Minimum Dietary Diversity for Women: precision of national surveys and accuracy of brief data collection instruments.

IF 2.2 Q3 NUTRITION & DIETETICS
Giles T Hanley-Cook, Simone M Gie, Juan Pablo Parraguez, Bridget A Holmes
{"title":"Minimum Dietary Diversity for Women: precision of national surveys and accuracy of brief data collection instruments.","authors":"Giles T Hanley-Cook, Simone M Gie, Juan Pablo Parraguez, Bridget A Holmes","doi":"10.1186/s40795-025-01065-7","DOIUrl":null,"url":null,"abstract":"<p><strong>Background: </strong>Minimum Dietary Diversity for Women (MDD-W) has been identified as a promising indicator for monitoring diets globally. MDD-W questionnaires have been integrated into, amongst others, the Demographic and Health Surveys (DHS) and the Gallup World Poll (GWP). Disagreement between estimates of healthy diet metrics for the same country collected in the same year is not desirable.</p><p><strong>Objectives: </strong>To determine the measurement agreement of MDD-W estimates collected through DHS and GWP (i.e., precision), to assess the impact of survey characteristics on potential discordance, and to examine the comparative validity of the brief data collection instruments used to estimate MDD-W (i.e., accuracy).</p><p><strong>Methods: </strong>Using meta-data from DHS and GWP, we quantified the percentage points (pp) difference in food group consumption and MDD-W prevalence. Furthermore, we qualitatively examined the differences of four survey characteristics: food groups and sentinel foods used in the MDD-W questionnaire, sampling framework, survey timing, and data collection modality. In addition, using data from two non-inferiority studies in Ethiopia - which used either a weighed food record (WFR) or quantitative 24-hour recall (24-HR) as the reference method - we simulated the total magnitude of errors associated with non-quantitative open or list-based 24-HRs, and subsequently compared the pp differences in simulated food group consumption and MDD-W prevalence.</p><p><strong>Results: </strong>MDD-W estimates from the GWP were significantly higher than those from the DHS in five of nine country-year sets, one difference was non-significant, and three estimates could not be statistically compared due to lack of reporting on margins of error. The absolute difference between MDD-W estimates from the DHS and GWP were >|5| pp for all country-year sets (range: -17 to + 21 pp). There was poor agreement between the DHS and GWP questionnaires regarding the choice and number of sentinel foods used for each food group in the same country (range: 21 to 65%). In general, GWP data collection covered fewer months and questionnaires were enumerated in fewer languages than the DHS, but the number of sentinel foods used per food group was more standardized across countries. Simulations indicated that the magnitude of errors associated with pilot tested non-quantitative open and extensive list-based 24-HRs were marginally lower than sentinel list-based 24-HRs in Ethiopia.</p><p><strong>Conclusion: </strong>For global monitoring, standards must be defined for the preferred data collection instrument and survey platform for each healthy diet metric. This would facilitate cross-country comparability and help mitigate misinterpretations of change over time within countries and the selective reporting of national statistics. A harmonized methodology for developing, pilot testing, and continuously updating sentinel food lists is needed to further improve the accuracy of MDD-W questionnaires.</p>","PeriodicalId":36422,"journal":{"name":"BMC Nutrition","volume":"11 1","pages":"104"},"PeriodicalIF":2.2000,"publicationDate":"2025-05-27","publicationTypes":"Journal Article","fieldsOfStudy":null,"isOpenAccess":false,"openAccessPdf":"https://www.ncbi.nlm.nih.gov/pmc/articles/PMC12108042/pdf/","citationCount":"0","resultStr":null,"platform":"Semanticscholar","paperid":null,"PeriodicalName":"BMC Nutrition","FirstCategoryId":"1085","ListUrlMain":"https://doi.org/10.1186/s40795-025-01065-7","RegionNum":0,"RegionCategory":null,"ArticlePicture":[],"TitleCN":null,"AbstractTextCN":null,"PMCID":null,"EPubDate":"","PubModel":"","JCR":"Q3","JCRName":"NUTRITION & DIETETICS","Score":null,"Total":0}
引用次数: 0

Abstract

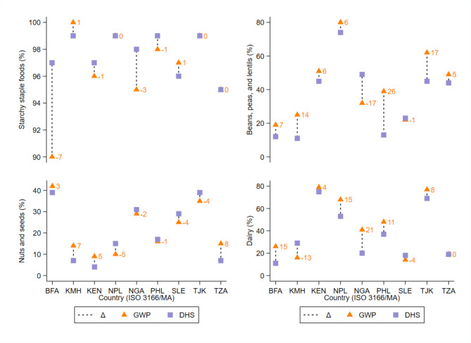
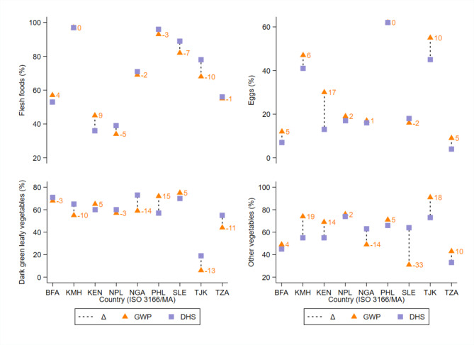
Background: Minimum Dietary Diversity for Women (MDD-W) has been identified as a promising indicator for monitoring diets globally. MDD-W questionnaires have been integrated into, amongst others, the Demographic and Health Surveys (DHS) and the Gallup World Poll (GWP). Disagreement between estimates of healthy diet metrics for the same country collected in the same year is not desirable.

Objectives: To determine the measurement agreement of MDD-W estimates collected through DHS and GWP (i.e., precision), to assess the impact of survey characteristics on potential discordance, and to examine the comparative validity of the brief data collection instruments used to estimate MDD-W (i.e., accuracy).

Methods: Using meta-data from DHS and GWP, we quantified the percentage points (pp) difference in food group consumption and MDD-W prevalence. Furthermore, we qualitatively examined the differences of four survey characteristics: food groups and sentinel foods used in the MDD-W questionnaire, sampling framework, survey timing, and data collection modality. In addition, using data from two non-inferiority studies in Ethiopia - which used either a weighed food record (WFR) or quantitative 24-hour recall (24-HR) as the reference method - we simulated the total magnitude of errors associated with non-quantitative open or list-based 24-HRs, and subsequently compared the pp differences in simulated food group consumption and MDD-W prevalence.

Results: MDD-W estimates from the GWP were significantly higher than those from the DHS in five of nine country-year sets, one difference was non-significant, and three estimates could not be statistically compared due to lack of reporting on margins of error. The absolute difference between MDD-W estimates from the DHS and GWP were >|5| pp for all country-year sets (range: -17 to + 21 pp). There was poor agreement between the DHS and GWP questionnaires regarding the choice and number of sentinel foods used for each food group in the same country (range: 21 to 65%). In general, GWP data collection covered fewer months and questionnaires were enumerated in fewer languages than the DHS, but the number of sentinel foods used per food group was more standardized across countries. Simulations indicated that the magnitude of errors associated with pilot tested non-quantitative open and extensive list-based 24-HRs were marginally lower than sentinel list-based 24-HRs in Ethiopia.

Conclusion: For global monitoring, standards must be defined for the preferred data collection instrument and survey platform for each healthy diet metric. This would facilitate cross-country comparability and help mitigate misinterpretations of change over time within countries and the selective reporting of national statistics. A harmonized methodology for developing, pilot testing, and continuously updating sentinel food lists is needed to further improve the accuracy of MDD-W questionnaires.

Abstract Image

Abstract Image

Abstract Image

妇女饮食多样性的最低限度:国家调查的准确性和简短数据收集工具的准确性。
背景:妇女最低膳食多样性(MDD-W)已被确定为监测全球饮食的一个有希望的指标。除其他外,MDD-W调查问卷已纳入人口与健康调查和盖洛普世界民意调查。同一年份收集的同一国家健康饮食指标估计值之间存在分歧是不可取的。目的:确定通过DHS和GWP收集的MDD-W估计的测量一致性(即精度),评估调查特征对潜在不一致性的影响,并检查用于估计MDD-W的简短数据收集工具的相对有效性(即准确性)。方法:使用来自DHS和GWP的元数据,我们量化了食物组消费和MDD-W患病率的百分点差异。此外,我们定性地检查了四个调查特征的差异:在MDD-W问卷中使用的食品组和哨兵食品,抽样框架,调查时间和数据收集方式。此外,使用来自埃塞俄比亚的两项非效性研究的数据-使用称重食物记录(WFR)或定量24小时召回(24-HR)作为参考方法-我们模拟了与非定量开放或基于列表的24-HR相关的总误差大小,随后比较了模拟食物组消费和MDD-W患病率的pp差异。结果:在9个国家/年的集合中,有5个国家/年的GWP的MDD-W估计值明显高于DHS的估计值,1个差异不显著,3个估计值由于缺乏误差范围的报告而无法进行统计比较。在所有国家/年集(范围:-17至+ 21 pp)中,DHS估算的MDD-W与GWP估算值之间的绝对差异为100亿至50亿美元/年。国土安全部和全球变暖计划问卷之间关于同一国家每个食品组使用的哨兵食品的选择和数量的一致性很差(范围:21%至65%)。总体而言,与国土安全部相比,全球变暖值数据收集的时间更短,问卷调查的语言也更少,但每个食品组使用的哨兵食品数量在各国之间更加标准化。模拟表明,在埃塞俄比亚,与试点测试的非定量开放和基于广泛清单的24小时报告相关的误差程度略低于基于哨兵清单的24小时报告。结论:在全球监测中,必须对每个健康饮食指标的首选数据收集工具和调查平台制定标准。这将促进各国之间的可比性,并有助于减轻对各国内部长期变化的误解和选择性地报告国家统计数据。为了进一步提高MDD-W调查问卷的准确性,需要一种统一的方法来制定、试点测试和不断更新监测食品清单。
本文章由计算机程序翻译,如有差异,请以英文原文为准。
求助全文
约1分钟内获得全文 求助全文
来源期刊
BMC Nutrition
BMC Nutrition Medicine-Public Health, Environmental and Occupational Health
CiteScore
2.80
自引率
0.00%
发文量
131
审稿时长
15 weeks
×
引用
GB/T 7714-2015
复制
MLA
复制
APA
复制
导出至
BibTeX EndNote RefMan NoteFirst NoteExpress
×
提示
您的信息不完整,为了账户安全,请先补充。
现在去补充
×
提示
您因"违规操作"
具体请查看互助需知
我知道了
×
提示
确定
请完成安全验证×
copy
已复制链接
快去分享给好友吧!
我知道了
右上角分享
点击右上角分享
0
联系我们:info@booksci.cn Book学术提供免费学术资源搜索服务,方便国内外学者检索中英文文献。致力于提供最便捷和优质的服务体验。 Copyright © 2023 布克学术 All rights reserved.
京ICP备2023020795号-1
ghs 京公网安备 11010802042870号
Book学术文献互助
Book学术文献互助群
群 号:604180095
Book学术官方微信