Increased risk of acute myocardial infarction in Swedish patients with systemic sclerosis: a population-based study.

IF 2.1 Q3 RHEUMATOLOGY
Rheumatology Advances in Practice Pub Date : 2025-05-09 eCollection Date: 2025-01-01 DOI:10.1093/rap/rkaf054
Majd Bairkdar, Karina Patasova, Pontus Andell, Marie Holmqvist
{"title":"Increased risk of acute myocardial infarction in Swedish patients with systemic sclerosis: a population-based study.","authors":"Majd Bairkdar, Karina Patasova, Pontus Andell, Marie Holmqvist","doi":"10.1093/rap/rkaf054","DOIUrl":null,"url":null,"abstract":"<p><strong>Objectives: </strong>To study the risk of acute myocardial infarction (AMI) in patients with SSc in a population-based cohort.</p><p><strong>Methods: </strong>Using nationwide Swedish registers, we identified patients with incident SSc 2004-19 and age- and sex-matched comparators from the general population (1:10). Our primary outcome was incident AMI or death from incident AMI. We started follow-up from SSc diagnosis until the primary outcome, death from other cause than AMI, emigration or study end (31 December 2019). We estimated crude AMI incidence rate. We used flexible parametric models to explore the relative risk of AMI over time since diagnosis. We also used age as time scale to explore how AMI risk changes over increasing age. We also studied the outcomes of AMI in SSc compared with the matched comparators.</p><p><strong>Results: </strong>We identified 1579 patients and 16 064 comparators. The incidence rate of AMI was 75.2 (95% CI 58.8-94.6) per 10 000 person-years in patients with SSc and 37.5 (95% CI 34.0-41.3) in the comparators, median follow-up was 5.2 and 6.3 years, respectively. The adjusted hazard ratio (HR) was highest during the first year after SSc diagnosis (HR 3.1, 95% CI 2.0-4.6). In patients with SSc, the risk of AMI increased more rapidly with increasing age compared with the comparators. AMI in SSc was associated with higher risk of mortality (HR 2.7, 95% CI 1.6-4.4) but not 30-day readmission (HR 1.3, 95% CI 0.7-2.0) compared with the comparators.</p><p><strong>Conclusion: </strong>In line with previous studies, SSc is associated with a 2-fold increase in AMI incidence compared with the general population.</p>","PeriodicalId":21350,"journal":{"name":"Rheumatology Advances in Practice","volume":"9 2","pages":"rkaf054"},"PeriodicalIF":2.1000,"publicationDate":"2025-05-09","publicationTypes":"Journal Article","fieldsOfStudy":null,"isOpenAccess":false,"openAccessPdf":"https://www.ncbi.nlm.nih.gov/pmc/articles/PMC12106857/pdf/","citationCount":"0","resultStr":null,"platform":"Semanticscholar","paperid":null,"PeriodicalName":"Rheumatology Advances in Practice","FirstCategoryId":"1085","ListUrlMain":"https://doi.org/10.1093/rap/rkaf054","RegionNum":0,"RegionCategory":null,"ArticlePicture":[],"TitleCN":null,"AbstractTextCN":null,"PMCID":null,"EPubDate":"2025/1/1 0:00:00","PubModel":"eCollection","JCR":"Q3","JCRName":"RHEUMATOLOGY","Score":null,"Total":0}
引用次数: 0

Abstract

Objectives: To study the risk of acute myocardial infarction (AMI) in patients with SSc in a population-based cohort.

Methods: Using nationwide Swedish registers, we identified patients with incident SSc 2004-19 and age- and sex-matched comparators from the general population (1:10). Our primary outcome was incident AMI or death from incident AMI. We started follow-up from SSc diagnosis until the primary outcome, death from other cause than AMI, emigration or study end (31 December 2019). We estimated crude AMI incidence rate. We used flexible parametric models to explore the relative risk of AMI over time since diagnosis. We also used age as time scale to explore how AMI risk changes over increasing age. We also studied the outcomes of AMI in SSc compared with the matched comparators.

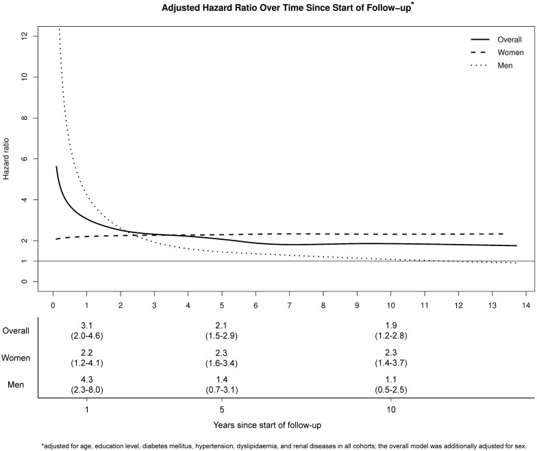
Results: We identified 1579 patients and 16 064 comparators. The incidence rate of AMI was 75.2 (95% CI 58.8-94.6) per 10 000 person-years in patients with SSc and 37.5 (95% CI 34.0-41.3) in the comparators, median follow-up was 5.2 and 6.3 years, respectively. The adjusted hazard ratio (HR) was highest during the first year after SSc diagnosis (HR 3.1, 95% CI 2.0-4.6). In patients with SSc, the risk of AMI increased more rapidly with increasing age compared with the comparators. AMI in SSc was associated with higher risk of mortality (HR 2.7, 95% CI 1.6-4.4) but not 30-day readmission (HR 1.3, 95% CI 0.7-2.0) compared with the comparators.

Conclusion: In line with previous studies, SSc is associated with a 2-fold increase in AMI incidence compared with the general population.

Abstract Image

Abstract Image

瑞典系统性硬化症患者急性心肌梗死风险增加:一项基于人群的研究
目的:研究SSc患者急性心肌梗死(AMI)的风险。方法:使用瑞典全国范围的登记册,我们从普通人群中确定2004-19年SSc事件的患者和年龄和性别匹配的比较者(1:10)。我们的主要结局是急性心肌梗塞或因急性心肌梗塞而死亡。我们从SSc诊断开始随访,直到主要结局、AMI以外的其他原因死亡、移民或研究结束(2019年12月31日)。我们估计了AMI的粗发生率。我们使用灵活的参数模型来探讨自诊断以来AMI的相对风险。我们还使用年龄作为时间尺度来探索AMI风险如何随着年龄的增长而变化。我们还研究了与匹配比较者相比,SSc的AMI结果。结果:我们确定了1579名患者和16064名比较者。SSc患者的AMI发病率为每10000人年75.2例(95% CI 58.8-94.6),对照组为每10000人年37.5例(95% CI 34.0-41.3),中位随访时间分别为5.2年和6.3年。SSc诊断后的第一年校正风险比(HR)最高(HR 3.1, 95% CI 2.0-4.6)。在SSc患者中,与对照组相比,随着年龄的增长,AMI的风险增加得更快。与比较组相比,SSc的AMI与较高的死亡率相关(HR 2.7, 95% CI 1.6-4.4),但与30天再入院无关(HR 1.3, 95% CI 0.7-2.0)。结论:与以往的研究一致,与普通人群相比,SSc与AMI发生率增加2倍相关。
本文章由计算机程序翻译,如有差异,请以英文原文为准。
求助全文
约1分钟内获得全文 求助全文
来源期刊
Rheumatology Advances in Practice
Rheumatology Advances in Practice Medicine-Rheumatology
CiteScore
3.60
自引率
3.20%
发文量
197
审稿时长
11 weeks
×
引用
GB/T 7714-2015
复制
MLA
复制
APA
复制
导出至
BibTeX EndNote RefMan NoteFirst NoteExpress
×
提示
您的信息不完整,为了账户安全,请先补充。
现在去补充
×
提示
您因"违规操作"
具体请查看互助需知
我知道了
×
提示
确定
请完成安全验证×
copy
已复制链接
快去分享给好友吧!
我知道了
右上角分享
点击右上角分享
0
联系我们:info@booksci.cn Book学术提供免费学术资源搜索服务,方便国内外学者检索中英文文献。致力于提供最便捷和优质的服务体验。 Copyright © 2023 布克学术 All rights reserved.
京ICP备2023020795号-1
ghs 京公网安备 11010802042870号
Book学术文献互助
Book学术文献互助群
群 号:604180095
Book学术官方微信