Recent advancement of glucosamine and N-acetyl glucosamine production using microorganisms: A review.

IF 3.2 4区 生物学 Q2 BIOTECHNOLOGY & APPLIED MICROBIOLOGY
Anica Tasnim Protity, Shengde Zhou
{"title":"Recent advancement of glucosamine and N-acetyl glucosamine production using microorganisms: A review.","authors":"Anica Tasnim Protity, Shengde Zhou","doi":"10.1093/jimb/kuaf014","DOIUrl":null,"url":null,"abstract":"<p><p>Glucosamine (GlcN) and GlcN-based supplements, e.g. glucosamine hydrochloride, glucosamine sulfate, and N-acetyl glucosamine (GlcNAc), provide symptomatic relief to osteoarthritis patients and have been used as one of the most popular nutraceuticals. To meet the increasing demands, scientists have explored cost-effective methods for GlcN and GlcNAc production using low-cost raw materials such as seafood waste. However, the commercially available GlcN and GlcNAc production methods are environmentally harmful because of the use of toxic reagents. Moreover, the raw material used might be unsafe for consumers with shrimp allergies. On the other hand, bio-based GlcN production is gaining popularity because of its eco-friendly production approach and optimum reaction conditions. In this mini-review, we will discuss the recent developments to produce GlcN and GlcNAc through (1) the chemical and enzyme-mediated approaches of crude chitin hydrolysis, primarily obtained from shrimp and crabs; (2) the whole cell-based systems for fungal derived chitin bio-transformation and fungal fermentation; and (3) the metabolic engineering and the adaptive evolution based microbial biocatalyst for a balanced cell growth and optimal production of GlcN and GlcNAc. One-Sentence Summary: This article summarizes the mechanism of glucosamine and N-acetyl glucosamine production using bacteria, fungi, and chemical processes.</p>","PeriodicalId":16092,"journal":{"name":"Journal of Industrial Microbiology & Biotechnology","volume":" ","pages":""},"PeriodicalIF":3.2000,"publicationDate":"2024-12-31","publicationTypes":"Journal Article","fieldsOfStudy":null,"isOpenAccess":false,"openAccessPdf":"https://www.ncbi.nlm.nih.gov/pmc/articles/PMC12168751/pdf/","citationCount":"0","resultStr":null,"platform":"Semanticscholar","paperid":null,"PeriodicalName":"Journal of Industrial Microbiology & Biotechnology","FirstCategoryId":"5","ListUrlMain":"https://doi.org/10.1093/jimb/kuaf014","RegionNum":4,"RegionCategory":"生物学","ArticlePicture":[],"TitleCN":null,"AbstractTextCN":null,"PMCID":null,"EPubDate":"","PubModel":"","JCR":"Q2","JCRName":"BIOTECHNOLOGY & APPLIED MICROBIOLOGY","Score":null,"Total":0}
引用次数: 0

Abstract

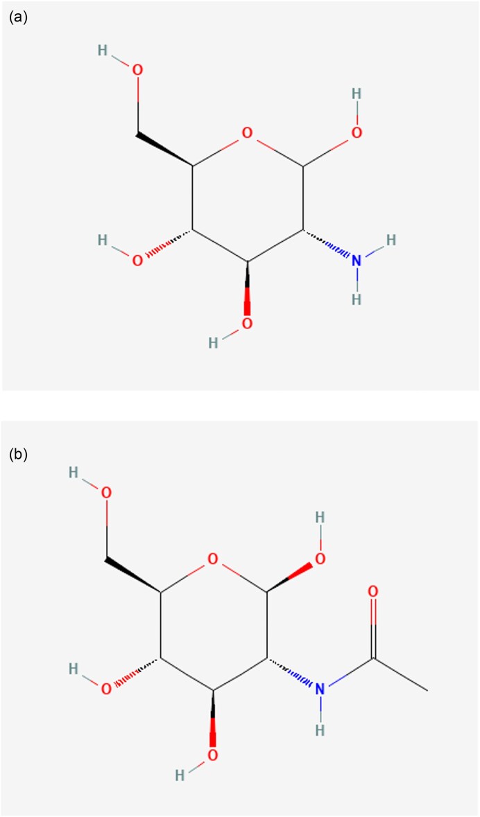
Glucosamine (GlcN) and GlcN-based supplements, e.g. glucosamine hydrochloride, glucosamine sulfate, and N-acetyl glucosamine (GlcNAc), provide symptomatic relief to osteoarthritis patients and have been used as one of the most popular nutraceuticals. To meet the increasing demands, scientists have explored cost-effective methods for GlcN and GlcNAc production using low-cost raw materials such as seafood waste. However, the commercially available GlcN and GlcNAc production methods are environmentally harmful because of the use of toxic reagents. Moreover, the raw material used might be unsafe for consumers with shrimp allergies. On the other hand, bio-based GlcN production is gaining popularity because of its eco-friendly production approach and optimum reaction conditions. In this mini-review, we will discuss the recent developments to produce GlcN and GlcNAc through (1) the chemical and enzyme-mediated approaches of crude chitin hydrolysis, primarily obtained from shrimp and crabs; (2) the whole cell-based systems for fungal derived chitin bio-transformation and fungal fermentation; and (3) the metabolic engineering and the adaptive evolution based microbial biocatalyst for a balanced cell growth and optimal production of GlcN and GlcNAc. One-Sentence Summary: This article summarizes the mechanism of glucosamine and N-acetyl glucosamine production using bacteria, fungi, and chemical processes.

Abstract Image

Abstract Image

Abstract Image

微生物生产氨基葡萄糖和n -乙酰氨基葡萄糖的研究进展
氨基葡萄糖(GlcN)和基于GlcN的补充剂,如盐酸氨基葡萄糖、硫酸氨基葡萄糖和n -乙酰氨基葡萄糖(GlcNAc),为骨关节炎患者提供症状缓解,并已被用作最受欢迎的营养保健品之一。为了满足日益增长的需求,科学家们已经探索了使用低成本的原材料(如海鲜废物)生产GlcN和GlcNAc的成本效益方法。然而,市售的GlcN和GlcNAc生产方法由于使用有毒试剂而对环境有害。此外,使用的原料可能对虾过敏的消费者不安全。另一方面,生物基谷氨酰胺生产因其环保的生产方法和最佳的反应条件而越来越受欢迎。在这篇综述中,我们将讨论通过以下途径生产GlcN和GlcNAc的最新进展:1)化学和酶介导的粗甲壳素水解方法,主要从虾和蟹中获得;2)真菌衍生几丁质生物转化和真菌发酵的全细胞体系;3)基于代谢工程和适应性进化的微生物生物催化剂,实现细胞的平衡生长和GlcN和GlcNAc的优化生产。
本文章由计算机程序翻译,如有差异,请以英文原文为准。
求助全文
约1分钟内获得全文 求助全文
来源期刊
Journal of Industrial Microbiology & Biotechnology
Journal of Industrial Microbiology & Biotechnology 工程技术-生物工程与应用微生物
CiteScore
7.70
自引率
0.00%
发文量
25
审稿时长
3 months
期刊介绍: The Journal of Industrial Microbiology and Biotechnology is an international journal which publishes papers describing original research, short communications, and critical reviews in the fields of biotechnology, fermentation and cell culture, biocatalysis, environmental microbiology, natural products discovery and biosynthesis, marine natural products, metabolic engineering, genomics, bioinformatics, food microbiology, and other areas of applied microbiology
×
引用
GB/T 7714-2015
复制
MLA
复制
APA
复制
导出至
BibTeX EndNote RefMan NoteFirst NoteExpress
×
提示
您的信息不完整,为了账户安全,请先补充。
现在去补充
×
提示
您因"违规操作"
具体请查看互助需知
我知道了
×
提示
确定
请完成安全验证×
copy
已复制链接
快去分享给好友吧!
我知道了
右上角分享
点击右上角分享
0
联系我们:info@booksci.cn Book学术提供免费学术资源搜索服务,方便国内外学者检索中英文文献。致力于提供最便捷和优质的服务体验。 Copyright © 2023 布克学术 All rights reserved.
京ICP备2023020795号-1
ghs 京公网安备 11010802042870号
Book学术文献互助
Book学术文献互助群
群 号:604180095
Book学术官方微信