Validation of the prognostic model "oncologiq palliative" for head and neck cancer patients.

IF 2.2
B N van den Besselaar, D van Klaveren, D Berzenji, A Hoesseini, J C Jansen, J A Hardillo, R J Baatenburg de Jong, M P J Offerman, A Sewnaik
{"title":"Validation of the prognostic model \"oncologiq palliative\" for head and neck cancer patients.","authors":"B N van den Besselaar, D van Klaveren, D Berzenji, A Hoesseini, J C Jansen, J A Hardillo, R J Baatenburg de Jong, M P J Offerman, A Sewnaik","doi":"10.1007/s00405-025-09462-1","DOIUrl":null,"url":null,"abstract":"<p><strong>Purpose: </strong>Patients diagnosed with incurable head and neck squamous cell carcinoma (HNSCC) have a poor prognosis, with a median survival of approximately five months. Physicians often struggle to predict prognosis accurately and tend to overestimate survival. Timely sharing of validated accurate individual information on life expectancy could aid in facilitating better patient counseling. However, this knowledge is lacking. Therefore, the aim of this study is to conduct temporal and external validation of the prognostic model OncologIQ Palliative to assess its accuracy and generalizability.</p><p><strong>Methods: </strong>The validation procedure involved temporal assessment in a retrospective cohort of 355 palliative HNSCC patients from Erasmus MC (2017-2020), followed by external validation in a retrospective cohort of 44 patients from Leiden University Medical Center (2019-2021).The discriminative ability of OncologIQ Palliative was assessed using the C-index and calibration was evaluated through graphical assessment, intercept, and slope.</p><p><strong>Results: </strong>The temporal cohort had a median follow-up of 115 days, and the external cohort 143 days. The model showed moderate discriminative ability in temporal validation (C-index 0.66) and better discrimination in external validation (C-index 0.71). Reasonable agreement was observed between predicted and observed 6-month and 1-year survival rates, with some deviations from the perfect calibration line.</p><p><strong>Conclusion: </strong>The validation methods conducted in this study underscored the reliability of OncologIQ Palliative. They showed adequate calibration and discrimination in both validation procedures, thereby facilitating the provision of more accurate prognostic counselling for head and neck cancer patients in the palliative phase.</p>","PeriodicalId":520614,"journal":{"name":"European archives of oto-rhino-laryngology : official journal of the European Federation of Oto-Rhino-Laryngological Societies (EUFOS) : affiliated with the German Society for Oto-Rhino-Laryngology - Head and Neck Surgery","volume":" ","pages":"4735-4743"},"PeriodicalIF":2.2000,"publicationDate":"2025-09-01","publicationTypes":"Journal Article","fieldsOfStudy":null,"isOpenAccess":false,"openAccessPdf":"https://www.ncbi.nlm.nih.gov/pmc/articles/PMC12423115/pdf/","citationCount":"0","resultStr":null,"platform":"Semanticscholar","paperid":null,"PeriodicalName":"European archives of oto-rhino-laryngology : official journal of the European Federation of Oto-Rhino-Laryngological Societies (EUFOS) : affiliated with the German Society for Oto-Rhino-Laryngology - Head and Neck Surgery","FirstCategoryId":"1085","ListUrlMain":"https://doi.org/10.1007/s00405-025-09462-1","RegionNum":0,"RegionCategory":null,"ArticlePicture":[],"TitleCN":null,"AbstractTextCN":null,"PMCID":null,"EPubDate":"2025/5/24 0:00:00","PubModel":"Epub","JCR":"","JCRName":"","Score":null,"Total":0}
引用次数: 0

Abstract

Purpose: Patients diagnosed with incurable head and neck squamous cell carcinoma (HNSCC) have a poor prognosis, with a median survival of approximately five months. Physicians often struggle to predict prognosis accurately and tend to overestimate survival. Timely sharing of validated accurate individual information on life expectancy could aid in facilitating better patient counseling. However, this knowledge is lacking. Therefore, the aim of this study is to conduct temporal and external validation of the prognostic model OncologIQ Palliative to assess its accuracy and generalizability.

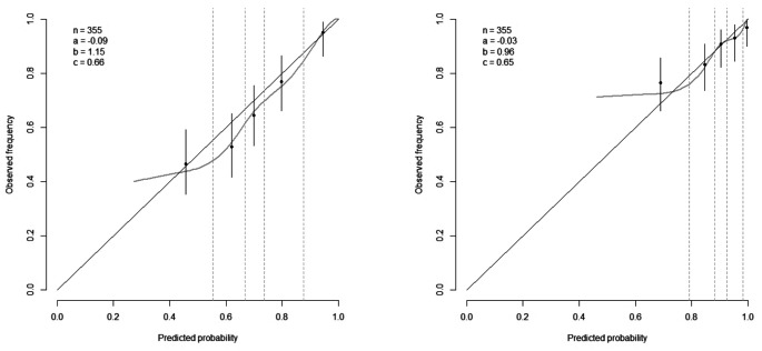
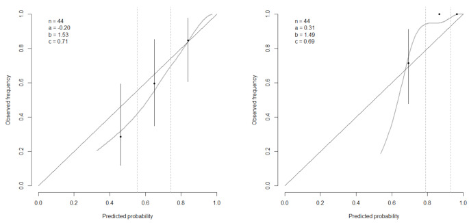
Methods: The validation procedure involved temporal assessment in a retrospective cohort of 355 palliative HNSCC patients from Erasmus MC (2017-2020), followed by external validation in a retrospective cohort of 44 patients from Leiden University Medical Center (2019-2021).The discriminative ability of OncologIQ Palliative was assessed using the C-index and calibration was evaluated through graphical assessment, intercept, and slope.

Results: The temporal cohort had a median follow-up of 115 days, and the external cohort 143 days. The model showed moderate discriminative ability in temporal validation (C-index 0.66) and better discrimination in external validation (C-index 0.71). Reasonable agreement was observed between predicted and observed 6-month and 1-year survival rates, with some deviations from the perfect calibration line.

Conclusion: The validation methods conducted in this study underscored the reliability of OncologIQ Palliative. They showed adequate calibration and discrimination in both validation procedures, thereby facilitating the provision of more accurate prognostic counselling for head and neck cancer patients in the palliative phase.

Abstract Image

Abstract Image

头颈癌患者“肿瘤姑息”预后模型的验证。
目的:诊断为无法治愈的头颈部鳞状细胞癌(HNSCC)的患者预后较差,中位生存期约为5个月。医生往往难以准确预测预后,往往高估生存。及时分享经过验证的准确的个人预期寿命信息有助于促进更好的患者咨询。然而,这方面的知识是缺乏的。因此,本研究的目的是对预后模型OncologIQ Palliative进行时间和外部验证,以评估其准确性和普遍性。方法:验证过程包括对来自Erasmus MC(2017-2020)的355例姑息性HNSCC患者的回顾性队列进行时间评估,然后对来自莱顿大学医学中心(2019-2021)的44例患者进行回顾性队列外部验证。使用c指数评估OncologIQ Palliative的判别能力,并通过图形评估、截距和斜率评估校准。结果:临时队列的中位随访时间为115天,外部队列的中位随访时间为143天。该模型在时间验证方面具有中等判别能力(c -指数为0.66),在外部验证方面具有较好的判别能力(c -指数为0.71)。预测的6个月和1年生存率与观察到的生存率之间存在合理的一致性,但与完美的校准线存在一些偏差。结论:本研究的验证方法强调了OncologIQ Palliative的可靠性。他们在两种验证程序中都显示出足够的校准和区分,从而促进了在姑息期为头颈癌患者提供更准确的预后咨询。
本文章由计算机程序翻译,如有差异,请以英文原文为准。
求助全文
约1分钟内获得全文 求助全文
来源期刊
自引率
0.00%
发文量
0
×
引用
GB/T 7714-2015
复制
MLA
复制
APA
复制
导出至
BibTeX EndNote RefMan NoteFirst NoteExpress
×
提示
您的信息不完整,为了账户安全,请先补充。
现在去补充
×
提示
您因"违规操作"
具体请查看互助需知
我知道了
×
提示
确定
请完成安全验证×
copy
已复制链接
快去分享给好友吧!
我知道了
右上角分享
点击右上角分享
0
联系我们:info@booksci.cn Book学术提供免费学术资源搜索服务,方便国内外学者检索中英文文献。致力于提供最便捷和优质的服务体验。 Copyright © 2023 布克学术 All rights reserved.
京ICP备2023020795号-1
ghs 京公网安备 11010802042870号
Book学术文献互助
Book学术文献互助群
群 号:604180095
Book学术官方微信