Entomopathogenic fungi Metarhizium pingshaense increases susceptibility to insecticides in highly resistant malaria mosquitoes Anopheles coluzzii.

Q1 Medicine
Wellcome Open Research Pub Date : 2025-05-22 eCollection Date: 2024-01-01 DOI:10.12688/wellcomeopenres.21238.3
Doubé Lucien Lamy, Edounou Jacques Gnambani, Issiaka Sare, Souro Abel Millogo, Fatimata Aïcha Sodre, Moussa Namountougou, Mafalda Viana, Francesco Baldini, Abdoulaye Diabaté, Etienne Bilgo
{"title":"Entomopathogenic fungi <i>Metarhizium pingshaense</i> increases susceptibility to insecticides in highly resistant malaria mosquitoes <i>Anopheles coluzzii</i>.","authors":"Doubé Lucien Lamy, Edounou Jacques Gnambani, Issiaka Sare, Souro Abel Millogo, Fatimata Aïcha Sodre, Moussa Namountougou, Mafalda Viana, Francesco Baldini, Abdoulaye Diabaté, Etienne Bilgo","doi":"10.12688/wellcomeopenres.21238.3","DOIUrl":null,"url":null,"abstract":"<p><strong>Background: </strong><i>Metarhizium</i> spp. based mosquito control products are among the most investigated and could potentially serve as promising complements to chemical insecticides. However, limited knowledge exists on the implementation of this biocontrol tool in conjunction with primary insecticide-based strategies to achieve synergy.</p><p><strong>Methods: </strong>In laboratory bioassays, we combined 10 <sup>7</sup> conidia/ml native <i>Metarhizium pingshaense</i> strains with deltamethrin standard dose in two ways : before and after insecticide exposure. For comparison, some mosquitoes were exposed to deltamethrin or fungi alone. These combinations were tested on laboratory insecticide resistant <i>Anopheles coluzzii</i>.</p><p><strong>Results: </strong>We found that <i>Metarhizium pingshaense</i> and deltamethrin could be combined to achieve greater mortality against a highly insecticide resistance colony of <i>Anopheles coluzzii</i>. Specifically, when fungi were applied earlier than deltamethrin, mosquitoes became more sensitive to insecticide with a minimum Lethal Time to kill at least 50% of mosquito population (LT50) less than 8 days. In addition, when deltamethrin exposure was followed by <i>Metarhizium</i> infection, mosquito survival was similar to <i>Metarhizium</i> alone LT50 (LT50 ~11 days).</p><p><strong>Conclusion: </strong>These findings suggest that early mosquito infection to <i>Metarhizium pingshaense</i> followed by chemical insecticide exposure synergically increased mosquito susceptibility to the insecticide in the laboratory.</p>","PeriodicalId":23677,"journal":{"name":"Wellcome Open Research","volume":"9 ","pages":"290"},"PeriodicalIF":0.0000,"publicationDate":"2025-05-22","publicationTypes":"Journal Article","fieldsOfStudy":null,"isOpenAccess":false,"openAccessPdf":"https://www.ncbi.nlm.nih.gov/pmc/articles/PMC12107690/pdf/","citationCount":"0","resultStr":null,"platform":"Semanticscholar","paperid":null,"PeriodicalName":"Wellcome Open Research","FirstCategoryId":"1085","ListUrlMain":"https://doi.org/10.12688/wellcomeopenres.21238.3","RegionNum":0,"RegionCategory":null,"ArticlePicture":[],"TitleCN":null,"AbstractTextCN":null,"PMCID":null,"EPubDate":"2024/1/1 0:00:00","PubModel":"eCollection","JCR":"Q1","JCRName":"Medicine","Score":null,"Total":0}
引用次数: 0

Abstract

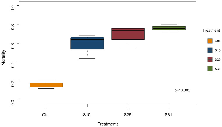
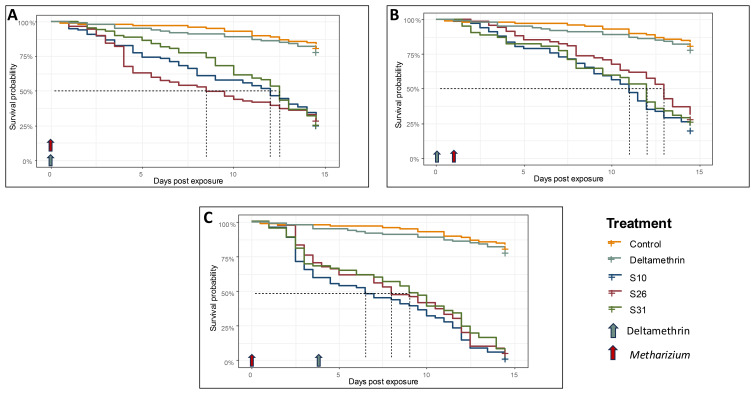
Background: Metarhizium spp. based mosquito control products are among the most investigated and could potentially serve as promising complements to chemical insecticides. However, limited knowledge exists on the implementation of this biocontrol tool in conjunction with primary insecticide-based strategies to achieve synergy.

Methods: In laboratory bioassays, we combined 10 7 conidia/ml native Metarhizium pingshaense strains with deltamethrin standard dose in two ways : before and after insecticide exposure. For comparison, some mosquitoes were exposed to deltamethrin or fungi alone. These combinations were tested on laboratory insecticide resistant Anopheles coluzzii.

Results: We found that Metarhizium pingshaense and deltamethrin could be combined to achieve greater mortality against a highly insecticide resistance colony of Anopheles coluzzii. Specifically, when fungi were applied earlier than deltamethrin, mosquitoes became more sensitive to insecticide with a minimum Lethal Time to kill at least 50% of mosquito population (LT50) less than 8 days. In addition, when deltamethrin exposure was followed by Metarhizium infection, mosquito survival was similar to Metarhizium alone LT50 (LT50 ~11 days).

Conclusion: These findings suggest that early mosquito infection to Metarhizium pingshaense followed by chemical insecticide exposure synergically increased mosquito susceptibility to the insecticide in the laboratory.

Abstract Image

Abstract Image

Abstract Image

昆虫病原真菌平山绿僵菌增加高抗性疟疾按蚊对杀虫剂的敏感性。
背景:以绿僵菌为基础的灭蚊产品是研究最多的产品之一,可能作为化学杀虫剂的有前途的补充。然而,关于将这种生物防治工具与基于杀虫剂的主要战略结合起来实现协同作用的知识有限。方法:采用实验室生物测定法,将10 7个分生孢子/ml的平山绿僵菌原生菌株与溴氰菊酯标准剂量前、后、同时三种方法联合使用。这些组合在实验室耐杀虫剂的科鲁兹按蚊上进行了试验。结果:平山绿僵菌与溴氰菊酯联用对高抗药性的科氏按蚊有较高的杀灭效果。当蚊子同时暴露于这两种物质时,没有观察到任何影响,正如对杀虫剂抗性菌落的预期那样。然而,当真菌比溴氰菊酯施用更早时,蚊虫对杀虫剂更敏感,致死时间小于8天,至少杀死50%的蚊虫(LT50)。此外,溴氰菊酯暴露后感染绿僵菌时,蚊子的存活时间与单独感染绿僵菌相似(LT50 ~11 d)。结论:蚊虫早期感染平山绿僵菌后再接触化学杀虫剂,对实验室蚊虫控制有协同作用。
本文章由计算机程序翻译,如有差异,请以英文原文为准。
求助全文
约1分钟内获得全文 求助全文
来源期刊
Wellcome Open Research
Wellcome Open Research Biochemistry, Genetics and Molecular Biology-Biochemistry, Genetics and Molecular Biology (all)
CiteScore
5.50
自引率
0.00%
发文量
426
审稿时长
1 weeks
期刊介绍: Wellcome Open Research publishes scholarly articles reporting any basic scientific, translational and clinical research that has been funded (or co-funded) by Wellcome. Each publication must have at least one author who has been, or still is, a recipient of a Wellcome grant. Articles must be original (not duplications). All research, including clinical trials, systematic reviews, software tools, method articles, and many others, is welcome and will be published irrespective of the perceived level of interest or novelty; confirmatory and negative results, as well as null studies are all suitable. See the full list of article types here. All articles are published using a fully transparent, author-driven model: the authors are solely responsible for the content of their article. Invited peer review takes place openly after publication, and the authors play a crucial role in ensuring that the article is peer-reviewed by independent experts in a timely manner. Articles that pass peer review will be indexed in PubMed and elsewhere. Wellcome Open Research is an Open Research platform: all articles are published open access; the publishing and peer-review processes are fully transparent; and authors are asked to include detailed descriptions of methods and to provide full and easy access to source data underlying the results to improve reproducibility.
×
引用
GB/T 7714-2015
复制
MLA
复制
APA
复制
导出至
BibTeX EndNote RefMan NoteFirst NoteExpress
×
提示
您的信息不完整,为了账户安全,请先补充。
现在去补充
×
提示
您因"违规操作"
具体请查看互助需知
我知道了
×
提示
确定
请完成安全验证×
copy
已复制链接
快去分享给好友吧!
我知道了
右上角分享
点击右上角分享
0
联系我们:info@booksci.cn Book学术提供免费学术资源搜索服务,方便国内外学者检索中英文文献。致力于提供最便捷和优质的服务体验。 Copyright © 2023 布克学术 All rights reserved.
京ICP备2023020795号-1
ghs 京公网安备 11010802042870号
Book学术文献互助
Book学术文献互助群
群 号:604180095
Book学术官方微信