Real world evidence of dupilumab effectiveness in a Colombian cohort of patients diagnosed with severe asthma.

IF 3.1 Q2 ALLERGY
Frontiers in allergy Pub Date : 2025-05-13 eCollection Date: 2025-01-01 DOI:10.3389/falgy.2025.1564033
Abraham Alí-Munive, Josefina Zakzuk, Nelson J Alvis-Zakzuk, Elizabeth García, Claudia Diaz Bossa, Diana Jimena Cano Rosales, Fabio Bolívar, Alejandro Carreño, Paula Rodríguez-Ordoñez, Natalia Gómez-Ardila, Gabriel Patiño, Sergio Londoño, Carlos A Torres-Duque
{"title":"Real world evidence of dupilumab effectiveness in a Colombian cohort of patients diagnosed with severe asthma.","authors":"Abraham Alí-Munive, Josefina Zakzuk, Nelson J Alvis-Zakzuk, Elizabeth García, Claudia Diaz Bossa, Diana Jimena Cano Rosales, Fabio Bolívar, Alejandro Carreño, Paula Rodríguez-Ordoñez, Natalia Gómez-Ardila, Gabriel Patiño, Sergio Londoño, Carlos A Torres-Duque","doi":"10.3389/falgy.2025.1564033","DOIUrl":null,"url":null,"abstract":"<p><strong>Background: </strong>Real-world effectiveness and safety of dupilumab for asthma treatment have been evaluated in USA and Europe, but research from Latin America is lacking. We aimed to describe the effectiveness of dupilumab in terms of changes in the annual rate of asthma exacerbations (AER) and their impact on lung function in Colombian patients.</p><p><strong>Methods: </strong>Real-world, descriptive, and multi-centric (five clinical centers located in four different cities in Colombia) retrospective study that included patients aged ≥18 years with severe asthma, as defined by the GINA criteria. Data were collected from medical records of medical centers specialized in pulmonology or allergy care) spanning from 12 months before the prescription of dupilumab (baseline) to 25 months later. Follow-up data were categorized at various time points (2-4, 5-7, 8-10, 11-13, 14-18, and 19-25 months). Main outcomes were annual rates of asthma exacerbations (emergency visits or hospitalizations due to asthma), lung function measured through FEV<sub>1</sub> and percent predicted FEV<sub>1</sub> (FEV<sub>1</sub>pp), and Asthma Control Test (ACT) scores. Outcome rates were compared between baseline and follow-up data points. FeNO and absolute eosinophil counts throughout the observed period was also explored.</p><p><strong>Results: </strong>A total of 98 patients were included. At baseline, the mean AER was 0.61 ± 1.45 per adult. Lower AER were observed after one (0.11 ± 0.54) or two-years (0.08 ± 0.20) of dupilumab treatment (<i>p</i> = 0.03). FEV1 measurements after one or two years of dupilumab treatment were significantly lower than baseline (<i>p</i> = 0.03). Mean change from baseline in FEV<sub>1</sub> was 302.1 ± 481.97 ml (<i>n</i> = 19), 282.00 ± 231.99 ml (<i>n</i> = 10), and 248.18 ± 281.21 ml (<i>n</i> = 11) in the 2-4-, 11-13-, and 19-25-month follow-up periods, respectively. FEV<sub>1</sub>pp showed higher but not significant values from the 2-4-month period, with a median change of 12.5% (IQR: 0.3, 21.5). The proportion of patients with uncontrolled asthma (ACT ≤15) decreased from 68% at baseline to 19% and 20% at year-one and second year of treatment, respectively (<i>p</i> = 0.003). The proportion of patients reaching FeNO values below 25 ppb was lower after dupilumab treatment than in baseline (<i>p</i> < 0.0001). Of the total cohort (<i>n</i> = 99), 15 (15.2%) experienced an adverse event (AE). Three patients discontinued dupilumab permanently, and two discontinued dupilumab due to AEs.</p><p><strong>Conclusions: </strong>Dupilumab is an effective and well-tolerated treatment for severe asthma in Colombia, resulting in reduced exacerbations and improved asthma control, lung function, and FeNO levels.</p>","PeriodicalId":73062,"journal":{"name":"Frontiers in allergy","volume":"6 ","pages":"1564033"},"PeriodicalIF":3.1000,"publicationDate":"2025-05-13","publicationTypes":"Journal Article","fieldsOfStudy":null,"isOpenAccess":false,"openAccessPdf":"https://www.ncbi.nlm.nih.gov/pmc/articles/PMC12106408/pdf/","citationCount":"0","resultStr":null,"platform":"Semanticscholar","paperid":null,"PeriodicalName":"Frontiers in allergy","FirstCategoryId":"1085","ListUrlMain":"https://doi.org/10.3389/falgy.2025.1564033","RegionNum":0,"RegionCategory":null,"ArticlePicture":[],"TitleCN":null,"AbstractTextCN":null,"PMCID":null,"EPubDate":"2025/1/1 0:00:00","PubModel":"eCollection","JCR":"Q2","JCRName":"ALLERGY","Score":null,"Total":0}
引用次数: 0

Abstract

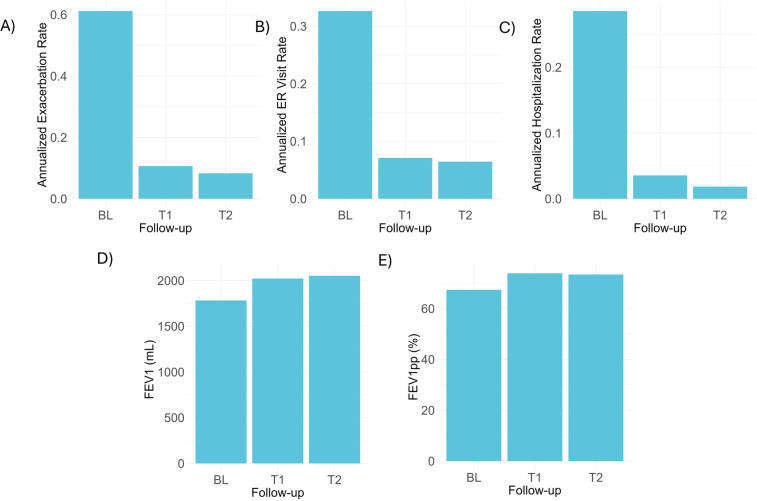
Background: Real-world effectiveness and safety of dupilumab for asthma treatment have been evaluated in USA and Europe, but research from Latin America is lacking. We aimed to describe the effectiveness of dupilumab in terms of changes in the annual rate of asthma exacerbations (AER) and their impact on lung function in Colombian patients.

Methods: Real-world, descriptive, and multi-centric (five clinical centers located in four different cities in Colombia) retrospective study that included patients aged ≥18 years with severe asthma, as defined by the GINA criteria. Data were collected from medical records of medical centers specialized in pulmonology or allergy care) spanning from 12 months before the prescription of dupilumab (baseline) to 25 months later. Follow-up data were categorized at various time points (2-4, 5-7, 8-10, 11-13, 14-18, and 19-25 months). Main outcomes were annual rates of asthma exacerbations (emergency visits or hospitalizations due to asthma), lung function measured through FEV1 and percent predicted FEV1 (FEV1pp), and Asthma Control Test (ACT) scores. Outcome rates were compared between baseline and follow-up data points. FeNO and absolute eosinophil counts throughout the observed period was also explored.

Results: A total of 98 patients were included. At baseline, the mean AER was 0.61 ± 1.45 per adult. Lower AER were observed after one (0.11 ± 0.54) or two-years (0.08 ± 0.20) of dupilumab treatment (p = 0.03). FEV1 measurements after one or two years of dupilumab treatment were significantly lower than baseline (p = 0.03). Mean change from baseline in FEV1 was 302.1 ± 481.97 ml (n = 19), 282.00 ± 231.99 ml (n = 10), and 248.18 ± 281.21 ml (n = 11) in the 2-4-, 11-13-, and 19-25-month follow-up periods, respectively. FEV1pp showed higher but not significant values from the 2-4-month period, with a median change of 12.5% (IQR: 0.3, 21.5). The proportion of patients with uncontrolled asthma (ACT ≤15) decreased from 68% at baseline to 19% and 20% at year-one and second year of treatment, respectively (p = 0.003). The proportion of patients reaching FeNO values below 25 ppb was lower after dupilumab treatment than in baseline (p < 0.0001). Of the total cohort (n = 99), 15 (15.2%) experienced an adverse event (AE). Three patients discontinued dupilumab permanently, and two discontinued dupilumab due to AEs.

Conclusions: Dupilumab is an effective and well-tolerated treatment for severe asthma in Colombia, resulting in reduced exacerbations and improved asthma control, lung function, and FeNO levels.

Abstract Image

Abstract Image

Abstract Image

dupilumab在哥伦比亚诊断为严重哮喘患者队列中的有效性的真实世界证据。
背景:dupilumab用于哮喘治疗的实际有效性和安全性已在美国和欧洲进行了评估,但缺乏来自拉丁美洲的研究。我们的目的是描述dupilumab在哥伦比亚患者哮喘加重(AER)年发生率变化方面的有效性及其对肺功能的影响。方法:真实世界、描述性和多中心(位于哥伦比亚四个不同城市的五个临床中心)回顾性研究,纳入年龄≥18岁的严重哮喘患者,根据GINA标准定义。数据收集自肺病学或过敏护理专业医疗中心的医疗记录,时间跨度为用药前12个月(基线)至用药后25个月。随访数据在不同时间点(2-4、5-7、8-10、11-13、14-18和19-25个月)进行分类。主要结果是哮喘加重的年发生率(因哮喘而急诊或住院),通过FEV1测量的肺功能和预测FEV1的百分比(FEV1pp),以及哮喘控制测试(ACT)分数。结果率在基线和随访数据点之间进行比较。在整个观察期间也探讨了FeNO和绝对嗜酸性粒细胞计数。结果:共纳入98例患者。基线时,平均AER为每名成人0.61±1.45。dupilumab治疗1年(0.11±0.54)或2年(0.08±0.20)后AER降低(p = 0.03)。dupilumab治疗1年或2年后FEV1测量值显著低于基线(p = 0.03)。随访2-4个月、11-13个月和19-25个月,FEV1与基线相比的平均变化分别为302.1±481.97 ml (n = 19)、282.00±231.99 ml (n = 10)和248.18±281.21 ml (n = 11)。FEV1pp在2-4个月期间显示较高但不显著的值,中位变化为12.5% (IQR: 0.3, 21.5)。未控制哮喘(ACT≤15)的患者比例分别从基线时的68%下降到治疗第一年和第二年的19%和20% (p = 0.003)。dupilumab治疗后FeNO值低于25 ppb的患者比例低于基线(p n = 99), 15例(15.2%)发生不良事件(AE)。3名患者永久停用杜匹单抗,2名患者因不良事件停用杜匹单抗。结论:Dupilumab是哥伦比亚严重哮喘的有效且耐受性良好的治疗方法,可减少急性发作,改善哮喘控制、肺功能和FeNO水平。
本文章由计算机程序翻译,如有差异,请以英文原文为准。
求助全文
约1分钟内获得全文 求助全文
来源期刊
CiteScore
2.80
自引率
0.00%
发文量
0
审稿时长
12 weeks
×
引用
GB/T 7714-2015
复制
MLA
复制
APA
复制
导出至
BibTeX EndNote RefMan NoteFirst NoteExpress
×
提示
您的信息不完整,为了账户安全,请先补充。
现在去补充
×
提示
您因"违规操作"
具体请查看互助需知
我知道了
×
提示
确定
请完成安全验证×
copy
已复制链接
快去分享给好友吧!
我知道了
右上角分享
点击右上角分享
0
联系我们:info@booksci.cn Book学术提供免费学术资源搜索服务,方便国内外学者检索中英文文献。致力于提供最便捷和优质的服务体验。 Copyright © 2023 布克学术 All rights reserved.
京ICP备2023020795号-1
ghs 京公网安备 11010802042870号
Book学术文献互助
Book学术文献互助群
群 号:604180095
Book学术官方微信