Trajectories of plant-based dietary patterns and their sex-specific associations with cardiometabolic health among young Australian adults.

IF 5.5 1区 医学 Q1 NUTRITION & DIETETICS
Laura E Marchese, Sarah A McNaughton, Gilly A Hendrie, Priscila P Machado, Therese A O'Sullivan, Lawrence J Beilin, Trevor A Mori, Kacie M Dickinson, Katherine M Livingstone
{"title":"Trajectories of plant-based dietary patterns and their sex-specific associations with cardiometabolic health among young Australian adults.","authors":"Laura E Marchese, Sarah A McNaughton, Gilly A Hendrie, Priscila P Machado, Therese A O'Sullivan, Lawrence J Beilin, Trevor A Mori, Kacie M Dickinson, Katherine M Livingstone","doi":"10.1186/s12966-025-01765-0","DOIUrl":null,"url":null,"abstract":"<p><strong>Background: </strong>Plant-based diets are associated with favourable cardiovascular health markers. Although increasingly consumed among younger demographics, it is unclear how plant-based diet quality tracks from adolescence to young adulthood, and how this impacts cardiovascular health later in life. Thus, this study aimed to explore trajectories of plant-based dietary patterns from adolescence to young adulthood and investigate associations with cardiometabolic health markers in young Australian adults.</p><p><strong>Methods: </strong>Longitudinal data from 417 participants from the Raine Study were included. Semi-quantitative food frequency questionnaires conducted at 14, 20, and 27 years of were used to derive three plant-based diet quality index scores: an overall plant-based diet (PDI), a healthy plant-based diet (hPDI), and a less healthy plant-based diet (uPDI). Markers of cardiometabolic health included waist circumference, blood lipids, and blood pressure obtained at 14 and 28 years of age. Group-based trajectory modelling was used to describe plant-based diet quality trajectory groups from adolescence to young adulthood. Multivariate linear regression models were used to investigate associations with cardiovascular health markers.</p><p><strong>Results: </strong>Plant-based diet quality trajectory groups were different by sex, but remained relatively stable over the life stages, with participants remaining either above or below average diet quality at all time points. Associations with cardiovascular health outcomes differed between the sexes, with the hPDI having the greatest number of associations for females, and the uPDI for males. Being female with a higher hPDI score was associated with lower insulin (β = -1.11 (95% CI -2.12, -0.09)), HOMA-IR (β = -0.25 (95% CI -0.48, -0.01)), systolic blood pressure (β = -2.75 (95% CI -5.31, -0.19)), and hs-CRP (β = -1.53 (95% CI -2.82, -0.23)), and higher HDL-cholesterol (β = 0.13 (95% CI -0.03, 0.23)) compared to females with lower hPDI scores. Being male in the higher scoring uPDI group was associated with higher waist circumference (β = 3.12 (95% CI 0.61, 5.63)), waist-to-height ratio (β = 0.02 (95% CI 0.01, 0.03)), insulin (β = 1.54 (95% CI 0.33, 2.76)), HOMA-IR (β = 0.35 (95% CI 0.07, 0.63)), and hypertension status (β = 6.60 (95% CI 1.04, 42.00)) when compared to the lower scoring uPDI group.</p><p><strong>Conclusions: </strong>This study provides new insights into how plant-based diets track across adolescence into adulthood, impacting on cardiometabolic risk factors differently for males and females. Findings highlight the importance of early sex-specific interventions in adolescence to reduce future risk of cardiovascular-disease.</p>","PeriodicalId":50336,"journal":{"name":"International Journal of Behavioral Nutrition and Physical Activity","volume":"22 1","pages":"62"},"PeriodicalIF":5.5000,"publicationDate":"2025-05-27","publicationTypes":"Journal Article","fieldsOfStudy":null,"isOpenAccess":false,"openAccessPdf":"https://www.ncbi.nlm.nih.gov/pmc/articles/PMC12117903/pdf/","citationCount":"0","resultStr":null,"platform":"Semanticscholar","paperid":null,"PeriodicalName":"International Journal of Behavioral Nutrition and Physical Activity","FirstCategoryId":"3","ListUrlMain":"https://doi.org/10.1186/s12966-025-01765-0","RegionNum":1,"RegionCategory":"医学","ArticlePicture":[],"TitleCN":null,"AbstractTextCN":null,"PMCID":null,"EPubDate":"","PubModel":"","JCR":"Q1","JCRName":"NUTRITION & DIETETICS","Score":null,"Total":0}
引用次数: 0

Abstract

Background: Plant-based diets are associated with favourable cardiovascular health markers. Although increasingly consumed among younger demographics, it is unclear how plant-based diet quality tracks from adolescence to young adulthood, and how this impacts cardiovascular health later in life. Thus, this study aimed to explore trajectories of plant-based dietary patterns from adolescence to young adulthood and investigate associations with cardiometabolic health markers in young Australian adults.

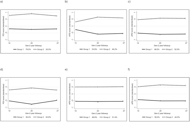
Methods: Longitudinal data from 417 participants from the Raine Study were included. Semi-quantitative food frequency questionnaires conducted at 14, 20, and 27 years of were used to derive three plant-based diet quality index scores: an overall plant-based diet (PDI), a healthy plant-based diet (hPDI), and a less healthy plant-based diet (uPDI). Markers of cardiometabolic health included waist circumference, blood lipids, and blood pressure obtained at 14 and 28 years of age. Group-based trajectory modelling was used to describe plant-based diet quality trajectory groups from adolescence to young adulthood. Multivariate linear regression models were used to investigate associations with cardiovascular health markers.

Results: Plant-based diet quality trajectory groups were different by sex, but remained relatively stable over the life stages, with participants remaining either above or below average diet quality at all time points. Associations with cardiovascular health outcomes differed between the sexes, with the hPDI having the greatest number of associations for females, and the uPDI for males. Being female with a higher hPDI score was associated with lower insulin (β = -1.11 (95% CI -2.12, -0.09)), HOMA-IR (β = -0.25 (95% CI -0.48, -0.01)), systolic blood pressure (β = -2.75 (95% CI -5.31, -0.19)), and hs-CRP (β = -1.53 (95% CI -2.82, -0.23)), and higher HDL-cholesterol (β = 0.13 (95% CI -0.03, 0.23)) compared to females with lower hPDI scores. Being male in the higher scoring uPDI group was associated with higher waist circumference (β = 3.12 (95% CI 0.61, 5.63)), waist-to-height ratio (β = 0.02 (95% CI 0.01, 0.03)), insulin (β = 1.54 (95% CI 0.33, 2.76)), HOMA-IR (β = 0.35 (95% CI 0.07, 0.63)), and hypertension status (β = 6.60 (95% CI 1.04, 42.00)) when compared to the lower scoring uPDI group.

Conclusions: This study provides new insights into how plant-based diets track across adolescence into adulthood, impacting on cardiometabolic risk factors differently for males and females. Findings highlight the importance of early sex-specific interventions in adolescence to reduce future risk of cardiovascular-disease.

Abstract Image

澳大利亚年轻人以植物为基础的饮食模式的轨迹及其与心脏代谢健康的性别特异性关联
背景:植物性饮食与有利的心血管健康指标相关。尽管越来越多的年轻人消费植物性饮食,但尚不清楚植物性饮食质量如何从青春期追踪到青年期,以及这如何影响以后的心血管健康。因此,本研究旨在探索从青春期到青年期植物性饮食模式的发展轨迹,并调查澳大利亚年轻人心脏代谢健康指标的相关性。方法:纳入来自Raine研究的417名参与者的纵向数据。在14岁、20岁和27岁时进行的半定量食物频率问卷调查用于得出三种植物性饮食质量指数得分:整体植物性饮食(PDI)、健康植物性饮食(hPDI)和不太健康的植物性饮食(uPDI)。心脏代谢健康的标志包括腰围、血脂和在14岁和28岁时获得的血压。基于群体的轨迹模型用于描述从青春期到青年期的植物性饮食质量轨迹组。多变量线性回归模型用于研究与心血管健康指标的关系。结果:植物性饮食质量轨迹组因性别而异,但在整个生命阶段保持相对稳定,参与者在所有时间点保持高于或低于平均饮食质量。与心血管健康结果的关联因性别而异,女性与hPDI的关联最多,而男性与uPDI的关联最多。与hPDI评分较低的女性相比,女性较高的hPDI评分与较低的胰岛素(β = -1.11 (95% CI -2.12, -0.09))、HOMA-IR (β = -0.25 (95% CI -0.48, -0.01))、收缩压(β = -2.75 (95% CI -5.31, -0.19))、hs-CRP (β = -1.53 (95% CI -2.82, -0.23))和较高的hdl -胆固醇(β = 0.13 (95% CI -0.03, 0.23)相关。与评分较低的uPDI组相比,较高评分uPDI组的男性腰围(β = 3.12 (95% CI 0.61, 5.63))、腰高比(β = 0.02 (95% CI 0.01, 0.03))、胰岛素(β = 1.54 (95% CI 0.33, 2.76))、HOMA-IR (β = 0.35 (95% CI 0.07, 0.63))和高血压状况(β = 6.60 (95% CI 1.04, 42.00))较高。结论:这项研究提供了新的见解,了解植物性饮食如何从青春期跟踪到成年期,对男性和女性心脏代谢风险因素的影响不同。研究结果强调了在青春期早期针对性别的干预对于降低未来心血管疾病风险的重要性。
本文章由计算机程序翻译,如有差异,请以英文原文为准。
求助全文
约1分钟内获得全文 求助全文
来源期刊
CiteScore
13.80
自引率
3.40%
发文量
138
审稿时长
4-8 weeks
期刊介绍: International Journal of Behavioral Nutrition and Physical Activity (IJBNPA) is an open access, peer-reviewed journal offering high quality articles, rapid publication and wide diffusion in the public domain. IJBNPA is devoted to furthering the understanding of the behavioral aspects of diet and physical activity and is unique in its inclusion of multiple levels of analysis, including populations, groups and individuals and its inclusion of epidemiology, and behavioral, theoretical and measurement research areas.
×
引用
GB/T 7714-2015
复制
MLA
复制
APA
复制
导出至
BibTeX EndNote RefMan NoteFirst NoteExpress
×
提示
您的信息不完整,为了账户安全,请先补充。
现在去补充
×
提示
您因"违规操作"
具体请查看互助需知
我知道了
×
提示
确定
请完成安全验证×
copy
已复制链接
快去分享给好友吧!
我知道了
右上角分享
点击右上角分享
0
联系我们:info@booksci.cn Book学术提供免费学术资源搜索服务,方便国内外学者检索中英文文献。致力于提供最便捷和优质的服务体验。 Copyright © 2023 布克学术 All rights reserved.
京ICP备2023020795号-1
ghs 京公网安备 11010802042870号
Book学术文献互助
Book学术文献互助群
群 号:604180095
Book学术官方微信