism journal esteemed by clinicians and researchers alike. Encompassing a wide spectrum of topics including diabetes, endocrinology, metabolism, and obesity, the journal eagerly accepts submissions ranging from clinical studies to basic and translational research, as well as reviews exploring historical progress, controversial issues, and prominent opinions in the field. Join us in advancing knowledge and understanding in the realm of diabetes and metabolism.
×
引用
GB/T 7714-2015
复制
MLA
复制
APA
复制
导出至
BibTeX EndNote RefMan NoteFirst NoteExpress
×
提示
您的信息不完整,为了账户安全,请先补充。
现在去补充
×
提示
您因"违规操作"
具体请查看互助需知
我知道了
×
提示
确定
请完成安全验证×
copy
已复制链接
快去分享给好友吧!
我知道了
右上角分享
点击右上角分享
0
联系我们:info@booksci.cn Book学术提供免费学术资源搜索服务,方便国内外学者检索中英文文献。致力于提供最便捷和优质的服务体验。 Copyright © 2023 布克学术 All rights reserved.
京ICP备2023020795号-1
ghs 京公网安备 11010802042870号
Book学术文献互助
Book学术文献互助群
群 号:604180095
Book学术官方微信