Atrioventricular Synchrony Algorithm Modeling of a Leadless Pacemaker Family: A Virtual Patient Analysis.

IF 1.8 4区 医学 Q3 CARDIAC & CARDIOVASCULAR SYSTEMS
Miguel A Leal, Todd Sheldon, Keelia Escalante, Mikayle Holm, Michelle Galarneau, Kurt Stromberg, Jonathan P Piccini
{"title":"Atrioventricular Synchrony Algorithm Modeling of a Leadless Pacemaker Family: A Virtual Patient Analysis.","authors":"Miguel A Leal, Todd Sheldon, Keelia Escalante, Mikayle Holm, Michelle Galarneau, Kurt Stromberg, Jonathan P Piccini","doi":"10.1007/s13239-025-00783-0","DOIUrl":null,"url":null,"abstract":"<p><strong>Purpose: </strong>To assess the impact of enhancements to the Atrioventricular Synchrony (AVS) algorithms of a next generation Micra leadless pacemaker (Micra AV2).</p><p><strong>Methods: </strong>Accelerometer data were extracted from the AccelAV clinical study and were used to create virtual patients. A series of Monte Carlo simulations were run for each virtual patient to compare an enhanced Atrial Sensing Setup algorithm and Auto + A3 Threshold algorithm vs. original algorithms. A real-world survey was also conducted to observe clinical time savings from AVS programming burden reduction.</p><p><strong>Results: </strong>The enhanced Atrial Sensing Setup in Micra AV2 devices demonstrated > 70% AVS in 27 of 30 (90%) patients while 13 of 30 (43%) Micra AV patients had > 70% AVS (p < 0.001) with no manual programming. The Micra AV2 Auto + A3 Threshold without additional manual programming demonstrated improved overall ambulatory AVS in the 80-100 bpm range (84.1%). Based upon survey results, the enhanced Atrial Sensing Setup algorithm accounted for an estimated reduction in median device check time of 13 min per patient.</p><p><strong>Conclusions: </strong>Simulation-based analyses of the Micra AV2 leadless pacemaker projected significant improvements in automatic AVS at high sinus rates and an increase in the number of patients with > 70% AVS without clinician programming. Real-world survey results reported a reduction in device check time with the improvements.</p><p><strong>Significance: </strong>Improvements in the AVS algorithms in Micra AV2 allow for better automatic AVS at higher heart rates and reduced clinic utilization burden.</p>","PeriodicalId":54322,"journal":{"name":"Cardiovascular Engineering and Technology","volume":" ","pages":"410-422"},"PeriodicalIF":1.8000,"publicationDate":"2025-08-01","publicationTypes":"Journal Article","fieldsOfStudy":null,"isOpenAccess":false,"openAccessPdf":"https://www.ncbi.nlm.nih.gov/pmc/articles/PMC12367825/pdf/","citationCount":"0","resultStr":null,"platform":"Semanticscholar","paperid":null,"PeriodicalName":"Cardiovascular Engineering and Technology","FirstCategoryId":"5","ListUrlMain":"https://doi.org/10.1007/s13239-025-00783-0","RegionNum":4,"RegionCategory":"医学","ArticlePicture":[],"TitleCN":null,"AbstractTextCN":null,"PMCID":null,"EPubDate":"2025/5/27 0:00:00","PubModel":"Epub","JCR":"Q3","JCRName":"CARDIAC & CARDIOVASCULAR SYSTEMS","Score":null,"Total":0}
引用次数: 0

Abstract

Purpose: To assess the impact of enhancements to the Atrioventricular Synchrony (AVS) algorithms of a next generation Micra leadless pacemaker (Micra AV2).

Methods: Accelerometer data were extracted from the AccelAV clinical study and were used to create virtual patients. A series of Monte Carlo simulations were run for each virtual patient to compare an enhanced Atrial Sensing Setup algorithm and Auto + A3 Threshold algorithm vs. original algorithms. A real-world survey was also conducted to observe clinical time savings from AVS programming burden reduction.

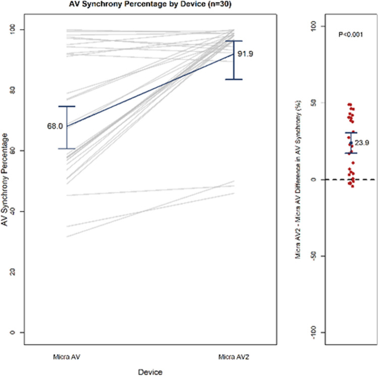
Results: The enhanced Atrial Sensing Setup in Micra AV2 devices demonstrated > 70% AVS in 27 of 30 (90%) patients while 13 of 30 (43%) Micra AV patients had > 70% AVS (p < 0.001) with no manual programming. The Micra AV2 Auto + A3 Threshold without additional manual programming demonstrated improved overall ambulatory AVS in the 80-100 bpm range (84.1%). Based upon survey results, the enhanced Atrial Sensing Setup algorithm accounted for an estimated reduction in median device check time of 13 min per patient.

Conclusions: Simulation-based analyses of the Micra AV2 leadless pacemaker projected significant improvements in automatic AVS at high sinus rates and an increase in the number of patients with > 70% AVS without clinician programming. Real-world survey results reported a reduction in device check time with the improvements.

Significance: Improvements in the AVS algorithms in Micra AV2 allow for better automatic AVS at higher heart rates and reduced clinic utilization burden.

Abstract Image

Abstract Image

Abstract Image

无导联起搏器家族的房室同步算法建模:虚拟患者分析。
目的:评估下一代Micra无导线起搏器(Micra AV2)增强房室同步(AVS)算法的影响。方法:从AccelAV临床研究中提取加速度计数据,并用于创建虚拟患者。对每个虚拟患者进行一系列蒙特卡罗模拟,以比较增强的心房传感设置算法和Auto + A3阈值算法与原始算法。还进行了一项现实世界的调查,以观察AVS编程负担减轻所节省的临床时间。结果:在30例(90%)Micra AV2装置中增强心房感应装置显示27例(90%)患者有bbb70 %的AVS,而30例(43%)Micra AV2患者中有13例(43%)有> 70%的AVS (p结论:基于模拟的Micra AV2无导联起搏器分析预测,在高窦率时自动AVS有显著改善,并且在没有临床医生规划的情况下,> 70% AVS的患者数量增加。现实世界的调查结果显示,改进后的设备检查时间减少了。意义:在Micra AV2中AVS算法的改进允许在更高心率下更好的自动AVS,并减少临床使用负担。
本文章由计算机程序翻译,如有差异,请以英文原文为准。
求助全文
约1分钟内获得全文 求助全文
来源期刊
Cardiovascular Engineering and Technology
Cardiovascular Engineering and Technology Engineering-Biomedical Engineering
CiteScore
4.00
自引率
0.00%
发文量
51
期刊介绍: Cardiovascular Engineering and Technology is a journal publishing the spectrum of basic to translational research in all aspects of cardiovascular physiology and medical treatment. It is the forum for academic and industrial investigators to disseminate research that utilizes engineering principles and methods to advance fundamental knowledge and technological solutions related to the cardiovascular system. Manuscripts spanning from subcellular to systems level topics are invited, including but not limited to implantable medical devices, hemodynamics and tissue biomechanics, functional imaging, surgical devices, electrophysiology, tissue engineering and regenerative medicine, diagnostic instruments, transport and delivery of biologics, and sensors. In addition to manuscripts describing the original publication of research, manuscripts reviewing developments in these topics or their state-of-art are also invited.
×
引用
GB/T 7714-2015
复制
MLA
复制
APA
复制
导出至
BibTeX EndNote RefMan NoteFirst NoteExpress
×
提示
您的信息不完整,为了账户安全,请先补充。
现在去补充
×
提示
您因"违规操作"
具体请查看互助需知
我知道了
×
提示
确定
请完成安全验证×
copy
已复制链接
快去分享给好友吧!
我知道了
右上角分享
点击右上角分享
0
联系我们:info@booksci.cn Book学术提供免费学术资源搜索服务,方便国内外学者检索中英文文献。致力于提供最便捷和优质的服务体验。 Copyright © 2023 布克学术 All rights reserved.
京ICP备2023020795号-1
ghs 京公网安备 11010802042870号
Book学术文献互助
Book学术文献互助群
群 号:604180095
Book学术官方微信
小红书