Devastating disease can cause increased breeding effort and success that improves population resilience.

IF 3.6 3区 生物学 Q1 BIOCHEMISTRY & MOLECULAR BIOLOGY
Open Biology Pub Date : 2025-05-01 Epub Date: 2025-05-28 DOI:10.1098/rsob.240385
Laura A Brannelly, Danielle K Wallace, Alexander S Wendt, Quinn Higgs, Siyu Zhang, Marcus A Hough, Ke Diao, Eleyne Ferguson, Lee Berger, Lee F Skerratt
{"title":"Devastating disease can cause increased breeding effort and success that improves population resilience.","authors":"Laura A Brannelly, Danielle K Wallace, Alexander S Wendt, Quinn Higgs, Siyu Zhang, Marcus A Hough, Ke Diao, Eleyne Ferguson, Lee Berger, Lee F Skerratt","doi":"10.1098/rsob.240385","DOIUrl":null,"url":null,"abstract":"<p><p>Novel and invasive diseases are a key threat to wildlife. The disease chytridiomycosis has had devastating global impacts, but some amphibian species can persist and even rebound after severe declines. Understanding how these species persist is critical to discovering management techniques for supporting declining species. Here, we explored the impacts of disease on reproduction in the threatened <i>Litoria verreauxii alpina</i>, investigating its effect on reproductive effort and success using a combination of laboratory-based clinical trials and field sampling through capture-mark-recapture surveys. We found that male frogs are increasing various facets of their breeding effort resulting in increased offspring. Infected male frogs (i) increased vocal sac coloration, (ii) increased sperm quality, and (iii) fathered more egg masses than uninfected males. Our research demonstrates that frogs can counteract high disease-caused mortality through enhanced breeding effort, which could lead to population persistence. Mitigation for wildlife diseases often aims to directly reduce mortality, such as through increasing host resistance or decreasing environmental suitability for the pathogen. Our work indicates that reproductive output is also important and should be considered when protecting our precious amphibians.</p>","PeriodicalId":19629,"journal":{"name":"Open Biology","volume":"15 5","pages":"240385"},"PeriodicalIF":3.6000,"publicationDate":"2025-05-01","publicationTypes":"Journal Article","fieldsOfStudy":null,"isOpenAccess":false,"openAccessPdf":"https://www.ncbi.nlm.nih.gov/pmc/articles/PMC12115809/pdf/","citationCount":"0","resultStr":null,"platform":"Semanticscholar","paperid":null,"PeriodicalName":"Open Biology","FirstCategoryId":"99","ListUrlMain":"https://doi.org/10.1098/rsob.240385","RegionNum":3,"RegionCategory":"生物学","ArticlePicture":[],"TitleCN":null,"AbstractTextCN":null,"PMCID":null,"EPubDate":"2025/5/28 0:00:00","PubModel":"Epub","JCR":"Q1","JCRName":"BIOCHEMISTRY & MOLECULAR BIOLOGY","Score":null,"Total":0}
引用次数: 0

Abstract

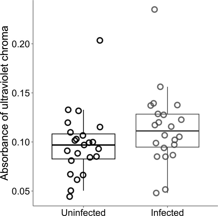
Novel and invasive diseases are a key threat to wildlife. The disease chytridiomycosis has had devastating global impacts, but some amphibian species can persist and even rebound after severe declines. Understanding how these species persist is critical to discovering management techniques for supporting declining species. Here, we explored the impacts of disease on reproduction in the threatened Litoria verreauxii alpina, investigating its effect on reproductive effort and success using a combination of laboratory-based clinical trials and field sampling through capture-mark-recapture surveys. We found that male frogs are increasing various facets of their breeding effort resulting in increased offspring. Infected male frogs (i) increased vocal sac coloration, (ii) increased sperm quality, and (iii) fathered more egg masses than uninfected males. Our research demonstrates that frogs can counteract high disease-caused mortality through enhanced breeding effort, which could lead to population persistence. Mitigation for wildlife diseases often aims to directly reduce mortality, such as through increasing host resistance or decreasing environmental suitability for the pathogen. Our work indicates that reproductive output is also important and should be considered when protecting our precious amphibians.

Abstract Image

Abstract Image

Abstract Image

毁灭性的疾病可以增加繁殖的努力和成功,从而提高种群的适应力。
新型和侵袭性疾病是对野生动物的主要威胁。壶菌病对全球造成了毁灭性的影响,但一些两栖动物物种在严重衰退后可以持续存在甚至反弹。了解这些物种是如何持续存在的,对于发现支持濒危物种的管理技术至关重要。本研究通过实验室临床试验和野外采样(捕获-标记-再捕获)相结合的方法,探讨了疾病对受威胁的高山Litoria verreauxii alpina繁殖的影响。我们发现雄性青蛙在繁殖的各个方面都在增加,从而增加了后代的数量。受感染的雄蛙(1)声囊颜色增加,(2)精子质量增加,(3)比未受感染的雄蛙产卵更多。我们的研究表明,青蛙可以通过加强繁殖努力来抵消由疾病引起的高死亡率,这可能导致种群的持久性。缓解野生动物疾病往往旨在直接降低死亡率,例如通过增强宿主抵抗力或降低病原体的环境适宜性。我们的工作表明,生殖产出也很重要,在保护我们珍贵的两栖动物时应该考虑到这一点。
本文章由计算机程序翻译,如有差异,请以英文原文为准。
求助全文
约1分钟内获得全文 求助全文
来源期刊
Open Biology
Open Biology BIOCHEMISTRY & MOLECULAR BIOLOGY-
CiteScore
10.00
自引率
1.70%
发文量
136
审稿时长
6-12 weeks
期刊介绍: Open Biology is an online journal that welcomes original, high impact research in cell and developmental biology, molecular and structural biology, biochemistry, neuroscience, immunology, microbiology and genetics.
×
引用
GB/T 7714-2015
复制
MLA
复制
APA
复制
导出至
BibTeX EndNote RefMan NoteFirst NoteExpress
×
提示
您的信息不完整,为了账户安全,请先补充。
现在去补充
×
提示
您因"违规操作"
具体请查看互助需知
我知道了
×
提示
确定
请完成安全验证×
copy
已复制链接
快去分享给好友吧!
我知道了
右上角分享
点击右上角分享
0
联系我们:info@booksci.cn Book学术提供免费学术资源搜索服务,方便国内外学者检索中英文文献。致力于提供最便捷和优质的服务体验。 Copyright © 2023 布克学术 All rights reserved.
京ICP备2023020795号-1
ghs 京公网安备 11010802042870号
Book学术文献互助
Book学术文献互助群
群 号:604180095
Book学术官方微信